Suppr超能文献

营养保健品对人体循环内皮祖细胞和造血干细胞的增强作用。

Nutraceutical augmentation of circulating endothelial progenitor cells and hematopoietic stem cells in human subjects.

机构信息

Medistem Inc, San Diego, California, USA.

出版信息

J Transl Med. 2010 Apr 8;8:34. doi: 10.1186/1479-5876-8-34.

Abstract

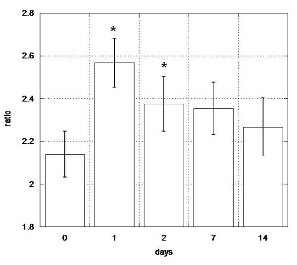
The medical significance of circulating endothelial or hematopoietic progenitors is becoming increasing recognized. While therapeutic augmentation of circulating progenitor cells using G-CSF has resulted in promising preclinical and early clinical data for several degenerative conditions, this approach is limited by cost and inability to perform chronic administration. Stem-Kine is a food supplement that was previously reported to augment circulating EPC in a pilot study. Here we report a trial in 18 healthy volunteers administered Stem-Kine twice daily for a 2 week period. Significant increases in circulating CD133 and CD34 cells were observed at days 1, 2, 7, and 14 subsequent to initiation of administration, which correlated with increased hematopoietic progenitors as detected by the HALO assay. Augmentation of EPC numbers in circulation was detected by KDR-1/CD34 staining and colony forming assays. These data suggest Stem-Kine supplementation may be useful as a stimulator of reparative processes associated with mobilization of hematopoietic and endothelial progenitors.

摘要

循环内皮或造血祖细胞的医学意义正日益受到重视。虽然使用 G-CSF 来增加循环祖细胞的治疗效果已经在几种退行性疾病的临床前和早期临床试验中取得了有希望的数据,但这种方法受到成本和无法进行慢性给药的限制。Stem-Kine 是一种膳食补充剂,之前的一项初步研究表明它可以增加循环中的 EPC。在此,我们报告了一项在 18 名健康志愿者中进行的试验,这些志愿者每天两次服用 Stem-Kine,持续 2 周。在开始给药后的第 1、2、7 和 14 天,观察到循环中 CD133 和 CD34 细胞的显著增加,这与通过 HALO 测定检测到的造血祖细胞的增加相关。通过 KDR-1/CD34 染色和集落形成测定检测到循环中 EPC 数量的增加。这些数据表明,Stem-Kine 补充剂可能可作为与动员造血和内皮祖细胞相关的修复过程的刺激物。

https://cdn.ncbi.nlm.nih.gov/pmc/blobs/9cf4/2862021/c1ea281ea4b5/1479-5876-8-34-1.jpg

文献AI研究员

20分钟写一篇综述,助力文献阅读效率提升50倍。

立即体验

用中文搜PubMed

大模型驱动的PubMed中文搜索引擎

马上搜索

文档翻译

学术文献翻译模型,支持多种主流文档格式。

立即体验