• 文献检索
  • 文档翻译
  • 深度研究
  • 学术资讯
  • Suppr Zotero 插件Zotero 插件
  • 邀请有礼
  • 套餐&价格
  • 历史记录
应用&插件
Suppr Zotero 插件Zotero 插件浏览器插件Mac 客户端Windows 客户端微信小程序
定价
高级版会员购买积分包购买API积分包
服务
文献检索文档翻译深度研究API 文档MCP 服务
关于我们
关于 Suppr公司介绍联系我们用户协议隐私条款
关注我们

Suppr 超能文献

核心技术专利:CN118964589B侵权必究
粤ICP备2023148730 号-1Suppr @ 2026

文献检索

告别复杂PubMed语法,用中文像聊天一样搜索,搜遍4000万医学文献。AI智能推荐,让科研检索更轻松。

立即免费搜索

文件翻译

保留排版,准确专业,支持PDF/Word/PPT等文件格式,支持 12+语言互译。

免费翻译文档

深度研究

AI帮你快速写综述,25分钟生成高质量综述,智能提取关键信息,辅助科研写作。

立即免费体验

自然选择人类胚胎:子宫内膜蜕膜化受损使胚胎-母体相互作用失效,导致反复妊娠丢失。

Natural selection of human embryos: impaired decidualization of endometrium disables embryo-maternal interactions and causes recurrent pregnancy loss.

机构信息

Institute of Reproductive and Developmental Biology, Imperial College London, Hammersmith Hospital, London, United Kingdom.

出版信息

PLoS One. 2010 Apr 21;5(4):e10287. doi: 10.1371/journal.pone.0010287.

DOI:10.1371/journal.pone.0010287
PMID:20422017
原文链接:https://pmc.ncbi.nlm.nih.gov/articles/PMC2858209/
Abstract

BACKGROUND

Recurrent pregnancy loss (RPL), defined as 3 or more consecutive miscarriages, is widely attributed either to repeated chromosomal instability in the conceptus or to uterine factors that are poorly defined. We tested the hypothesis that abnormal cyclic differentiation of endometrial stromal cells (ESCs) into specialized decidual cells predisposes to RPL, based on the observation that this process may not only be indispensable for placenta formation in pregnancy but also for embryo recognition and selection at time of implantation.

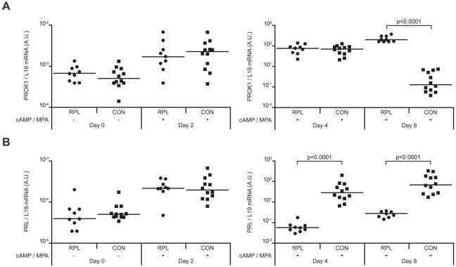
METHODOLOGY/PRINCIPAL FINDINGS: Analysis of mid-secretory endometrial biopsies demonstrated that RPL is associated with decreased expression of the decidual marker prolactin (PRL) but increased levels of prokineticin-1 (PROK1), a cytokine that promotes implantation. These in vivo findings were entirely recapitulated when ESCs were purified from patients with and without a history of RPL and decidualized in culture. In addition to attenuated PRL production and prolonged and enhanced PROK1 expression, RPL was further associated with a complete dysregulation of both markers upon treatment of ESC cultures with human chorionic gonadotropin, a glycoprotein hormone abundantly expressed by the implanting embryo. We postulated that impaired embryo recognition and selection would clinically be associated with increased fecundity, defined by short time-to-pregnancy (TTP) intervals. Woman-based analysis of the mean and mode TTP in a cohort of 560 RPL patients showed that 40% can be considered "superfertile", defined by a mean TTP of 3 months or less.

CONCLUSIONS

Impaired cyclic decidualization of the endometrium facilitates implantation yet predisposes to subsequent pregnancy failure by disabling natural embryo selection and by disrupting the maternal responses to embryonic signals. These findings suggest a novel pathological pathway that unifies maternal and embryonic causes of RPL.

摘要

背景

复发性流产(RPL)定义为连续 3 次或更多次自然流产,其病因广泛归因于胚胎中反复的染色体不稳定或尚未明确的子宫因素。我们基于这样一种观察结果提出假设,即在妊娠中,除了胎盘形成外,这一过程可能对于胚胎着床时的胚胎识别和选择也不可或缺,即异常的子宫内膜基质细胞(ESCs)周期性分化为特化的蜕膜细胞会导致 RPL。

方法/主要发现:对中分泌期子宫内膜活检的分析表明,RPL 与蜕膜标志物催乳素(PRL)的表达降低有关,但与促动力素-1(PROK1)水平升高有关,PROK1 是一种促进着床的细胞因子。这些体内发现与从有和无 RPL 病史的患者中纯化的 ESCs 并在培养中蜕膜化时完全一致。除了 PRL 产生减弱、PROK1 表达延长和增强外,RPL 还与 ESC 培养物用人绒毛膜促性腺激素处理时两种标志物的完全失调有关,人绒毛膜促性腺激素是一种由着床胚胎大量表达的糖蛋白激素。我们推测,胚胎识别和选择受损在临床上与受孕时间(TTP)间隔较短的高生育力相关。对 560 名 RPL 患者队列中的平均和模式 TTP 进行的基于女性的分析表明,40%的患者可被认为是“超生育力”,定义为平均 TTP 为 3 个月或更短。

结论

子宫内膜周期性蜕膜化受损有利于着床,但通过使自然胚胎选择失效并破坏母体对胚胎信号的反应,导致随后的妊娠失败。这些发现表明了一种新的病理途径,将母体和胚胎原因导致的 RPL 统一起来。

https://cdn.ncbi.nlm.nih.gov/pmc/blobs/d59b/2858209/2a4709730bb4/pone.0010287.g004.jpg
https://cdn.ncbi.nlm.nih.gov/pmc/blobs/d59b/2858209/184a4659b546/pone.0010287.g001.jpg
https://cdn.ncbi.nlm.nih.gov/pmc/blobs/d59b/2858209/0962e4c4ab31/pone.0010287.g002.jpg
https://cdn.ncbi.nlm.nih.gov/pmc/blobs/d59b/2858209/a6570b493673/pone.0010287.g003.jpg
https://cdn.ncbi.nlm.nih.gov/pmc/blobs/d59b/2858209/2a4709730bb4/pone.0010287.g004.jpg
https://cdn.ncbi.nlm.nih.gov/pmc/blobs/d59b/2858209/184a4659b546/pone.0010287.g001.jpg
https://cdn.ncbi.nlm.nih.gov/pmc/blobs/d59b/2858209/0962e4c4ab31/pone.0010287.g002.jpg
https://cdn.ncbi.nlm.nih.gov/pmc/blobs/d59b/2858209/a6570b493673/pone.0010287.g003.jpg
https://cdn.ncbi.nlm.nih.gov/pmc/blobs/d59b/2858209/2a4709730bb4/pone.0010287.g004.jpg

相似文献

1
Natural selection of human embryos: impaired decidualization of endometrium disables embryo-maternal interactions and causes recurrent pregnancy loss.自然选择人类胚胎:子宫内膜蜕膜化受损使胚胎-母体相互作用失效,导致反复妊娠丢失。
PLoS One. 2010 Apr 21;5(4):e10287. doi: 10.1371/journal.pone.0010287.
2
The molecular basis of recurrent pregnancy loss: impaired natural embryo selection.复发性妊娠丢失的分子基础:胚胎自然选择障碍。
Mol Hum Reprod. 2010 Dec;16(12):886-95. doi: 10.1093/molehr/gaq079. Epub 2010 Sep 16.
3
Osteoprotegerin interacts with syndecan-1 to promote human endometrial stromal decidualization by decreasing Akt phosphorylation.骨保护素与多功能蛋白聚糖-1相互作用,通过降低Akt磷酸化来促进人子宫内膜基质蜕膜化。
Hum Reprod. 2020 Nov 1;35(11):2439-2453. doi: 10.1093/humrep/deaa233.
4
Natural selection of human embryos: decidualizing endometrial stromal cells serve as sensors of embryo quality upon implantation.人类胚胎的自然选择:植入时,蜕膜化的子宫内膜基质细胞作为胚胎质量的传感器。
PLoS One. 2010 Apr 21;5(4):e10258. doi: 10.1371/journal.pone.0010258.
5
Impaired decidualization and relative increase of PROK1 expression in the decidua of patients with unexplained recurrent pregnancy loss showing insulin resistance.胰岛素抵抗不明原因复发性妊娠丢失患者的蜕膜化受损和 PROK1 表达相对增加。
J Reprod Immunol. 2023 Dec;160:104155. doi: 10.1016/j.jri.2023.104155. Epub 2023 Sep 22.
6
Modelling the impact of decidual senescence on embryo implantation in human endometrial assembloids.模拟蜕膜衰老对人子宫内膜集合体中胚胎着床的影响。
Elife. 2021 Sep 6;10:e69603. doi: 10.7554/eLife.69603.
7
Deregulation of the endometrial stromal cell secretome precedes embryo implantation failure.子宫内膜基质细胞分泌组的失调先于胚胎着床失败。
Mol Hum Reprod. 2017 Jul 1;23(7):478-487. doi: 10.1093/molehr/gax023.
8
Endometrial stromal cell proteome mapping in repeated implantation failure and recurrent pregnancy loss cases and fertile women.反复着床失败和复发性流产病例及生育力正常妇女的子宫内膜基质细胞蛋白质组图谱绘制。
Reprod Biomed Online. 2019 Mar;38(3):442-454. doi: 10.1016/j.rbmo.2018.11.022. Epub 2018 Dec 23.
9
TNFα/TNFR1 signal induces excessive senescence of decidua stromal cells in recurrent pregnancy loss.肿瘤坏死因子α/肿瘤坏死因子受体1信号诱导复发性流产中蜕膜基质细胞过度衰老。
J Reprod Immunol. 2023 Feb;155:103776. doi: 10.1016/j.jri.2022.103776. Epub 2022 Nov 24.
10
Prokineticin 1 mediates fetal-maternal dialogue regulating endometrial leukemia inhibitory factor.促动力蛋白1介导调节子宫内膜白血病抑制因子的胎儿-母体对话。
FASEB J. 2009 Jul;23(7):2165-75. doi: 10.1096/fj.08-124495. Epub 2009 Mar 2.

引用本文的文献

1
Regulatory Interplay of p53, AMPK, and mTOR in Decidualization: Implications for Reproductive Competence and Cancer Biology.p53、AMPK和mTOR在蜕膜化过程中的调节相互作用:对生殖能力和癌症生物学的影响
Reprod Sci. 2025 Sep 4. doi: 10.1007/s43032-025-01970-z.
2
Clinical Significance of Biochemical Pregnancy Loss in Recurrent Pregnancy Loss Patients: Insights From Euploid Embryo Transfers Minimizing Embryonic Bias.复发性流产患者生化妊娠丢失的临床意义:来自整倍体胚胎移植的见解,最小化胚胎偏倚
Reprod Med Biol. 2025 Jul 23;24(1):e12668. doi: 10.1002/rmb2.12668. eCollection 2025 Jan-Dec.
3
Protein O-GlcNAcylation in reproductive biology and the impact of metabolic disease.

本文引用的文献

1
Proteomic analysis of endometrium from fertile and infertile patients suggests a role for apolipoprotein A-I in embryo implantation failure and endometriosis.蛋白质组学分析来自生育和不孕患者的子宫内膜表明载脂蛋白 A-I 在胚胎着床失败和子宫内膜异位症中的作用。
Mol Hum Reprod. 2010 Apr;16(4):273-85. doi: 10.1093/molehr/gap108. Epub 2009 Dec 14.
2
Chromosome instability is common in human cleavage-stage embryos.染色体不稳定在人类卵裂期胚胎中很常见。
Nat Med. 2009 May;15(5):577-83. doi: 10.1038/nm.1924. Epub 2009 Apr 26.
3
Stromal progesterone receptors mediate induction of Indian Hedgehog (IHH) in uterine epithelium and its downstream targets in uterine stroma.
生殖生物学中的蛋白质O-连接N-乙酰葡糖胺化修饰以及代谢性疾病的影响
Hum Reprod Update. 2025 Jun 26. doi: 10.1093/humupd/dmaf013.
4
Histochemical Assessment of Reticulin-Collagen Patterns in the Mid-Secretory Endometrium Predicts Recurrent Pregnancy Loss.分泌中期子宫内膜网硬蛋白-胶原蛋白模式的组织化学评估可预测复发性流产。
Pathophysiology. 2025 Jun 3;32(2):24. doi: 10.3390/pathophysiology32020024.
5
Impact of a moderate-intensity aerobic exercise intervention on systemic and uterine natural killer cells in women with unexplained recurrent pregnancy loss.中等强度有氧运动干预对不明原因复发性流产女性全身及子宫自然杀伤细胞的影响
Front Immunol. 2025 Jun 4;16:1602939. doi: 10.3389/fimmu.2025.1602939. eCollection 2025.
6
Association between aquaporin 3 and transforming growth factor-beta 1 levels in decidual tissue and serum of patients with missed abortion.稽留流产患者蜕膜组织及血清中 aquaporin 3 与转化生长因子-β1 水平的相关性
Front Med (Lausanne). 2025 May 1;12:1540257. doi: 10.3389/fmed.2025.1540257. eCollection 2025.
7
Integral Roles of the TGFβ Signaling Pathway in Uterine Function and Disease.转化生长因子β信号通路在子宫功能和疾病中的重要作用
Endocrinology. 2025 Feb 5;166(3). doi: 10.1210/endocr/bqaf032.
8
Obesity and recurrent spontaneous abortion: the crucial role of weight management in pregnancy.肥胖与复发性自然流产:孕期体重管理的关键作用
Reprod Biol Endocrinol. 2025 Jan 22;23(1):10. doi: 10.1186/s12958-024-01326-3.
9
Impact of previous cesarean delivery on pregnancy and neonatal outcomes in subsequent in vitro fertilization/intracytoplasmic sperm injection and single frozen-thawed embryo transfer: a historical cohort study with a large sample size.既往剖宫产对后续体外受精/卵胞浆内单精子注射及单冻融胚胎移植中妊娠和新生儿结局的影响:一项大样本量的历史性队列研究
J Assist Reprod Genet. 2025 Mar;42(3):817-826. doi: 10.1007/s10815-024-03368-3. Epub 2024 Dec 28.
10
Fatty Acid Metabolism Disruptions: A Subtle yet Critical Factor in Adverse Pregnancy Outcomes.脂肪酸代谢紊乱:不良妊娠结局中一个微妙而关键的因素。
Int J Biol Sci. 2024 Nov 4;20(15):6018-6037. doi: 10.7150/ijbs.103404. eCollection 2024.
基质孕酮受体介导子宫上皮中印度刺猬因子(IHH)的诱导及其在子宫基质中的下游靶点。
Endocrinology. 2009 Aug;150(8):3871-6. doi: 10.1210/en.2008-1691. Epub 2009 Apr 16.
4
Prokineticin 1 mediates fetal-maternal dialogue regulating endometrial leukemia inhibitory factor.促动力蛋白1介导调节子宫内膜白血病抑制因子的胎儿-母体对话。
FASEB J. 2009 Jul;23(7):2165-75. doi: 10.1096/fj.08-124495. Epub 2009 Mar 2.
5
Proliferation of uterine natural killer cells is induced by human chorionic gonadotropin and mediated via the mannose receptor.人绒毛膜促性腺激素诱导子宫自然杀伤细胞增殖,并通过甘露糖受体介导。
Endocrinology. 2009 Jun;150(6):2882-8. doi: 10.1210/en.2008-1309. Epub 2009 Feb 5.
6
A role for menstruation in preconditioning the uterus for successful pregnancy.月经在使子宫为成功受孕做好准备方面所起的作用。
Am J Obstet Gynecol. 2009 Jun;200(6):615.e1-6. doi: 10.1016/j.ajog.2008.11.037. Epub 2009 Jan 10.
7
Pinopodes: a questionable role in endometrial receptivity.蜕膜小体:在子宫内膜容受性中的作用存疑。
Hum Reprod Update. 2009 Mar-Apr;15(2):229-36. doi: 10.1093/humupd/dmn052. Epub 2008 Nov 8.
8
Adaptive changes in the transcription factor HoxA-11 are essential for the evolution of pregnancy in mammals.转录因子HoxA-11的适应性变化对哺乳动物妊娠的进化至关重要。
Proc Natl Acad Sci U S A. 2008 Sep 30;105(39):14928-33. doi: 10.1073/pnas.0802355105. Epub 2008 Sep 22.
9
Inflammatory signalling as mediator of epigenetic modulation in tissue-specific chronic inflammation.炎症信号传导作为组织特异性慢性炎症中表观遗传调控的介质
Int J Biochem Cell Biol. 2009 Jan;41(1):176-84. doi: 10.1016/j.biocel.2008.08.023. Epub 2008 Aug 26.
10
Multifactorial etiology of recurrent miscarriage and its scientific and clinical implications.复发性流产的多因素病因及其科学与临床意义。
Gynecol Obstet Invest. 2008;66(4):257-67. doi: 10.1159/000149575. Epub 2008 Aug 1.