Suppr超能文献

在感染表达人 P 选择素糖蛋白配体-1 的小鼠细胞后,肠道病毒 71 株基因组中的适应性突变。

Adaptive mutations in the genomes of enterovirus 71 strains following infection of mouse cells expressing human P-selectin glycoprotein ligand-1.

机构信息

Department of Virology II, National Institute of Infectious Diseases, 4-7-1 Gakuen, Musashimurayama-shi, Tokyo 208-0011, Japan.

出版信息

J Gen Virol. 2011 Feb;92(Pt 2):287-91. doi: 10.1099/vir.0.022418-0. Epub 2010 Oct 13.

Abstract

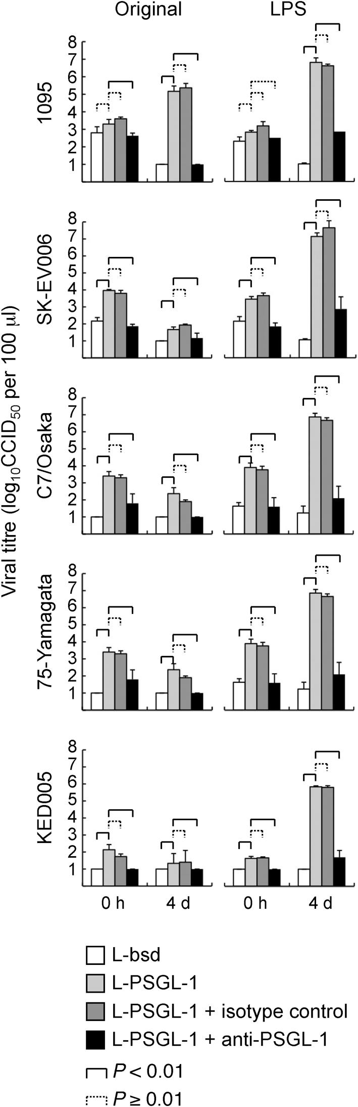
We recently identified human P-selectin glycoprotein ligand-1 (PSGL-1) as a functional enterovirus 71 (EV71) receptor and demonstrated PSGL-1-dependent replication for some EV71 strains in human leukocytes. Here, we report that four out of five PSGL-1-binding strains of EV71 replicated poorly in mouse L929 cells stably expressing human PSGL-1 (L-PSGL-1 cells). Therefore, we compared the replication kinetics and entire genomic sequence of five original EV71 strains and the corresponding EV71 variants (EV71-LPS), which were propagated once in L-PSGL-1 cells. Direct sequence comparison of the entire genome of the original EV71 strains and EV71-LPS variants identified several possible adaptive mutations during the course of replication in L-PSGL-1 cells, including a putative determinant of the adaptive phenotype in L-PSGL-1 cells at VP2-149. The results suggest that an adaptive mutation, along with a PSGL-1-binding phenotype, may facilitate efficient PSGL-1-dependent replication of the EV71 strains in L-PSGL-1 cells.

摘要

我们最近鉴定了人 P 选择素糖蛋白配体-1(PSGL-1)是一种功能性肠道病毒 71(EV71)受体,并证明了某些 EV71 株在人白细胞中依赖 PSGL-1 进行复制。在这里,我们报告说,在稳定表达人 PSGL-1(L-PSGL-1 细胞)的小鼠 L929 细胞中,五株 PSGL-1 结合株中的四株 EV71 复制不良。因此,我们比较了五株原始 EV71 株和相应的 EV71 变异株(EV71-LPS)的复制动力学和整个基因组序列,这些变异株在 L-PSGL-1 细胞中仅传代一次。对原始 EV71 株和 EV71-LPS 变异株整个基因组的直接序列比较鉴定出了在 L-PSGL-1 细胞中复制过程中可能存在的几种适应性突变,包括在 VP2-149 处存在 L-PSGL-1 细胞中适应性表型的假定决定因素。结果表明,适应性突变以及 PSGL-1 结合表型可能有助于 EV71 株在 L-PSGL-1 细胞中高效地依赖 PSGL-1 进行复制。

https://cdn.ncbi.nlm.nih.gov/pmc/blobs/383e/3081077/113d4e61f7f2/287fig1.jpg

文献AI研究员

20分钟写一篇综述,助力文献阅读效率提升50倍。

立即体验

用中文搜PubMed

大模型驱动的PubMed中文搜索引擎

马上搜索

文档翻译

学术文献翻译模型,支持多种主流文档格式。

立即体验