Department of Engineering, University of Cambridge, Cambridge CB2 1PZ, UK.
Nature. 2010 Sep 9;467(7312):174-8. doi: 10.1038/nature09333.
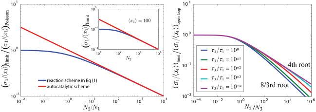
Negative feedback is common in biological processes and can increase a system's stability to internal and external perturbations. But at the molecular level, control loops always involve signalling steps with finite rates for random births and deaths of individual molecules. Here we show, by developing mathematical tools that merge control and information theory with physical chemistry, that seemingly mild constraints on these rates place severe limits on the ability to suppress molecular fluctuations. Specifically, the minimum standard deviation in abundances decreases with the quartic root of the number of signalling events, making it extremely expensive to increase accuracy. Our results are formulated in terms of experimental observables, and existing data show that cells use brute force when noise suppression is essential; for example, regulatory genes are transcribed tens of thousands of times per cell cycle. The theory challenges conventional beliefs about biochemical accuracy and presents an approach to the rigorous analysis of poorly characterized biological systems.
负反馈在生物过程中很常见,它可以提高系统对内外部干扰的稳定性。但在分子水平上,控制回路总是涉及到具有有限随机分子产生和死亡速率的信号传递步骤。通过将控制和信息论与物理化学相结合的数学工具的开发,我们表明,这些速率的看似轻微的限制对抑制分子波动的能力施加了严格的限制。具体来说,丰度的最小标准偏差随信号传递事件数量的四次方根减小,因此要提高精度的代价极高。我们的结果是根据实验可观察量来制定的,现有的数据表明,当噪声抑制至关重要时,细胞会采用蛮力方式;例如,调节基因在每个细胞周期中被转录数万次。该理论挑战了关于生化精度的传统观念,并为严格分析特征不明显的生物系统提供了一种方法。