Suppr超能文献

COPD 患者中茚达特罗的作用起始时间:与沙丁胺醇和沙美特罗/氟替卡松的比较。

Onset of action of indacaterol in patients with COPD: comparison with salbutamol and salmeterol-fluticasone.

机构信息

Csongrád Megyei OnkormányzatMellkasi Betegségek Szakkórháza, Deszk, Hungary.

出版信息

Int J Chron Obstruct Pulmon Dis. 2010 Sep 7;5:311-8. doi: 10.2147/copd.s12120.

Abstract

BACKGROUND

indacaterol is a novel, inhaled once-daily ultra-long-acting β(2)-agonist for the treatment of chronic obstructive pulmonary disease (COPD).

OBJECTIVES

this study compared the onset of action of single doses of indacaterol 150 and 300 μg with salbutamol 200 μg, salmeterol-fluticasone 50/500 μg, and placebo in moderate-to-severe COPD patients.

METHODS

this was a multicenter, randomized, double-blind, placebo-controlled crossover study. The primary variable was forced expiratory volume in one second (FEV(1)) at five minutes postdose.

RESULTS

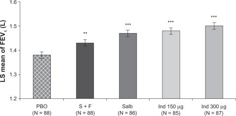
out of 89 patients randomized (mean age 62 years), 86 completed the study. At five minutes postdose, both indacaterol doses were statistically and clinically superior to placebo (P < 0.001), with treatment-placebo differences in FEV(1) of 100 (95% confidence interval [CI] 70-130) mL and 120 (95% CI 90-150) mL for indacaterol 150 and 300 μg, respectively. FEV(1) at five minutes postdose with both indacaterol doses was numerically higher than for salbutamol (10 and 30 mL for indacaterol 150 and 300 μg, respectively) and significantly higher than for salmeterol-fluticasone (50 mL, P = 0.003; 70 mL, P < 0.001, respectively). Moreover, both indacaterol doses showed significantly higher FEV(1) than placebo (P < 0.001) at all postdose time points. The numbers of patients with an FEV(1) increase of at least 12% and 200 mL at five minutes postdose were 16 (18.8%), 24 (27.6%), 20 (23.3%), 8 (9.1%), and 3 (3.4%) for indacaterol 150 and 300 μg, salbutamol 200 μg, salmeterol-fluticasone 50/500 μg, and placebo, respectively.

CONCLUSIONS

single doses of indacaterol 150 and 300 μg demonstrated a fast onset of action similar to that for salbutamol and faster than that for salmeterol-fluticasone.

摘要

背景

茚达特罗是一种新型、每日一次吸入的长效β2 受体激动剂,用于治疗慢性阻塞性肺疾病(COPD)。

目的

本研究比较了单次剂量的茚达特罗 150μg 和 300μg 与沙丁胺醇 200μg、沙美特罗-氟替卡松 50/500μg 和安慰剂在中重度 COPD 患者中的作用。

方法

这是一项多中心、随机、双盲、安慰剂对照的交叉研究。主要变量为用药后 5 分钟时的一秒用力呼气容积(FEV1)。

结果

在 89 名随机分组的患者(平均年龄 62 岁)中,86 名患者完成了研究。用药后 5 分钟时,两种剂量的茚达特罗均显著优于安慰剂(P<0.001),与安慰剂相比,FEV1 的治疗差值分别为 100(95%置信区间[CI]70-130)mL 和 120(95%CI90-150)mL。与沙丁胺醇(茚达特罗 150μg 和 300μg 分别为 10 和 30mL)相比,两种剂量的茚达特罗在用药后 5 分钟时的 FEV1 均有数值上的提高,与沙美特罗-氟替卡松相比,均显著提高(50mL,P=0.003;70mL,P<0.001)。此外,两种剂量的茚达特罗在用药后所有时间点均显著优于安慰剂(P<0.001)。用药后 5 分钟时 FEV1 增加至少 12%和 200mL 的患者比例分别为 16(18.8%)、24(27.6%)、20(23.3%)、8(9.1%)和 3(3.4%),分别为茚达特罗 150μg 和 300μg、沙丁胺醇 200μg、沙美特罗-氟替卡松 50/500μg 和安慰剂。

结论

单次剂量的茚达特罗 150μg 和 300μg 表现出与沙丁胺醇相似的快速作用,起效快于沙美特罗-氟替卡松。

https://cdn.ncbi.nlm.nih.gov/pmc/blobs/ddff/2939686/03b3c38b1ec8/copd-5-311f1.jpg

文献AI研究员

20分钟写一篇综述,助力文献阅读效率提升50倍。

立即体验

用中文搜PubMed

大模型驱动的PubMed中文搜索引擎

马上搜索

文档翻译

学术文献翻译模型,支持多种主流文档格式。

立即体验