Suppr超能文献

《在澳大利亚年轻女性样本中沙眼衣原体和生殖支原体决定因素的差异》

'The difference in determinants of Chlamydia trachomatis and Mycoplasma genitalium in a sample of young Australian women'.

机构信息

Centre for Women's Health, Gender and Society, School of Population Health, University of Melbourne, Victoria 3010, Australia.

出版信息

BMC Infect Dis. 2011 Feb 1;11:35. doi: 10.1186/1471-2334-11-35.

Abstract

BACKGROUND

Differences in the determinants of Chlamydia trachomatis ('chlamydia') and Mycoplasma genitalium (MG) genital infection in women are not well understood.

METHODS

A cohort study of 16 to 25 year old Australian women recruited from primary health care clinics, aimed to determine chlamydia and MG prevalence and incidence. Vaginal swabs collected at recruitment were used to measure chlamydia and MG prevalence, organism-load and chlamydia-serovar a cross-sectional analysis undertaken on the baseline results is presented here.

RESULTS

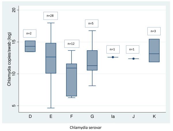
Of 1116 participants, chlamydia prevalence was 4.9% (95% CI: 2.9, 7.0) (n = 55) and MG prevalence was 2.4% (95% CI: 1.5, 3.3) (n = 27). Differences in the determinants were found - chlamydia not MG, was associated with younger age [AOR:0.9 (95% CI: 0.8, 1.0)] and recent antibiotic use [AOR:0.4 (95% CI: 0.2, 1.0)], and MG not chlamydia was associated with symptoms [AOR:2.1 (95% CI: 1.1, 4.0)]. Having two or more partners in last 12 months was more strongly associated with chlamydia [AOR:6.4 (95% CI: 3.6, 11.3)] than MG [AOR:2.2 (95% CI: 1.0, 4.6)] but unprotected sex with three or more partners was less strongly associated with chlamydia [AOR:3.1 (95%CI: 1.0, 9.5)] than MG [AOR:16.6 (95%CI: 2.0, 138.0)]. Median organism load for MG was 100 times lower (5.7 × 104/swab) than chlamydia (5.6 × 106/swab) (p < 0.01) and not associated with age or symptoms for chlamydia or MG.

CONCLUSIONS

These results demonstrate significant chlamydia and MG prevalence in Australian women, and suggest that the differences in strengths of association between numbers of sexual partners and unprotected sex and chlamydia and MG might be due to differences in the transmission dynamics between these infections.

摘要

背景

导致沙眼衣原体(“衣原体”)和生殖支原体(MG)女性生殖道感染的决定因素尚不清楚。

方法

本研究为一项队列研究,纳入了来自初级保健诊所的 16 至 25 岁澳大利亚女性,旨在确定衣原体和 MG 的患病率和发病率。在招募时采集阴道拭子,用于测量衣原体和 MG 的患病率、病原体载量和衣原体血清型。此处呈现了对基线结果进行的横断面分析。

结果

在 1116 名参与者中,衣原体的患病率为 4.9%(95%CI:2.9,7.0)(n=55),MG 的患病率为 2.4%(95%CI:1.5,3.3)(n=27)。研究发现了不同的决定因素 - 衣原体而非 MG,与年龄较小有关[OR:0.9(95%CI:0.8,1.0)]和近期使用抗生素[OR:0.4(95%CI:0.2,1.0)],而 MG 而非衣原体与症状有关[OR:2.1(95%CI:1.1,4.0)]。在过去 12 个月中有两个或更多性伴侣与衣原体的关系更为密切[OR:6.4(95%CI:3.6,11.3)],而与 MG 的关系[OR:2.2(95%CI:1.0,4.6)]较弱,但与三个或更多性伴侣无保护性行为与衣原体的关系较弱[OR:3.1(95%CI:1.0,9.5)],而与 MG 的关系较强[OR:16.6(95%CI:2.0,138.0)]。MG 的平均生物体载量低 100 倍(5.7×104/拭子),而衣原体为 5.6×106/拭子(p<0.01),并且与衣原体或 MG 的年龄或症状无关。

结论

这些结果表明,澳大利亚女性的衣原体和 MG 患病率较高,这表明性伴侣数量和无保护性行为与衣原体和 MG 之间的关联强度差异可能是由于这些感染的传播动力学差异所致。

https://cdn.ncbi.nlm.nih.gov/pmc/blobs/e430/3038161/829ed992d52b/1471-2334-11-35-1.jpg

相似文献

6
Extragenital infections among men who have sex with men.
Sex Transm Infect. 2020 Feb;96(1):10-18. doi: 10.1136/sextrans-2019-054058. Epub 2019 Jun 19.
9
Mycoplasma genitalium presence, resistance and epidemiology in Greenland.
Int J Circumpolar Health. 2012 Apr 16;71:1-8. doi: 10.3402/ijch.v71i0.18203.

引用本文的文献

1
The Quantitative Detection of Urogenital Mycoplasmas in Men with Urolithiasis.
Pathogens. 2025 Jul 8;14(7):670. doi: 10.3390/pathogens14070670.
2
Ascending Reproductive Tract Infection in Pig-Tailed Macaques Inoculated with Mycoplasma genitalium.
Infect Immun. 2022 Jun 16;90(6):e0013122. doi: 10.1128/iai.00131-22. Epub 2022 May 18.
3
Brazilian Protocol for Sexually Transmitted Infections, 2020: infections that cause urethral discharge.
Rev Soc Bras Med Trop. 2021 May 17;54(suppl 1):e2020633. doi: 10.1590/0037-8682-633-2020. eCollection 2021.
4
Comparison between Abbott m2000 RealTime and Alinity m STI systems for detection of Chlamydia trachomatis, Neisseria gonorrhoeae, and Mycoplasma genitalium.
Eur J Clin Microbiol Infect Dis. 2021 Oct;40(10):2217-2220. doi: 10.1007/s10096-020-04135-9. Epub 2021 Mar 15.
6
Prevalence of in different population groups: systematic review andmeta-analysis.
Sex Transm Infect. 2018 Jun;94(4):255-262. doi: 10.1136/sextrans-2017-053384. Epub 2018 Feb 9.
9
Mycoplasma genitalium Infection in Men.
J Infect Dis. 2017 Jul 15;216(suppl_2):S396-S405. doi: 10.1093/infdis/jix145.
10
New Horizons in Mycoplasma genitalium Treatment.
J Infect Dis. 2017 Jul 15;216(suppl_2):S412-S419. doi: 10.1093/infdis/jix132.

本文引用的文献

1
Comparison of two Mycoplasma genitalium real-time PCR detection methodologies.
J Clin Microbiol. 2011 Mar;49(3):1140-2. doi: 10.1128/JCM.02328-10. Epub 2011 Jan 5.
2
Is Mycoplasma genitalium in women the "New Chlamydia?" A community-based prospective cohort study.
Clin Infect Dis. 2010 Nov 15;51(10):1160-6. doi: 10.1086/656739. Epub 2010 Oct 13.
3
Mycoplasma genitalium PCR: does freezing of specimens affect sensitivity?
J Clin Microbiol. 2010 Oct;48(10):3624-7. doi: 10.1128/JCM.00232-10. Epub 2010 Aug 18.
4
Protective immunity to Chlamydia trachomatis genital infection: evidence from human studies.
J Infect Dis. 2010 Jun 15;201 Suppl 2(S2):S178-89. doi: 10.1086/652400.
5
Development and evaluation of an ompA quantitative real-time PCR assay for Chlamydia trachomatis serovar determination.
J Clin Microbiol. 2010 Jun;48(6):2060-5. doi: 10.1128/JCM.02308-09. Epub 2010 Apr 14.
6
Sex and sport: chlamydia screening in rural sporting clubs.
BMC Infect Dis. 2009 May 27;9:73. doi: 10.1186/1471-2334-9-73.
8
Association of Mycoplasma genitalium and HIV infection: a systematic review and meta-analysis.
AIDS. 2009 Mar 13;23(5):611-20. doi: 10.1097/QAD.0b013e328323da3e.
9
Persistence of Mycoplasma genitalium following azithromycin therapy.
PLoS One. 2008;3(11):e3618. doi: 10.1371/journal.pone.0003618. Epub 2008 Nov 3.

文献AI研究员

20分钟写一篇综述,助力文献阅读效率提升50倍。

立即体验

用中文搜PubMed

大模型驱动的PubMed中文搜索引擎

马上搜索

文档翻译

学术文献翻译模型,支持多种主流文档格式。

立即体验