Nucleic Acid Center, Department of Physics and Chemistry, University of Southern Denmark, Campusvej 55, 5230 Odense M, Denmark.
Nucleic Acids Res. 2011 Mar;39(5):1953-65. doi: 10.1093/nar/gkq1123. Epub 2010 Nov 9.
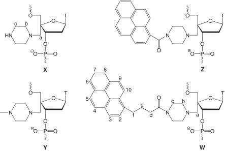
We report the synthesis of two C4'-modified DNA analogues and characterize their structural impact on dsDNA duplexes. The 4'-C-piperazinomethyl modification stabilizes dsDNA by up to 5°C per incorporation. Extension of the modification with a butanoyl-linked pyrene increases the dsDNA stabilization to a maximum of 9°C per incorporation. Using fluorescence, ultraviolet and nuclear magnetic resonance (NMR) spectroscopy, we show that the stabilization is achieved by pyrene intercalation in the dsDNA duplex. The pyrene moiety is not restricted to one intercalation site but rather switches between multiple sites in intermediate exchange on the NMR timescale, resulting in broad lines in NMR spectra. We identified two intercalation sites with NOE data showing that the pyrene prefers to intercalate one base pair away from the modified nucleotide with its linker curled up in the minor groove. Both modifications are tolerated in DNA:RNA hybrids but leave their melting temperatures virtually unaffected. Fluorescence data indicate that the pyrene moiety is residing outside the helix. The available data suggest that the DNA discrimination is due to (i) the positive charge of the piperazino ring having a greater impact in the narrow and deep minor groove of a B-type dsDNA duplex than in the wide and shallow minor groove of an A-type DNA:RNA hybrid and (ii) the B-type dsDNA duplex allowing the pyrene to intercalate and bury its apolar surface.
我们报告了两种 C4'-修饰的 DNA 类似物的合成,并对其对 dsDNA 双链体的结构影响进行了表征。4'-C-哌嗪甲酰基修饰通过每个整合物将 dsDNA 稳定高达 5°C。通过与丁酰基连接的芘扩展修饰,dsDNA 的稳定性最大可增加至每个整合物 9°C。通过荧光、紫外线和核磁共振(NMR)光谱,我们表明稳定化是通过芘在 dsDNA 双链体中的嵌入实现的。芘部分不限于一个嵌入位置,而是在 NMR 时间尺度上的中间交换之间切换,导致 NMR 光谱中出现宽线。我们通过 NOE 数据确定了两个嵌入位置,表明芘更喜欢在距离修饰核苷酸一个碱基对的位置嵌入,其连接子卷曲在小沟中。这两种修饰物都能耐受 DNA:RNA 杂种,但几乎不会影响其熔解温度。荧光数据表明芘部分位于螺旋之外。现有数据表明,DNA 识别是由于(i)哌嗪环的正电荷在 B 型 dsDNA 双链体的狭窄而深的小沟中比在 A 型 DNA:RNA 杂种的宽而浅的小沟中具有更大的影响,以及(ii)B 型 dsDNA 双链体允许芘嵌入并埋藏其非极性表面。