• 文献检索
  • 文档翻译
  • 深度研究
  • 学术资讯
  • Suppr Zotero 插件Zotero 插件
  • 邀请有礼
  • 套餐&价格
  • 历史记录
应用&插件
Suppr Zotero 插件Zotero 插件浏览器插件Mac 客户端Windows 客户端微信小程序
定价
高级版会员购买积分包购买API积分包
服务
文献检索文档翻译深度研究API 文档MCP 服务
关于我们
关于 Suppr公司介绍联系我们用户协议隐私条款
关注我们

Suppr 超能文献

核心技术专利:CN118964589B侵权必究
粤ICP备2023148730 号-1Suppr @ 2026

文献检索

告别复杂PubMed语法,用中文像聊天一样搜索,搜遍4000万医学文献。AI智能推荐,让科研检索更轻松。

立即免费搜索

文件翻译

保留排版,准确专业,支持PDF/Word/PPT等文件格式,支持 12+语言互译。

免费翻译文档

深度研究

AI帮你快速写综述,25分钟生成高质量综述,智能提取关键信息,辅助科研写作。

立即免费体验

大西洋比目鱼(Hippoglossus hippoglossus L.)发育过程中、健康鱼和神经坏死病毒(NNV)感染鱼组织以及前肾白细胞实时 RT-PCR 研究中潜在参考基因的评估。

Evaluation of potential reference genes for real time RT-PCR studies in Atlantic halibut (Hippoglossus Hippoglossus L.); during development, in tissues of healthy and NNV-injected fish, and in anterior kidney leucocytes.

机构信息

Institute of Marine Research, PO Box 1870 Nordnes, N-5817 Bergen, Norway.

出版信息

BMC Mol Biol. 2010 May 11;11:36. doi: 10.1186/1471-2199-11-36.

DOI:10.1186/1471-2199-11-36
PMID:20459764
原文链接:https://pmc.ncbi.nlm.nih.gov/articles/PMC2882370/
Abstract

BACKGROUND

Real time RT-PCR has become an important tool for analyzing gene expression in fish. Although several housekeeping genes have been evaluated in Atlantic halibut (Hippoglossus Hippoglossus L.), appropriate reference genes for low copy mRNA transcripts at the earliest developmental stages have not been identified. No attempts have been reported to identify suitable reference genes in halibut infected with NNV or in stimulated halibut leucocytes. In this study, beta-actin1 (ACTB1), elongation factor 1 alpha (EF1A1), hypoxanthine-guanine phosphoribosyltransferase 1 (HPRT1), ribosomal protein L7 (RPL7), tubulin beta 2C (Tubb2C), and ubiquitin-conjugating enzyme (UbcE) were evaluated as reference genes for normalization of real time RT-PCR data during Atlantic halibut development, in tissue of healthy and NNV-infected fish, and in in vivo and in vitro stimulated anterior kidney leucocytes.

RESULTS

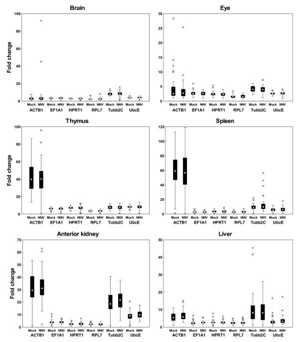
The expression of all six genes was relatively stable from the unfertilized egg until 12 day degrees post fertilization (ddpf). However, none of the selected genes were found to be stably expressed throughout halibut development. The mRNA levels of the six genes increased from 18 ddpf, when zygotic transcription is likely to be activated, and stabilized at different time points. The Excel-based software programs BestKeeper, geNorm, and NormFinder ranked EF1A1 and UbcE as the best candidate reference genes before activation of zygotic transcription, and RPL7 and EF1A1 as the best candidates after hatching. EF1A1 and RPL7 were also listed as the best reference genes when exploring the expression levels of the six genes in various halibut organs, both in non-injected fish and in mock- and NNV-injected fish. None of the reference genes were found optimal for normalization of real time RT-PCR data from in vitro stimulated anterior kidney leucocytes.

CONCLUSION

Generally, it was found that EF1A1 and RPL7 were the genes that showed least variation, with HPRT1 and UbcE as intermediate genes, and ACTB1 and Tubb2C as the least stable ones. None of the six reference genes can be recommended as reference gene candidates in ConA-PMA stimulated leucocytes. However, UbcE can be a good candidate in other experimental setups. This study emphasizes the need for reference gene evaluation, as universal reference genes have not been identified.

摘要

背景

实时 RT-PCR 已成为分析鱼类基因表达的重要工具。尽管已经在大西洋比目鱼(Hippoglossus hippoglossus L.)中评估了几种管家基因,但尚未确定在早期发育阶段用于低拷贝 mRNA 转录本的合适参考基因。尚未有报道尝试在感染 NNV 的比目鱼或刺激的比目鱼肝白细胞中鉴定合适的参考基因。在这项研究中,β-肌动蛋白 1(ACTB1)、延伸因子 1α(EF1A1)、次黄嘌呤-鸟嘌呤磷酸核糖基转移酶 1(HPRT1)、核糖体蛋白 L7(RPL7)、微管蛋白β 2C(Tubb2C)和泛素连接酶(UbcE)被评估为大西洋比目鱼发育过程中、健康鱼和 NNV 感染鱼的组织以及体内和体外刺激的前肾白细胞中实时 RT-PCR 数据归一化的参考基因。

结果

在未受精卵至 12 天受精后(ddpf)期间,所有 6 个基因的表达都相对稳定。然而,在比目鱼发育的整个过程中,没有发现任何选定的基因表达稳定。6 个基因的 mRNA 水平从 18ddpf 开始增加,此时合子转录可能被激活,并在不同的时间点稳定下来。基于 Excel 的软件程序 BestKeeper、geNorm 和 NormFinder 将 EF1A1 和 UbcE 评为合子转录激活前最佳候选参考基因,RPL7 和 EF1A1 评为孵化后最佳候选基因。在研究各种比目鱼器官中 6 个基因的表达水平时,EF1A1 和 RPL7 也被列为最佳参考基因,无论是在未注射的鱼还是在模拟和 NNV 注射的鱼中。在体外刺激的前肾白细胞中,没有一种参考基因可用于归一化实时 RT-PCR 数据。

结论

总的来说,发现 EF1A1 和 RPL7 是变化最小的基因,HPRT1 和 UbcE 是中间基因,ACTB1 和 Tubb2C 是最不稳定的基因。在 ConA-PMA 刺激的白细胞中,没有一种参考基因可以被推荐为参考基因候选物。然而,UbcE 可以成为其他实验设置的一个很好的候选物。这项研究强调了参考基因评估的必要性,因为尚未确定通用的参考基因。

https://cdn.ncbi.nlm.nih.gov/pmc/blobs/7d1b/2882370/55da202bea76/1471-2199-11-36-7.jpg
https://cdn.ncbi.nlm.nih.gov/pmc/blobs/7d1b/2882370/45a9a34d3474/1471-2199-11-36-1.jpg
https://cdn.ncbi.nlm.nih.gov/pmc/blobs/7d1b/2882370/a32f0493f3a3/1471-2199-11-36-2.jpg
https://cdn.ncbi.nlm.nih.gov/pmc/blobs/7d1b/2882370/67135776079c/1471-2199-11-36-3.jpg
https://cdn.ncbi.nlm.nih.gov/pmc/blobs/7d1b/2882370/b43010ec041a/1471-2199-11-36-4.jpg
https://cdn.ncbi.nlm.nih.gov/pmc/blobs/7d1b/2882370/19c220a13591/1471-2199-11-36-5.jpg
https://cdn.ncbi.nlm.nih.gov/pmc/blobs/7d1b/2882370/b89b1fa94583/1471-2199-11-36-6.jpg
https://cdn.ncbi.nlm.nih.gov/pmc/blobs/7d1b/2882370/55da202bea76/1471-2199-11-36-7.jpg
https://cdn.ncbi.nlm.nih.gov/pmc/blobs/7d1b/2882370/45a9a34d3474/1471-2199-11-36-1.jpg
https://cdn.ncbi.nlm.nih.gov/pmc/blobs/7d1b/2882370/a32f0493f3a3/1471-2199-11-36-2.jpg
https://cdn.ncbi.nlm.nih.gov/pmc/blobs/7d1b/2882370/67135776079c/1471-2199-11-36-3.jpg
https://cdn.ncbi.nlm.nih.gov/pmc/blobs/7d1b/2882370/b43010ec041a/1471-2199-11-36-4.jpg
https://cdn.ncbi.nlm.nih.gov/pmc/blobs/7d1b/2882370/19c220a13591/1471-2199-11-36-5.jpg
https://cdn.ncbi.nlm.nih.gov/pmc/blobs/7d1b/2882370/b89b1fa94583/1471-2199-11-36-6.jpg
https://cdn.ncbi.nlm.nih.gov/pmc/blobs/7d1b/2882370/55da202bea76/1471-2199-11-36-7.jpg

相似文献

1
Evaluation of potential reference genes for real time RT-PCR studies in Atlantic halibut (Hippoglossus Hippoglossus L.); during development, in tissues of healthy and NNV-injected fish, and in anterior kidney leucocytes.大西洋比目鱼(Hippoglossus hippoglossus L.)发育过程中、健康鱼和神经坏死病毒(NNV)感染鱼组织以及前肾白细胞实时 RT-PCR 研究中潜在参考基因的评估。
BMC Mol Biol. 2010 May 11;11:36. doi: 10.1186/1471-2199-11-36.
2
Tissue tropism of nervous necrosis virus (NNV) in Atlantic cod, Gadus morhua L., after intraperitoneal challenge with a virus isolate from diseased Atlantic halibut, Hippoglossus hippoglossus (L.).用从患病大西洋大比目鱼(Hippoglossus hippoglossus,L.)分离出的病毒株对大西洋鳕鱼(Gadus morhua L.)进行腹腔注射攻击后,神经坏死病毒(NNV)在其中的组织嗜性
J Fish Dis. 2009 Aug;32(8):655-65. doi: 10.1111/j.1365-2761.2009.01035.x. Epub 2009 Jun 4.
3
Selection of suitable reference genes for real-time PCR studies of Atlantic halibut development.为大西洋庸鲽发育的实时荧光定量PCR研究选择合适的内参基因。
Comp Biochem Physiol B Biochem Mol Biol. 2008 May;150(1):23-32. doi: 10.1016/j.cbpb.2008.01.003. Epub 2008 Jan 24.
4
Experimental infection of Atlantic halibut Hippoglossus hippoglossus with nodavirus: tissue distribution and immune response.大西洋庸鲽(Hippoglossus hippoglossus)感染诺达病毒的实验性研究:组织分布与免疫反应
Dis Aquat Organ. 2003 Feb 27;53(3):211-21. doi: 10.3354/dao053211.
5
CD8alpha and CD8beta in Atlantic halibut, Hippoglossus hippoglossus: cloning, characterization and gene expression during viral and bacterial infection.大西洋庸鲽(Hippoglossus hippoglossus)中的CD8α和CD8β:病毒和细菌感染期间的克隆、特征分析及基因表达
Fish Shellfish Immunol. 2008 Nov;25(5):570-80. doi: 10.1016/j.fsi.2008.08.007. Epub 2008 Aug 29.
6
Quantitative investigation of antigen and immune response in nervous and lymphoid tissues of Atlantic halibut (Hippoglossus hippoglossus) challenged with nodavirus.用诺达病毒攻击大西洋庸鲽(Hippoglossus hippoglossus)后,对其神经组织和淋巴组织中的抗原及免疫反应进行定量研究。
Fish Shellfish Immunol. 2006 Nov;21(5):525-39. doi: 10.1016/j.fsi.2006.03.001. Epub 2006 Mar 22.
7
Detection of nodavirus in seawater from rearing facilities for Atlantic halibut Hippoglossus hippoglossus larvae.在大西洋庸鲽幼鱼养殖设施的海水中检测诺达病毒。
Dis Aquat Organ. 2007 Jan 18;73(3):201-5. doi: 10.3354/dao073201.
8
Horizontal transmission of nervous necrosis virus between turbot Scophthalmus maximus and Atlantic cod Gadus morhua using cohabitation challenge.通过同居挑战研究神经坏死病毒在大菱鲆和大西洋鳕鱼之间的水平传播。
Dis Aquat Organ. 2012 May 15;99(1):13-21. doi: 10.3354/dao02454.
9
Pathological changes in juvenile Atlantic halibut Hippoglossus hippoglossus persistently infected with nodavirus.持续感染诺达病毒的幼年大西洋庸鲽(Hippoglossus hippoglossus)的病理变化
Dis Aquat Organ. 2002 Jul 29;50(3):161-9. doi: 10.3354/dao050161.
10
Atlantic halibut experimentally infected with nodavirus shows increased levels of T-cell marker and IFNγ transcripts.实验感染神经坏死病毒的大西洋比目鱼表现出 T 细胞标记物和 IFNγ 转录物水平升高。
Dev Comp Immunol. 2012 May;37(1):139-50. doi: 10.1016/j.dci.2011.10.003. Epub 2011 Oct 12.

引用本文的文献

1
Salmon louse labial gland enzymes: implications for host settlement and immune modulation.鲑鱼虱唇腺酶:对宿主定居和免疫调节的影响
Front Genet. 2024 Jan 17;14:1303898. doi: 10.3389/fgene.2023.1303898. eCollection 2023.
2
Identification and characterization of two salmon louse heme peroxidases and their potential as vaccine antigens.两种鲑鱼虱血红素过氧化物酶的鉴定、特性及其作为疫苗抗原的潜力。
iScience. 2023 Sep 21;26(10):107991. doi: 10.1016/j.isci.2023.107991. eCollection 2023 Oct 20.
3
Small, charged proteins in salmon louse (Lepeophtheirus salmonis) secretions modulate Atlantic salmon (Salmo salar) immune responses and coagulation.

本文引用的文献

1
Identification of immune related genes in Atlantic halibut (Hippoglossus hippoglossus L.) following in vivo antigenic and in vitro mitogenic stimulation.鉴定大西洋比目鱼(Hippoglossus hippoglossus L.)在体内抗原和体外有丝分裂原刺激后的免疫相关基因。
Fish Shellfish Immunol. 2009 Dec;27(6):729-38. doi: 10.1016/j.fsi.2009.09.008. Epub 2009 Sep 12.
2
Evaluation of candidate reference genes for QPCR during ontogenesis and of immune-relevant tissues of European seabass (Dicentrarchus labrax).欧洲海鲈(Dicentrarchus labrax)个体发育过程中和免疫相关组织中定量PCR候选内参基因的评估。
Comp Biochem Physiol B Biochem Mol Biol. 2009 Aug;153(4):340-7. doi: 10.1016/j.cbpb.2009.04.009. Epub 2009 May 3.
3
鲑鱼虱(Lepeophtheirus salmonis)分泌物中的小带电蛋白调节大西洋鲑(Salmo salar)的免疫反应和凝血。
Sci Rep. 2022 May 14;12(1):7995. doi: 10.1038/s41598-022-11773-w.
4
Roles of three putative salmon louse (Lepeophtheirus salmonis) prostaglandin E synthases in physiology and host-parasite interactions.三种假定的鲑鱼虱(Lepeophtheirus salmonis)前列腺素 E 合酶在生理学和宿主-寄生虫相互作用中的作用。
Parasit Vectors. 2021 Apr 19;14(1):206. doi: 10.1186/s13071-021-04690-w.
5
Distress Regulates Different Pathways in the Brain of Common Carp: A Preliminary Study.应激对鲤鱼大脑不同通路的调控:一项初步研究
Animals (Basel). 2021 Feb 23;11(2):585. doi: 10.3390/ani11020585.
6
Cold Adaptation in Antarctic Notothenioids: Comparative Transcriptomics Reveals Novel Insights in the Peculiar Role of Gills and Highlights Signatures of Cobalamin Deficiency.南极鱼类的冷适应:比较转录组学揭示了鳃的特殊作用的新见解,并强调了钴胺素缺乏的特征。
Int J Mol Sci. 2021 Feb 11;22(4):1812. doi: 10.3390/ijms22041812.
7
The Role of APOSTART in Switching between Sexuality and Apomixis in .APOSTART 在. 中的性别和无融合生殖之间切换中的作用。
Genes (Basel). 2020 Aug 14;11(8):941. doi: 10.3390/genes11080941.
8
RNAi-mediated treatment of two vertically transmitted rhabdovirus infecting the salmon louse (Lepeophtheirus salmonis).RNAi 介导的两种垂直传播的弹状病毒感染鲑鱼虱(Lepeophtheirus salmonis)的治疗方法。
Sci Rep. 2017 Oct 25;7(1):14030. doi: 10.1038/s41598-017-14282-3.
9
Appropriateness of reference genes for normalizing messenger RNA in mouse 2,4-dinitrobenzene sulfonic acid (DNBS)-induced colitis using quantitative real time PCR.采用实时定量 PCR 分析 2,4-二硝基苯磺酸(DNBS)诱导的结肠炎小鼠模型中信使 RNA 时参照基因的适用性。
Sci Rep. 2017 Feb 10;7:42427. doi: 10.1038/srep42427.
10
Selection and evaluation of new reference genes for RT-qPCR analysis in Epinephelus akaara based on transcriptome data.基于转录组数据筛选和评估赤点石斑鱼RT-qPCR分析的新参考基因
PLoS One. 2017 Feb 9;12(2):e0171646. doi: 10.1371/journal.pone.0171646. eCollection 2017.
Genetic control of programmed cell death (apoptosis) in Drosophila.
果蝇中程序性细胞死亡(凋亡)的遗传控制。
Fly (Austin). 2009 Jan-Mar;3(1):78-90. doi: 10.4161/fly.3.1.7800. Epub 2009 Jan 8.
4
Ontogeny of lymphoid organs and development of IgM-bearing cells in Atlantic halibut (Hippoglossus hippoglossus L.).大西洋庸鲽(Hippoglossus hippoglossus L.)淋巴器官的个体发生及含IgM细胞的发育
Fish Shellfish Immunol. 2009 Mar;26(3):385-95. doi: 10.1016/j.fsi.2008.11.018. Epub 2008 Dec 10.
5
Fish as model systems for the study of vertebrate apoptosis.鱼类作为脊椎动物细胞凋亡研究的模型系统。
Apoptosis. 2009 Jan;14(1):1-21. doi: 10.1007/s10495-008-0281-y. Epub 2008 Dec 10.
6
Expression of growth-related genes in muscle during fasting and refeeding of juvenile Atlantic halibut, Hippoglossus hippoglossus L.大西洋庸鲽幼鱼禁食和重新投喂期间肌肉中生长相关基因的表达
Comp Biochem Physiol B Biochem Mol Biol. 2009 Jan;152(1):47-53. doi: 10.1016/j.cbpb.2008.09.083. Epub 2008 Sep 18.
7
CD8alpha and CD8beta in Atlantic halibut, Hippoglossus hippoglossus: cloning, characterization and gene expression during viral and bacterial infection.大西洋庸鲽(Hippoglossus hippoglossus)中的CD8α和CD8β:病毒和细菌感染期间的克隆、特征分析及基因表达
Fish Shellfish Immunol. 2008 Nov;25(5):570-80. doi: 10.1016/j.fsi.2008.08.007. Epub 2008 Aug 29.
8
Translational machinery of senegalese sole (Solea senegalensis Kaup) and Atlantic halibut (Hippoglossus hippoglossus L.): comparative sequence analysis of the complete set of 60s ribosomal proteins and their expression.塞内加尔鳎(Solea senegalensis Kaup)和大西洋大比目鱼(Hippoglossus hippoglossus L.)的翻译机制:60S核糖体蛋白全套的比较序列分析及其表达
Mar Biotechnol (NY). 2008 Nov-Dec;10(6):676-91. doi: 10.1007/s10126-008-9104-y. Epub 2008 May 14.
9
Selection of housekeeping genes for gene expression studies in larvae from flatfish using real-time PCR.使用实时定量PCR技术选择用于比目鱼幼体基因表达研究的管家基因。
BMC Mol Biol. 2008 Mar 6;9:28. doi: 10.1186/1471-2199-9-28.
10
Selection of suitable reference genes for real-time PCR studies of Atlantic halibut development.为大西洋庸鲽发育的实时荧光定量PCR研究选择合适的内参基因。
Comp Biochem Physiol B Biochem Mol Biol. 2008 May;150(1):23-32. doi: 10.1016/j.cbpb.2008.01.003. Epub 2008 Jan 24.