Suppr超能文献

基于微环谐振器的负磁导率超材料传感器。

A microring resonator based negative permeability metamaterial sensor.

机构信息

School of Information Science and Engineering, Yunnan University, Kunming 650091, China.

出版信息

Sensors (Basel). 2011;11(8):8060-71. doi: 10.3390/s110808060. Epub 2011 Aug 17.

Abstract

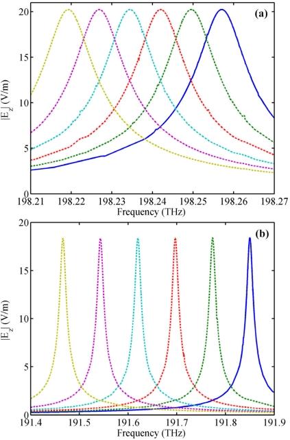
Metamaterials are artificial multifunctional materials that acquire their material properties from their structure, rather than inheriting them directly from the materials they are composed of, and they may provide novel tools to significantly enhance the sensitivity and resolution of sensors. In this paper, we derive the dispersion relation of a cylindrical dielectric waveguide loaded on a negative permeability metamaterial (NPM) layer, and compute the resonant frequencies and electric field distribution of the corresponding Whispering-Gallery-Modes (WGMs). The theoretical resonant frequency and electric field distribution results are in good agreement with the full wave simulation results. We show that the NPM sensor based on a microring resonator possesses higher sensitivity than the traditional microring sensor since with the evanescent wave amplification and the increase of NPM layer thickness, the sensitivity will be greatly increased. This may open a door for designing sensors with specified sensitivity.

摘要

超材料是人工多功能材料,其材料特性源自其结构,而不是直接继承其组成材料的特性,它们可能为显著提高传感器的灵敏度和分辨率提供新的工具。在本文中,我们推导出了加载在负磁导率超材料(NPM)层上的圆柱形介波导的色散关系,并计算了相应的 whispering-Gallery-Modes(WGMs)的共振频率和电场分布。理论共振频率和电场分布结果与全波模拟结果吻合较好。我们表明,基于微环谐振器的 NPM 传感器比传统的微环传感器具有更高的灵敏度,因为随着消逝波的放大和 NPM 层厚度的增加,灵敏度将大大提高。这可能为设计具有特定灵敏度的传感器开辟了一条道路。

https://cdn.ncbi.nlm.nih.gov/pmc/blobs/5aa9/3231719/713d97540110/sensors-11-08060f1.jpg

文献AI研究员

20分钟写一篇综述,助力文献阅读效率提升50倍。

立即体验

用中文搜PubMed

大模型驱动的PubMed中文搜索引擎

马上搜索

文档翻译

学术文献翻译模型,支持多种主流文档格式。

立即体验