Department of Public Health and Clinical Medicine, Division of Medicine, Umeå University, Sweden.
Respir Res. 2010 Sep 24;11(1):128. doi: 10.1186/1465-9921-11-128.
A suggested role for T cells in COPD pathogenesis is based on associations between increased lung cytotoxic T lymphocyte (CD8+) numbers and airflow limitation. CD69 is an early T cell activation marker. Natural Killer cell group 2 D (NKG2D) receptors are co-stimulatory molecules induced on CD8+ T cells upon activation. The activating function of NKG2 D is triggered by binding to MHC class 1 chain-related (MIC) molecules A and B, expressed on surface of stressed epithelial cells. The aim of this study was to evaluate the expression of MIC A and B in the bronchial epithelium and NKG2 D and CD69 on BAL lymphocytes in subjects with COPD, compared to smokers with normal lung function and healthy never-smokers.
Bronchoscopy with airway lavages and endobronchial mucosal biopsy sampling was performed in 35 patients with COPD, 21 healthy never-smokers and 16 smokers with normal lung function. Biopsies were immunohistochemically stained and BAL lymphocyte subsets were determined using flow cytometry.
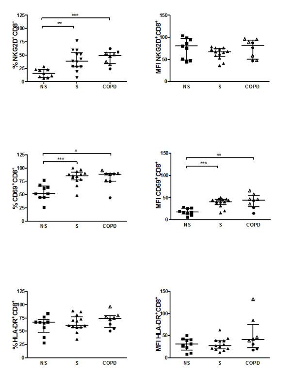
Epithelial CD3+ lymphocytes in bronchial biopsies were increased in both smokers with normal lung function and in COPD patients, compared to never-smokers. Epithelial CD8+ lymphocyte numbers were higher in the COPD group compared to never-smoking controls. Among gated CD3+cells in BAL, the percentage of CD8+ NKG2D+ cells was enhanced in patients with COPD and smokers with normal lung function, compared to never-smokers. The percentage of CD8+ CD69+ cells and cell surface expression of CD69 were enhanced in patients with COPD and smokers with normal lung function, compared to never-smokers. No changes in the expression of MIC A or MIC B in the airway epithelium could be detected between the groups, whereas significantly decreased soluble MICB was detected in bronchial wash from smokers with normal lung function, compared to never-smokers.
In COPD, we found increased numbers of cytotoxic T cells in both bronchial epithelium and airway lumen. Further, the proportions of CD69- and NKG2D-expressing cytotoxic T cells in BAL fluid were enhanced in both subjects with COPD and smokers with normal lung function and increased expression of CD69 was found on CD8+ cells, indicating the cigarette smoke exposure-induced expansion of activated cytotoxic T cells, which potentially can respond to stressed epithelial cells.
T 细胞在 COPD 发病机制中的作用是基于肺部细胞毒性 T 淋巴细胞(CD8+)数量增加与气流受限之间的关联。CD69 是 T 细胞早期激活的标志物。自然杀伤细胞组 2D(NKG2D)受体是在 CD8+T 细胞激活时诱导表达的共刺激分子。NKG2D 的激活功能通过与应激上皮细胞表面表达的 MHC 类 1 链相关(MIC)分子 A 和 B 结合而触发。本研究的目的是评估 COPD 患者支气管上皮细胞中 MIC A 和 B 的表达以及 BAL 淋巴细胞中 NKG2D 和 CD69 的表达,并与正常肺功能的吸烟者和健康不吸烟者进行比较。
对 35 例 COPD 患者、21 例健康不吸烟者和 16 例正常肺功能吸烟者进行支气管镜检查和气道灌洗及支气管内膜活检采样。采用免疫组织化学染色法对活检组织进行染色,并采用流式细胞术测定 BAL 淋巴细胞亚群。
与不吸烟者相比,正常肺功能吸烟者和 COPD 患者支气管活检中的支气管上皮 CD3+淋巴细胞均增加。与不吸烟对照组相比,COPD 组的支气管上皮 CD8+淋巴细胞数量较高。在 BAL 中门控的 CD3+细胞中,COPD 患者和正常肺功能吸烟者的 CD8+NKG2D+细胞的百分比增加,与不吸烟者相比。与不吸烟者相比,COPD 患者和正常肺功能吸烟者的 CD8+CD69+细胞的百分比和细胞表面 CD69 的表达增强。在气道上皮细胞中,各组之间 MIC A 或 MIC B 的表达均无变化,而在正常肺功能吸烟者的支气管灌洗液中,可溶性 MICB 明显减少,与不吸烟者相比。
在 COPD 中,我们发现支气管上皮和气道腔中细胞毒性 T 细胞数量增加。此外,COPD 患者和正常肺功能吸烟者的 BAL 液中 CD69-和 NKG2D 表达的细胞毒性 T 细胞的比例增加,并且 CD8+细胞上的 CD69 表达增加,表明香烟烟雾暴露诱导激活的细胞毒性 T 细胞扩增,这可能会对受应激的上皮细胞产生反应。