Suppr超能文献

在女性中,无论是空腹还是非空腹状态下,血浆花生四烯酸乙醇胺和其他 N-酰基乙醇胺与其相应的游离脂肪酸水平呈正相关。

Plasma anandamide and other N-acylethanolamines are correlated with their corresponding free fatty acid levels under both fasting and non-fasting conditions in women.

机构信息

Business Unit Biosciences, TNO Quality of Life, Zeist, The Netherlands.

Division of Human Nutrition, Wageningen University, Wageningen, The Netherlands.

出版信息

Nutr Metab (Lond). 2010 Jun 14;7:49. doi: 10.1186/1743-7075-7-49.

Abstract

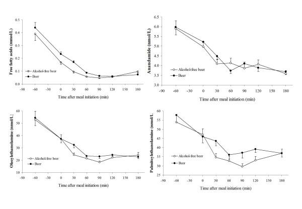
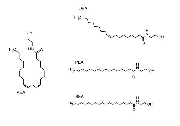
N-acylethanolamines (NAEs), such as anandamide (AEA), are a group of endogenous lipids derived from a fatty acid linked to ethanolamine and have a wide range of biological activities, including regulation of metabolism and food intake. We hypothesized that i) NAE plasma levels are associated with levels of total free fatty acids (FFAs) and their precursor fatty acid in fasting and non-fasting conditions and ii) moderate alcohol consumption alters non-fasting NAE levels. In a fasting and non-fasting study we sampled blood for measurements of specific NAEs and FFAs. In the fasting study blood was drawn after an overnight fast in 22 postmenopausal women. In the non-fasting study blood was sampled before and frequently after a standardized lunch with beer or alcohol-free beer in 19 premenopausal women. Fasting AEA levels correlated with total FFAs (r = 0.84; p < 0.001) and arachidonic acid levels (r = 0.42; p < 0.05). Similar results were observed for other NAEs with both total FFAs and their corresponding fatty acid precursors. In addition, AEA (r = 0.66; p < 0.01) and OEA levels (r = 0.49; p <0.02) positively related with BMI. Changes over time in non-fasting AEA levels were correlated with changes in total FFA levels, both after a lunch with beer (r = 0.80; 95% confidence interval: 0.54-0.92) and alcohol-free beer (r = 0.73; 0.41-0.89). Comparable correlations were found for other NAEs, without differences in correlations of each NAE between beer and alcohol free beer with lunch. In conclusion, i) in fasting and non-fasting states circulating anandamide and other N-acylethanolamines were associated with free fatty acid levels and ii) moderate alcohol consumption does not affect non-fasting NAE levels. This suggests that similar physiological stimuli cause the release of plasma N-acylethanolamines and free fatty acids in blood. The trials are registered at ClinicalTrials.gov numbers: NCT00524550 and NCT00652405.

摘要

N-酰基乙醇胺(NAEs),如花生四烯酸乙醇胺(AEA),是一类内源性脂质,来源于与乙醇胺相连的脂肪酸,具有广泛的生物学活性,包括调节代谢和食物摄入。我们假设:i)NAE 血浆水平与空腹和非空腹状态下的总游离脂肪酸(FFAs)及其前体脂肪酸水平相关;ii)适度饮酒会改变非空腹 NAE 水平。在一项空腹和非空腹研究中,我们采集了血液样本,以测量特定的 NAE 和 FFAs。在空腹研究中,22 名绝经后妇女在一夜禁食后抽取血液样本。在非空腹研究中,19 名绝经前妇女在标准午餐前和经常在午餐后,饮用啤酒或无酒精啤酒时采集了血液样本。空腹 AEA 水平与总 FFAs(r = 0.84;p < 0.001)和花生四烯酸水平(r = 0.42;p < 0.05)相关。其他 NAE 也观察到了与总 FFAs 及其相应脂肪酸前体相似的结果。此外,AEA(r = 0.66;p < 0.01)和 OEA 水平(r = 0.49;p < 0.02)与 BMI 呈正相关。非空腹 AEA 水平随时间的变化与总 FFA 水平的变化相关,无论是在午餐时饮用啤酒(r = 0.80;95%置信区间:0.54-0.92)还是无酒精啤酒(r = 0.73;0.41-0.89)后均如此。其他 NAE 也存在类似的相关性,并且在午餐时,啤酒和无酒精啤酒对每种 NAE 的相关性没有差异。总之,i)在空腹和非空腹状态下,循环中的花生四烯酸和其他 N-酰基乙醇胺与游离脂肪酸水平相关;ii)适度饮酒不会影响非空腹 NAE 水平。这表明,相似的生理刺激会导致血浆 N-酰基乙醇胺和游离脂肪酸在血液中的释放。这些试验在 ClinicalTrials.gov 注册,注册号分别为 NCT00524550 和 NCT00652405。

https://cdn.ncbi.nlm.nih.gov/pmc/blobs/eac5/2894840/d4ea5bfb1e9c/1743-7075-7-49-1.jpg

文献AI研究员

20分钟写一篇综述,助力文献阅读效率提升50倍。

立即体验

用中文搜PubMed

大模型驱动的PubMed中文搜索引擎

马上搜索

文档翻译

学术文献翻译模型,支持多种主流文档格式。

立即体验