Suppr超能文献

在小儿乳糜泻患者中有独特的“微生物特征”。

A distinctive 'microbial signature' in celiac pediatric patients.

机构信息

Department of Public Health Sciences, Sapienza University of Rome, Piazzale Aldo Moro 5, Rome, 00185, Italy.

出版信息

BMC Microbiol. 2010 Jun 17;10:175. doi: 10.1186/1471-2180-10-175.

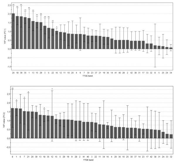
Abstract

BACKGROUND

Celiac Disease (CD) is an autoimmune disorder of the small intestine in which dietary gluten ingestion leads to a chronic enteropathy. Recently, scientific evidence suggested a potential role of gut microbiota in CD. To have a snapshot of dominant duodenal microbiota we analyzed the mucosa-associated microbiota of 20 children with CD, before and after a gluten-free diet (GFD) regimen, and of 10 controls. Total DNA was extracted from duodenal biopsies and amplification products of 16S ribosomal DNA were compared by temporal temperature gradient gel electrophoresis (TTGE). TTGE profiles were analyzed by statistical multivariate analysis.

RESULTS

The average number of bands in TTGE profiles was significantly higher (P < 0.0001) in active (n.b. 16.7 +/- 0.7) and inactive states (n.b. 13.2 +/- 0.8) than in controls (n.b. 3.7 +/- 1.3). Mean interindividual similarity index was 54.9% +/- 14.9% for active disease, 55.6% +/- 15.7% for remission state and 21.8% +/- 30.16% for controls. Similarity index between celiac children before and after GFD treatment was 63.9% +/- 15.8%. Differences in microbiota biodiversity were among active and remission state (P = 0.000224) and amid active CD and controls (P < 0.001). Bacteroides vulgatus and Escherichia coli were detected more often in CD patients than in controls (P < 0.0001).

CONCLUSIONS

Overall, the results highlighted a peculiar microbial TTGE profile and a significant higher biodiversity in CD pediatric patients' duodenal mucosa. The possible pathophysiological role of these microbial differences needs further characterization.

摘要

背景

乳糜泻(CD)是一种小肠的自身免疫性疾病,其中膳食 gluten 的摄入会导致慢性肠病。最近,科学证据表明肠道微生物群在 CD 中可能发挥作用。为了了解十二指肠优势微生物群,我们分析了 20 例 CD 患儿在无麸质饮食(GFD)前后和 10 例对照的十二指肠黏膜相关微生物群。从十二指肠活检中提取总 DNA,并用时间温度梯度凝胶电泳(TTGE)比较 16S 核糖体 DNA 的扩增产物。通过统计多变量分析对 TTGE 图谱进行分析。

结果

在活动期(n.b.16.7 +/- 0.7)和缓解期(n.b.13.2 +/- 0.8),TTGE 图谱中的平均条带数明显高于对照组(n.b.3.7 +/- 1.3)(P < 0.0001)。活动期疾病的平均个体间相似性指数为 54.9% +/- 14.9%,缓解期为 55.6% +/- 15.7%,对照组为 21.8% +/- 30.16%。GFD 治疗前后乳糜泻患儿的相似性指数为 63.9% +/- 15.8%。活动期和缓解期之间的微生物多样性差异(P = 0.000224)以及活动期 CD 患儿与对照组之间的差异(P < 0.001)。Bacteroides vulgatus 和 Escherichia coli 在 CD 患者中比对照组更常见(P < 0.0001)。

结论

总体而言,结果突出了 CD 儿科患者十二指肠黏膜独特的微生物 TTGE 图谱和显著更高的生物多样性。这些微生物差异的可能病理生理作用需要进一步表征。

https://cdn.ncbi.nlm.nih.gov/pmc/blobs/f371/2906462/552268f435b0/1471-2180-10-175-1.jpg

文献检索

告别复杂PubMed语法,用中文像聊天一样搜索,搜遍4000万医学文献。AI智能推荐,让科研检索更轻松。

立即免费搜索

文件翻译

保留排版,准确专业,支持PDF/Word/PPT等文件格式,支持 12+语言互译。

免费翻译文档

深度研究

AI帮你快速写综述,25分钟生成高质量综述,智能提取关键信息,辅助科研写作。

立即免费体验