Suppr超能文献

急性和长期补充 CRAM 对健康大学生反应时及专注和警觉主观测量的影响。

The effects of acute and prolonged CRAM supplementation on reaction time and subjective measures of focus and alertness in healthy college students.

机构信息

The University of Central Florida, Orlando, FL 32816-1250, USA.

出版信息

J Int Soc Sports Nutr. 2010 Dec 15;7:39. doi: 10.1186/1550-2783-7-39.

Abstract

BACKGROUND

The purpose of this study was to examine the effect of acute and prolonged (4-weeks) ingestion of a supplement designed to improve reaction time and subjective measures of alertness, energy, fatigue, and focus compared to placebo.

METHODS

Nineteen physically-active subjects (17 men and 2 women) were randomly assigned to a group that either consumed a supplement (21.1 ± 0.6 years; body mass: 80.6 ± 9.4 kg) or placebo (21.3 ± 0.8 years; body mass: 83.4 ± 18.5 kg). During the initial testing session (T1), subjects were provided 1.5 g of the supplement (CRAM; α-glycerophosphocholine, choline bitartrate, phosphatidylserine, vitamins B3, B6, and B12, folic acid, L-tyrosine, anhydrous caffeine, acetyl-L-carnitine, and naringin) or a placebo (PL), and rested quietly for 10-minutes before completing a questionnaire on subjective feelings of energy, fatigue, alertness and focus (PRE). Subjects then performed a 4-minute quickness and reaction test followed by a 10-min bout of exhaustive exercise. The questionnaire and reaction testing sequence was then repeated (POST). Subjects reported back to the lab (T2) following 4-weeks of supplementation and repeated the testing sequence.

RESULTS

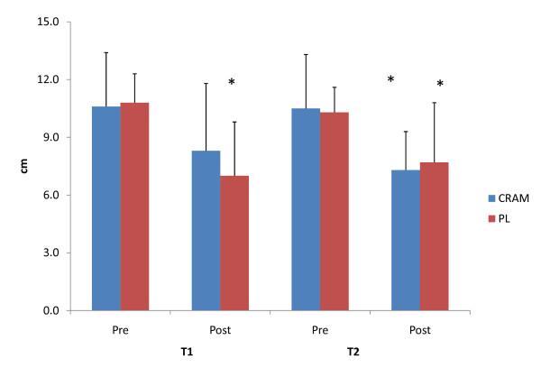
Reaction time significantly declined (p = 0.050) between PRE and POST at T1 in subjects consuming PL, while subjects under CRAM supplementation were able to maintain (p = 0.114) their performance. Significant performance declines were seen in both groups from PRE to POST at T2. Elevations in fatigue were seen for CRAM at both T1 and T2 (p = 0.001 and p = 0.000, respectively), but only at T2 for PL (p = 0.029). Subjects in CRAM maintained focus between PRE and POST during both T1 and T2 trials (p = 0.152 and p = 0.082, respectively), whereas significant declines in focus were observed between PRE and POST in PL at both trials (p = 0.037 and p = 0.014, respectively). No difference in alertness was seen at T1 between PRE and POST for CRAM (p = 0.083), but a significant decline was recorded at T2 (p = 0.005). Alertness was significantly lower at POST at both T1 and T2 for PL (p = 0.040 and p = 0.33, respectively). No differences in any of these subjective measures were seen between the groups at any time point.

CONCLUSION

Results indicate that acute ingestion of CRAM can maintain reaction time, and subjective feelings of focus and alertness to both visual and auditory stimuli in healthy college students following exhaustive exercise. However, some habituation may occur following 4-weeks of supplementation.

摘要

背景

本研究旨在考察与安慰剂相比,急性和长期(4 周)摄入一种旨在改善反应时间和主观警觉、能量、疲劳和注意力的补充剂对身体活跃的受试者的影响。

方法

19 名受试者(17 名男性和 2 名女性)被随机分配到补充剂组(21.1 ± 0.6 岁;体重:80.6 ± 9.4 公斤)或安慰剂组(21.3 ± 0.8 岁;体重:83.4 ± 18.5 公斤)。在初始测试阶段(T1),受试者分别服用 1.5 克补充剂(CRAM;α-甘油磷酸胆碱、酒石酸胆碱、磷脂酰丝氨酸、维生素 B3、B6 和 B12、叶酸、L-酪氨酸、无水咖啡因、乙酰左旋肉碱和柚皮苷)或安慰剂(PL),安静休息 10 分钟,然后填写一份关于能量、疲劳、警觉和注意力主观感受的问卷(PRE)。然后,受试者进行 4 分钟的敏捷性和反应测试,然后进行 10 分钟的剧烈运动。然后重复问卷和反应测试序列(POST)。受试者在 4 周补充剂后回到实验室(T2),并重复测试序列。

结果

在 T1 时,PL 组受试者在 PRE 和 POST 之间的反应时间明显下降(p = 0.050),而 CRAM 补充剂组受试者能够保持(p = 0.114)他们的表现。两组受试者在 T2 时均出现 PRE 和 POST 时反应时间的显著下降。CRAM 组在 T1 和 T2 时均出现疲劳增加(p = 0.001 和 p = 0.000,分别),但仅在 T2 时 PL 组出现疲劳增加(p = 0.029)。CRAM 组受试者在 T1 和 T2 的 PRE 和 POST 期间保持注意力(p = 0.152 和 p = 0.082,分别),而 PL 组在 T1 和 T2 的 PRE 和 POST 期间注意力明显下降(p = 0.037 和 p = 0.014,分别)。CRAM 组在 T1 时 PRE 和 POST 之间的警觉度没有差异(p = 0.083),但在 T2 时记录到明显下降(p = 0.005)。PL 组在 T1 和 T2 时 POST 的警觉度均明显较低(p = 0.040 和 p = 0.33,分别)。在任何时间点,两组之间在这些主观测量中均未观察到差异。

结论

结果表明,急性摄入 CRAM 可在剧烈运动后维持健康大学生的反应时间以及对视觉和听觉刺激的主观注意力和警觉感。然而,在 4 周的补充后可能会出现一些习惯化。

https://cdn.ncbi.nlm.nih.gov/pmc/blobs/56d6/3009695/5943edd3d9a7/1550-2783-7-39-1.jpg

文献检索

告别复杂PubMed语法,用中文像聊天一样搜索,搜遍4000万医学文献。AI智能推荐,让科研检索更轻松。

立即免费搜索

文件翻译

保留排版,准确专业,支持PDF/Word/PPT等文件格式,支持 12+语言互译。

免费翻译文档

深度研究

AI帮你快速写综述,25分钟生成高质量综述,智能提取关键信息,辅助科研写作。

立即免费体验