Suppr超能文献

利用改组融合蛋白改进酵母双杂交系统:水痘带状疱疹病毒互作组。

Improving the yeast two-hybrid system with permutated fusions proteins: the Varicella Zoster Virus interactome.

机构信息

Institute of Toxicology and Genetics, Karlsruhe Institute of Technology, PO Box 3640, D-76021 Karlsruhe, Germany.

出版信息

Proteome Sci. 2010 Feb 15;8:8. doi: 10.1186/1477-5956-8-8.

Abstract

BACKGROUND

Yeast two-hybrid (Y2H) screens have been among the most powerful methods to detect and analyze protein-protein interactions. However, they suffer from a significant degree of false negatives, i.e. true interactions that are not detected, and to a certain degree from false positives, i.e. interactions that appear to take place only in the context of the Y2H assay. While the fraction of false positives remains difficult to estimate, the fraction of false negatives in typical Y2H screens is on the order of 70-90%. Here we present novel Y2H vectors that significantly decrease the number of false negatives and help to mitigate the false positive problem.

RESULTS

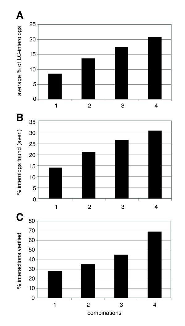
We have constructed two new vectors (pGBKCg and pGADCg) that allow us to make both C-terminal fusion proteins of DNA-binding and activation domains. Both vectors can be combined with existing vectors for N-terminal fusions and thus allow four different bait-prey combinations: NN, CC, NC, and CN. We have tested all approximately 4,900 pairwise combinations of the 70 Varicella-Zoster-Virus (VZV) proteins for interactions, using all possible combinations. About approximately 20,000 individual Y2H tests resulted in 182 NN, 89 NC, 149 CN, and 144 CC interactions. Overlap between screens ranged from 17% (NC-CN) to 43% (CN-CC). Performing four screens (i.e. permutations) instead of one resulted in about twice as many interactions and thus much fewer false negatives. In addition, interactions that are found in multiple combinations confirm each other and thus provide a quality score. This study is the first systematic analysis of such N- and C-terminal Y2H vectors.

CONCLUSIONS

Permutations of C- and N-terminal Y2H vectors dramatically increase the coverage of interactome studies and thus significantly reduce the number of false negatives. We suggest that future interaction screens should use such vector combinations on a routine basis, not the least because they provide a built-in quality score for Y2H interactions that can provide a measure of reproducibility without additional assays.

摘要

背景

酵母双杂交(Y2H)筛选是检测和分析蛋白质-蛋白质相互作用最有力的方法之一。然而,它们存在着相当程度的假阴性,即真正的相互作用没有被检测到,在一定程度上也存在假阳性,即相互作用似乎只在 Y2H 测定的背景下发生。虽然假阳性的比例仍然难以估计,但典型的 Y2H 筛选中的假阴性比例约为 70-90%。在这里,我们提出了新的 Y2H 载体,显著减少了假阴性的数量,并有助于缓解假阳性问题。

结果

我们构建了两个新的载体(pGBKCg 和 pGADCg),允许我们制作 DNA 结合和激活结构域的 C 端融合蛋白。这两个载体都可以与现有的 N 端融合载体结合,因此允许进行四种不同的诱饵-猎物组合:NN、CC、NC 和 CN。我们已经使用所有可能的组合测试了大约 4900 对 70 种水痘带状疱疹病毒(VZV)蛋白的相互作用,大约有 20000 个单独的 Y2H 测试产生了 182 个 NN、89 个 NC、149 个 CN 和 144 个 CC 相互作用。筛选之间的重叠范围从 17%(NC-CN)到 43%(CN-CC)。进行四次筛选(即排列)而不是一次筛选,会产生大约两倍的相互作用,从而减少了许多假阴性。此外,在多个组合中发现的相互作用相互证实,并提供了一个质量评分。这项研究是首次对这种 N 端和 C 端 Y2H 载体进行系统分析。

结论

C 端和 N 端 Y2H 载体的排列极大地增加了互作组学研究的覆盖率,从而显著减少了假阴性的数量。我们建议,未来的相互作用筛选应该在常规基础上使用这种载体组合,不仅因为它们为 Y2H 相互作用提供了内置的质量评分,无需额外的检测就可以提供可重复性的衡量标准。

https://cdn.ncbi.nlm.nih.gov/pmc/blobs/59fa/2832230/b0c4650c0026/1477-5956-8-8-1.jpg

文献检索

告别复杂PubMed语法,用中文像聊天一样搜索,搜遍4000万医学文献。AI智能推荐,让科研检索更轻松。

立即免费搜索

文件翻译

保留排版,准确专业,支持PDF/Word/PPT等文件格式,支持 12+语言互译。

免费翻译文档

深度研究

AI帮你快速写综述,25分钟生成高质量综述,智能提取关键信息,辅助科研写作。

立即免费体验