Department of Cell Biology and Molecular Genetics, University of Maryland, College Park, MD 20742, USA.
Nucleic Acids Res. 2011 Apr;39(7):2799-808. doi: 10.1093/nar/gkq1220. Epub 2010 Nov 24.
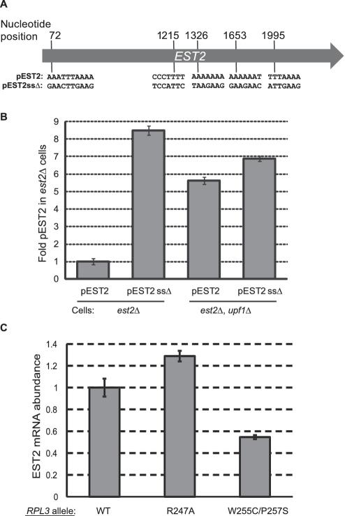
Although first discovered in viruses, previous studies have identified operational -1 ribosomal frameshifting (-1 RF) signals in eukaryotic genomic sequences, and suggested a role in mRNA stability. Here, four yeast -1 RF signals are shown to promote significant mRNA destabilization through the nonsense mediated mRNA decay pathway (NMD), and genetic evidence is presented suggesting that they may also operate through the no-go decay pathway (NGD) as well. Yeast EST2 mRNA is highly unstable and contains up to five -1 RF signals. Ablation of the -1 RF signals or of NMD stabilizes this mRNA, and changes in -1 RF efficiency have opposing effects on the steady-state abundance of the EST2 mRNA. These results demonstrate that endogenous -1 RF signals function as mRNA destabilizing elements through at least two molecular pathways in yeast. Consistent with current evolutionary theory, phylogenetic analyses suggest that -1 RF signals are rapidly evolving cis-acting regulatory elements. Identification of high confidence -1 RF signals in ∼10% of genes in all eukaryotic genomes surveyed suggests that -1 RF is a broadly used post-transcriptional regulator of gene expression.
虽然最初是在病毒中发现的,但之前的研究已经在真核基因组序列中鉴定出了工作 -1 核糖体移码(-1 RF)信号,并提出了它们在 mRNA 稳定性中的作用。在这里,四个酵母 -1 RF 信号被证明通过无意义介导的 mRNA 降解途径(NMD)促进显著的 mRNA 不稳定性,并且提出了遗传证据表明它们也可能通过非终止降解途径(NGD)起作用。酵母 EST2 mRNA 高度不稳定,包含多达五个 -1 RF 信号。-1 RF 信号或 NMD 的缺失会稳定这种 mRNA,并且 -1 RF 效率的变化对 EST2 mRNA 的稳态丰度有相反的影响。这些结果表明,内源性 -1 RF 信号在酵母中通过至少两种分子途径起作用作为 mRNA 不稳定元件。与当前的进化理论一致,系统发育分析表明 -1 RF 信号是快速进化的顺式作用调节元件。在所有被调查的真核基因组中,约有 10%的基因中鉴定出了高可信度的 -1 RF 信号,这表明 -1 RF 是一种广泛用于基因表达的转录后调控因子。