Plant and Soil Science Laboratory, Department of Agriculture and Ecology, Faculty of Life Sciences, University of Copenhagen, Denmark.
Biotechnol Biofuels. 2010 Nov 18;3:25. doi: 10.1186/1754-6834-3-25.
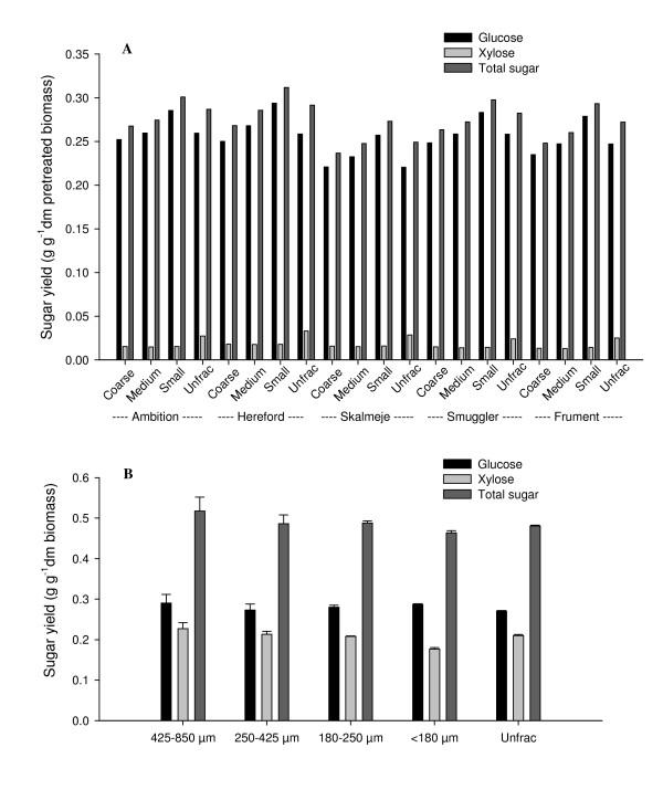
Variations in sugar yield due to genotypic qualities of feedstock are largely undescribed for pilot-scale ethanol processing. Our objectives were to compare glucose and xylose yield (conversion and total sugar yield) from straw of five winter wheat cultivars at three enzyme loadings (2.5, 5 and 10 FPU g-1 dm pretreated straw) and to compare particle size distribution of cultivars after pilot-scale hydrothermal pretreatment.
Significant interactions between enzyme loading and cultivars show that breeding for cultivars with high sugar yields under modest enzyme loading could be warranted. At an enzyme loading of 5 FPU g-1 dm pretreated straw, a significant difference in sugar yields of 17% was found between the highest and lowest yielding cultivars. Sugar yield from separately hydrolyzed particle-size fractions of each cultivar showed that finer particles had 11% to 21% higher yields than coarse particles. The amount of coarse particles from the cultivar with lowest sugar yield was negatively correlated with sugar conversion.
We conclude that genetic differences in sugar yield and response to enzyme loading exist for wheat straw at pilot scale, depending on differences in removal of hemicellulose, accumulation of ash and particle-size distribution introduced by the pretreatment.
由于原料的基因型特性,导致在中试规模的乙醇加工过程中糖产量存在差异,但这种差异在很大程度上还没有被描述。我们的目标是比较 5 个冬小麦品种的秸秆在 3 种酶负荷(预处理秸秆 2.5、5 和 10 FPU g-1 dm)下的葡萄糖和木糖产率(转化率和总糖产率),并比较中试规模水热处理后品种的颗粒尺寸分布。
酶负荷与品种之间存在显著的相互作用,这表明有必要为中等酶负荷下具有高糖产量的品种进行选育。在酶负荷为 5 FPU g-1 dm 预处理秸秆时,发现最高和最低产糖品种之间的糖产量差异高达 17%。对每个品种分别水解的颗粒尺寸分级的糖产量表明,较细的颗粒比粗颗粒的糖产量高 11%至 21%。糖产量最低的品种的粗颗粒量与糖转化率呈负相关。
我们的结论是,在中试规模下,小麦秸秆的糖产量和对酶负荷的响应存在遗传差异,这取决于预处理过程中半纤维素的去除、灰分的积累和颗粒尺寸分布的差异。