Suppr超能文献

3,3'-(2,2'-联-1H-咪唑-1,1'-二基)二丙酸二叔丁酯

Di-tert-butyl 3,3'-(2,2'-bi-1H-imidazole-1,1'-di-yl)dipropanoate.

作者信息

Wang Ke, Li Yue-Jiao, Zhang Ting-Ting, Liang Hong-Ze

机构信息

State Key Laboratory Base of Novel Functional Materials, and Preparation Science, Faculty of Materials Science and Chemical Engineering, Ningbo University, Ningbo 315211, People's Republic of China.

出版信息

Acta Crystallogr Sect E Struct Rep Online. 2009 Jun 13;65(Pt 7):o1577. doi: 10.1107/S1600536809021369.

Abstract

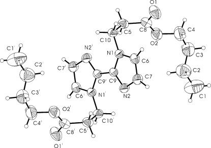
In the title compound, C(20)H(20)N(4)O(4), the complete molecule is generated by a crystallographic centre of symmetry. The conformation is stabilized by two intramolecular C-H⋯N links.

摘要

在标题化合物C₂₀H₂₀N₄O₄中,整个分子由一个晶体学对称中心产生。该构象通过两个分子内C-H⋯N连接得以稳定。

https://cdn.ncbi.nlm.nih.gov/pmc/blobs/abc1/2969301/267b15467ed0/e-65-o1577-fig1.jpg

相似文献

1
Di-tert-butyl 3,3'-(2,2'-bi-1H-imidazole-1,1'-di-yl)dipropanoate.3,3'-(2,2'-联-1H-咪唑-1,1'-二基)二丙酸二叔丁酯
Acta Crystallogr Sect E Struct Rep Online. 2009 Jun 13;65(Pt 7):o1577. doi: 10.1107/S1600536809021369.
5
2,6-Di-tert-butyl-4-(morpholinometh-yl)-phenol monohydrate.2,6-二叔丁基-4-(吗啉甲基)苯酚一水合物
Acta Crystallogr Sect E Struct Rep Online. 2008 Jan 9;64(Pt 2):o406. doi: 10.1107/S1600536807068754.
6
Ethyl 1-tert-butyl-2-(4-methoxy-phen-yl)-1H-benzimidazole-5-carboxyl-ate.1-叔丁基-2-(4-甲氧基苯基)-1H-苯并咪唑-5-羧酸乙酯
Acta Crystallogr Sect E Struct Rep Online. 2010 Mar 6;66(Pt 4):o776-7. doi: 10.1107/S1600536810007956.
7
Di-tert-butyl N-{[1-(pyridin-4-yl)-1H-1,2,3-triazol-4-yl]methyl}iminodiacetate.二叔丁基 N-{[1-(吡啶-4-基)-1H-1,2,3-三唑-4-基]甲基}亚氨基二乙酸酯
Acta Crystallogr Sect E Struct Rep Online. 2012 Nov 1;68(Pt 11):o3162. doi: 10.1107/S1600536812042596. Epub 2012 Oct 20.
8
2-Phenyl-4,5-di-2-pyridyl-1H-imidazole.2-苯基-4,5-二-2-吡啶基-1H-咪唑
Acta Crystallogr Sect E Struct Rep Online. 2009 Dec 16;66(Pt 1):o149. doi: 10.1107/S1600536809053215.
9
Di-tert-butyl N,N'-(octa-hydro-penta-lene-2,5-di-yl)dicarbamate.二叔丁基 N,N'-(八氢-戊搭烯-2,5-二亚基)二氨基甲酸酯
Acta Crystallogr Sect E Struct Rep Online. 2008 May 24;64(Pt 6):o1149. doi: 10.1107/S1600536808014876.

本文引用的文献

2
2,2'-(2,2'-Biimidazole-1,1'-di-yl)diethanoic acid.2,2'-(2,2'-联咪唑-1,1'-二基)二乙酸
Acta Crystallogr Sect E Struct Rep Online. 2009 Mar 28;65(Pt 4):o904. doi: 10.1107/S1600536809010897.
3
3,3'-(2,2'-Bi-1H-imidazole-1,1'-diyl)dipropanol.3,3'-(2,2'-联-1H-咪唑-1,1'-二基)二丙醇
Acta Crystallogr Sect E Struct Rep Online. 2009 Jan 8;65(Pt 2):o213-4. doi: 10.1107/S1600536808043377.
4
A short history of SHELX.SHELX简史。
Acta Crystallogr A. 2008 Jan;64(Pt 1):112-22. doi: 10.1107/S0108767307043930. Epub 2007 Dec 21.
5
1,1'-Di(hydrazinocarbonylmethyl)-2,2'-biimidazole monohydrate and 1,1'-di[2-(hydrazinocarbonyl)ethyl]-2,2'-biimidazole.
Acta Crystallogr C. 2002 Sep;58(Pt 9):o565-7. doi: 10.1107/S0108270102013458. Epub 2002 Aug 21.

文献检索

告别复杂PubMed语法,用中文像聊天一样搜索,搜遍4000万医学文献。AI智能推荐,让科研检索更轻松。

立即免费搜索

文件翻译

保留排版,准确专业,支持PDF/Word/PPT等文件格式,支持 12+语言互译。

免费翻译文档

深度研究

AI帮你快速写综述,25分钟生成高质量综述,智能提取关键信息,辅助科研写作。

立即免费体验