Suppr超能文献

烟曲霉毒力因子UDP-吡喃半乳糖变位酶的荧光偏振结合测定

Fluorescence Polarization Binding Assay for Aspergillus fumigatus Virulence Factor UDP-Galactopyranose Mutase.

作者信息

Qi Jun, Oppenheimer Michelle, Sobrado Pablo

机构信息

Department of Biochemistry, Virginia Tech, Blacksburg, VA 26061, USA.

出版信息

Enzyme Res. 2011;2011:513905. doi: 10.4061/2011/513905. Epub 2011 Aug 21.

Abstract

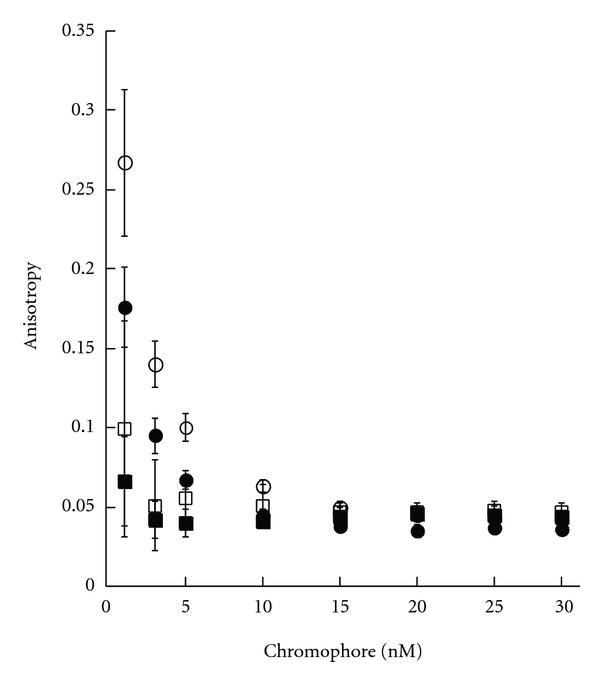
Aspergillus fumigatus is an opportunistic human pathogenic fungus responsible for deadly lung infections in immunocompromised individuals. Galactofuranose (Galf) residues are essential components of the cell wall and play an important role in A. fumigatus virulence. The flavoenzyme UDP-galactopyranose mutase (UGM) catalyzes the isomerization of UDP-galactopyranose to UDP-galactofuranose, the biosynthetic precursor of Galf. Thus, inhibitors of UGM that block the biosynthesis of Galf can lead to novel chemotherapeutics for treating A. fumigatus-related diseases. Here, we describe the synthesis of fluorescently labeled UDP analogs and the development of a fluorescence polarization (FP) binding assay for A. fumigatus UGM (AfUGM). High-affinity binding to AfUGM was only obtained with the chromophore TAMRA, linked to UDP by either 2 or 6 carbons with K(d) values of 2.6 ± 0.2 μM and 3.0 ± 0.7 μM, respectively. These values were ~6 times lower than when UDP was linked to fluorescein. The FP assay was validated against several known ligands and displayed an excellent Z' factor (0.79 ± 0.02) and good tolerance to dimethyl sulfoxide.

摘要

烟曲霉是一种机会致病性人类真菌,可导致免疫功能低下个体发生致命的肺部感染。呋喃半乳糖(Galf)残基是细胞壁的重要组成部分,在烟曲霉的毒力中起重要作用。黄素酶UDP-吡喃半乳糖变位酶(UGM)催化UDP-吡喃半乳糖异构化为UDP-呋喃半乳糖,后者是Galf的生物合成前体。因此,阻断Galf生物合成的UGM抑制剂可导致用于治疗烟曲霉相关疾病的新型化学疗法。在此,我们描述了荧光标记的UDP类似物的合成以及用于烟曲霉UGM(AfUGM)的荧光偏振(FP)结合测定的开发。仅使用通过2个或6个碳与UDP连接的发色团TAMRA获得了与AfUGM的高亲和力结合,其K(d)值分别为2.6±0.2μM和3.0±0.7μM。这些值比UDP与荧光素连接时低约6倍。针对几种已知配体验证了FP测定,其显示出优异的Z'因子(0.79±0.02)和对二甲基亚砜的良好耐受性。

https://cdn.ncbi.nlm.nih.gov/pmc/blobs/e3aa/3159312/fc11611ebc46/ER2011-513905.001.jpg

文献检索

告别复杂PubMed语法,用中文像聊天一样搜索,搜遍4000万医学文献。AI智能推荐,让科研检索更轻松。

立即免费搜索

文件翻译

保留排版,准确专业,支持PDF/Word/PPT等文件格式,支持 12+语言互译。

免费翻译文档

深度研究

AI帮你快速写综述,25分钟生成高质量综述,智能提取关键信息,辅助科研写作。

立即免费体验