• 文献检索
  • 文档翻译
  • 深度研究
  • 学术资讯
  • Suppr Zotero 插件Zotero 插件
  • 邀请有礼
  • 套餐&价格
  • 历史记录
应用&插件
Suppr Zotero 插件Zotero 插件浏览器插件Mac 客户端Windows 客户端微信小程序
定价
高级版会员购买积分包购买API积分包
服务
文献检索文档翻译深度研究API 文档MCP 服务
关于我们
关于 Suppr公司介绍联系我们用户协议隐私条款
关注我们

Suppr 超能文献

核心技术专利:CN118964589B侵权必究
粤ICP备2023148730 号-1Suppr @ 2026

文献检索

告别复杂PubMed语法,用中文像聊天一样搜索,搜遍4000万医学文献。AI智能推荐,让科研检索更轻松。

立即免费搜索

文件翻译

保留排版,准确专业,支持PDF/Word/PPT等文件格式,支持 12+语言互译。

免费翻译文档

深度研究

AI帮你快速写综述,25分钟生成高质量综述,智能提取关键信息,辅助科研写作。

立即免费体验

新鲜的、干燥的还是熏制的?埃塞俄比亚药用植物叶挥发物的驱虫特性及其对疟疾和黄热病媒介的影响。

Fresh, dried or smoked? Repellent properties of volatiles emitted from ethnomedicinal plant leaves against malaria and yellow fever vectors in Ethiopia.

机构信息

Division of Chemical Ecology, Department of Plant Protection Biology, Swedish University of Agricultural Sciences, 230 53 Alnarp, Sweden.

出版信息

Malar J. 2011 Dec 19;10:375. doi: 10.1186/1475-2875-10-375.

DOI:10.1186/1475-2875-10-375
PMID:22182798
原文链接:https://pmc.ncbi.nlm.nih.gov/articles/PMC3285543/
Abstract

BACKGROUND

In the search for plant-based mosquito repellents, volatile emanations were investigated from five plant species, Corymbia citriodora, Ocimum suave, Ocimum lamiifolium, Olea europaea and Ostostegia integrifolia, traditionally used in Ethiopia as protection against mosquitoes.

METHODS

The behaviour of two mosquitoes, the malaria vector Anopheles arabiensis and the arbovirus vector Aedes aegypti, was assessed towards volatiles collected from the headspace of fresh and dried leaves, and the smoke from burning the dried leaves in a two-choice landing bioassay and in the background of human odour.

RESULTS

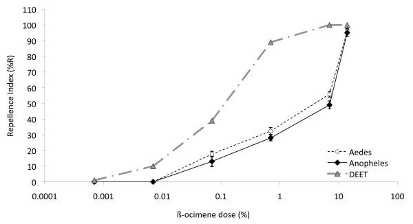
Volatile extracts from the smoke of burning dried leaves were found to be more repellent than those from fresh leaves, which in turn were more repellent to mosquitoes than volatiles from dried leaves. Of all smoke and fresh volatile extracts, those from Co. citriodora (52-76%) and Oc. suave (58-68%) were found to be the most repellent, Os. integrifolia (29-56%) to be intermediate while Ol. europaea (23-40%) and Os. integrifolia (19-37%) were the least repellent. One volatile present in each of the fresh leaf extracts of Co. citriodora, Oc. suave and Os. integrifolia was ß-ocimene. The levels of ß-ocimene reflected the mosquito repellent activity of these three fresh leaf extracts. Female host-seeking mosquitoes responded dose-dependently to ß-ocimene, both physiologically and behaviourally, with a maximal behavioural repulsion at 14% ß-ocimene. ß-ocimene (14%) repels mosquitoes in our 6-minute landing assays comparable to the synthetic insect repellent N,N-diethyl-m-toluamide (10% DEET).

CONCLUSIONS

Volatiles in the smoke of burning as well as fresh leaves of Co. citriodora and Oc. suave have significant repellent properties against host seeking An. arabiensis and Ae. aegypti mosquitoes. ß-ocimene, present in the fresh leaf headspace of Co. citriodora, Oc. suave and Os. integrifolia, is a significantly effective volatile mosquito repellent in the laboratory. In addition to its repellent properties, ß-ocimene has long approved safe for use in food and cosmetics, making this volatile an intriguing compound to pursue in further tests in the laboratory and field to validate its mosquito repellent activity and potential for use in a commercial product. Also, the landing bioassay with humanised membranes is a potentially useful repellent screening technique that does not require the exposure of humans to the vectors, however further tests in parallel with conventional techniques are advised.

摘要

背景

在寻找植物源驱蚊剂的过程中,研究了来自五种植物的挥发性散发物,即传统上用于埃塞俄比亚驱蚊的柠檬桉、甜罗勒、细叶罗勒、油橄榄和金纽扣。

方法

使用两种蚊子,疟蚊(按蚊)和黄热病病毒载体埃及伊蚊(埃及伊蚊),在选择降落生物测定和人类气味背景下,评估了从新鲜和干燥叶子的头空间收集的挥发性物质以及干燥叶子燃烧产生的烟雾对两种蚊子的行为影响。

结果

发现燃烧干燥叶子产生的烟雾的挥发性提取物比新鲜叶子的提取物更具驱避性,而新鲜叶子的提取物又比干燥叶子的挥发性提取物更具驱避性。在所有烟雾和新鲜挥发性提取物中,来自柠檬桉(52-76%)和甜罗勒(58-68%)的提取物被发现最具驱避性,金纽扣(29-56%)居中,而油橄榄(23-40%)和金纽扣(19-37%)的驱避性最低。柠檬桉、甜罗勒和金纽扣的新鲜叶子提取物中都存在一种挥发性物质β-罗勒烯。β-罗勒烯的水平反映了这三种新鲜叶子提取物的驱蚊活性。雌性宿主寻找蚊子对β-罗勒烯表现出生理和行为上的剂量依赖性反应,在 14%β-罗勒烯时表现出最大的行为排斥。β-罗勒烯(14%)在我们的 6 分钟降落测定中与合成驱虫剂 N,N-二乙基间甲苯酰胺(10%DEET)一样有效地驱蚊。

结论

燃烧以及新鲜柠檬桉和甜罗勒叶子的烟雾中的挥发性物质对寻找宿主的按蚊和埃及伊蚊具有显著的驱避作用。β-罗勒烯存在于柠檬桉、甜罗勒和金纽扣的新鲜叶子的头空间中,是一种在实验室中非常有效的挥发性驱蚊剂。除了其驱避特性外,β-罗勒烯在食品和化妆品中已经被长期批准安全使用,这使得这种挥发性物质成为一种在实验室和实地进一步测试以验证其驱蚊活性和在商业产品中应用潜力的有趣化合物。此外,使用人类化膜的降落生物测定是一种潜在有用的驱蚊筛选技术,不需要将人类暴露于载体中,但是建议与传统技术平行进行进一步测试。

https://cdn.ncbi.nlm.nih.gov/pmc/blobs/d666/3285543/fd8843a128d2/1475-2875-10-375-7.jpg
https://cdn.ncbi.nlm.nih.gov/pmc/blobs/d666/3285543/12f99ba6abe8/1475-2875-10-375-1.jpg
https://cdn.ncbi.nlm.nih.gov/pmc/blobs/d666/3285543/e0f1971cb7ed/1475-2875-10-375-2.jpg
https://cdn.ncbi.nlm.nih.gov/pmc/blobs/d666/3285543/b0f4913881b6/1475-2875-10-375-3.jpg
https://cdn.ncbi.nlm.nih.gov/pmc/blobs/d666/3285543/af1667da0c22/1475-2875-10-375-4.jpg
https://cdn.ncbi.nlm.nih.gov/pmc/blobs/d666/3285543/34f389fcca31/1475-2875-10-375-5.jpg
https://cdn.ncbi.nlm.nih.gov/pmc/blobs/d666/3285543/8edf20bdb3b0/1475-2875-10-375-6.jpg
https://cdn.ncbi.nlm.nih.gov/pmc/blobs/d666/3285543/fd8843a128d2/1475-2875-10-375-7.jpg
https://cdn.ncbi.nlm.nih.gov/pmc/blobs/d666/3285543/12f99ba6abe8/1475-2875-10-375-1.jpg
https://cdn.ncbi.nlm.nih.gov/pmc/blobs/d666/3285543/e0f1971cb7ed/1475-2875-10-375-2.jpg
https://cdn.ncbi.nlm.nih.gov/pmc/blobs/d666/3285543/b0f4913881b6/1475-2875-10-375-3.jpg
https://cdn.ncbi.nlm.nih.gov/pmc/blobs/d666/3285543/af1667da0c22/1475-2875-10-375-4.jpg
https://cdn.ncbi.nlm.nih.gov/pmc/blobs/d666/3285543/34f389fcca31/1475-2875-10-375-5.jpg
https://cdn.ncbi.nlm.nih.gov/pmc/blobs/d666/3285543/8edf20bdb3b0/1475-2875-10-375-6.jpg
https://cdn.ncbi.nlm.nih.gov/pmc/blobs/d666/3285543/fd8843a128d2/1475-2875-10-375-7.jpg

相似文献

1
Fresh, dried or smoked? Repellent properties of volatiles emitted from ethnomedicinal plant leaves against malaria and yellow fever vectors in Ethiopia.新鲜的、干燥的还是熏制的?埃塞俄比亚药用植物叶挥发物的驱虫特性及其对疟疾和黄热病媒介的影响。
Malar J. 2011 Dec 19;10:375. doi: 10.1186/1475-2875-10-375.
2
Ethnobotanical study of some of mosquito repellent plants in north-eastern Tanzania.坦桑尼亚东北部一些驱蚊植物的民族植物学研究。
Malar J. 2008 Aug 7;7:152. doi: 10.1186/1475-2875-7-152.
3
Laboratory evaluation of traditional insect/mosquito repellent plants against Anopheles arabiensis, the predominant malaria vector in Ethiopia.针对埃塞俄比亚主要疟疾传播媒介阿拉伯按蚊,对传统驱蚊植物进行实验室评估。
Parasitol Res. 2008 Aug;103(3):529-34. doi: 10.1007/s00436-008-1001-9. Epub 2008 May 21.
4
Identification of mosquito repellent odours from Ocimum forskolei.从 Forsskoliae Plectranthus 中鉴定出驱蚊气味。
Parasit Vectors. 2011 Sep 22;4:183. doi: 10.1186/1756-3305-4-183.
5
Field investigation on the repellent activity of some aromatic plants by traditional means against Anopheles arabiensis and An. pharoensis (Diptera: Culicidae) around Koka, central Ethiopia.埃塞俄比亚中部科卡周边地区采用传统方法对一些芳香植物针对阿拉伯按蚊和法老按蚊(双翅目:蚊科)的驱避活性进行的实地调查。
Acta Trop. 2009 Oct;112(1):38-42. doi: 10.1016/j.actatropica.2009.06.002. Epub 2009 Jun 17.
6
Ovicidal, repellent, adulticidal and field evaluations of plant extract against dengue, malaria and filarial vectors.植物提取物对登革热、疟疾和丝虫病媒介的杀卵、驱避、杀成虫和田间评价。
Parasitol Res. 2013 Mar;112(3):1205-19. doi: 10.1007/s00436-012-3252-8. Epub 2012 Dec 28.
7
Single blinded semi-field evaluation of MAÏA topical repellent ointment compared to unformulated 20% DEET against Anopheles gambiae, Anopheles arabiensis and Aedes aegypti in Tanzania.坦桑尼亚 20%避蚊胺制剂与 MAÏA 驱虫霜的半野外单盲对比评估:对冈比亚按蚊、阿拉伯按蚊和埃及伊蚊的效果。
Malar J. 2021 Jan 6;20(1):12. doi: 10.1186/s12936-020-03461-9.
8
Insect repellents mediate species-specific olfactory behaviours in mosquitoes.驱虫剂介导蚊子中特定物种的嗅觉行为。
Malar J. 2020 Mar 30;19(1):127. doi: 10.1186/s12936-020-03206-8.
9
Larvicidal and repellent potential of Zingiber nimmonii (J. Graham) Dalzell (Zingiberaceae) essential oil: an eco-friendly tool against malaria, dengue, and lymphatic filariasis mosquito vectors?尼蒙姜(J. Graham)达尔泽尔(姜科)精油的杀幼虫和驱避潜力:一种对抗疟疾、登革热和淋巴丝虫病蚊媒的环保工具?
Parasitol Res. 2016 May;115(5):1807-16. doi: 10.1007/s00436-016-4920-x. Epub 2016 Jan 21.
10
Assessment of knowledge and usage custom of traditional insect/mosquito repellent plants in Addis Zemen Town, South Gonder, North Western Ethiopia.埃塞俄比亚西北部贡德尔北部南戈德地区阿迪斯泽门镇传统驱蚊植物的知识与使用习惯评估
J Ethnopharmacol. 2009 Jan 12;121(1):49-53. doi: 10.1016/j.jep.2008.09.027. Epub 2008 Oct 7.

引用本文的文献

1
Yellow Fever in Non-Human Primates: A Veterinary Guide from a One Health Perspective.非人灵长类动物中的黄热病:从“同一个健康”视角出发的兽医指南
Vet Sci. 2025 Apr 6;12(4):339. doi: 10.3390/vetsci12040339.
2
Ethnobotanical study of plants used for traditional control of mosquitoes and other arthropod pests in the Ghibe valley, southwest Ethiopia.埃塞俄比亚西南部吉贝河谷用于传统防治蚊子和其他节肢动物害虫的植物的民族植物学研究。
Trop Med Health. 2025 Apr 23;53(1):56. doi: 10.1186/s41182-025-00740-6.
3
Ethnobotanical Study of Mosquito Repellent Plants Used in Seweyna District, Bale Zone, Southeast, Ethiopia.

本文引用的文献

1
Chemical composition and larvicidal activity of Blumea densiflora essential oils against Anopheles anthropophagus: a malarial vector mosquito.密毛菊蒿精油的化学成分及对按蚊的生物活性:一种疟疾传播媒介蚊。
Parasitol Res. 2011 Nov;109(5):1417-22. doi: 10.1007/s00436-011-2388-2. Epub 2011 May 10.
2
Plant-based insect repellents: a review of their efficacy, development and testing.植物源昆虫驱避剂:功效、开发与测试研究进展综述。
Malar J. 2011 Mar 15;10 Suppl 1(Suppl 1):S11. doi: 10.1186/1475-2875-10-S1-S11.
3
Early biting rhythm in the Afro-tropical vector of malaria, Anopheles arabiensis, and challenges for its control in Ethiopia.
埃塞俄比亚东南部巴勒州塞韦纳地区用于驱蚊植物的民族植物学研究
Evid Based Complement Alternat Med. 2024 Mar 15;2024:6610579. doi: 10.1155/2024/6610579. eCollection 2024.
4
Sugar feeding by invasive mosquito species on ornamental and wild plants.入侵蚊种对观赏植物和野生植物的取食含糖现象。
Sci Rep. 2023 Dec 13;13(1):22121. doi: 10.1038/s41598-023-48089-2.
5
The Ethnopharmacology, Phytochemistry and Bioactivities of the Genus (Myrtaceae).桃金娘科该属植物的民族药理学、植物化学及生物活性
Plants (Basel). 2023 Oct 25;12(21):3686. doi: 10.3390/plants12213686.
6
Antimalarial potential of Lam. (Moringaceae): A review of the ethnomedicinal, pharmacological, toxicological, and phytochemical evidence.辣木属(辣木科)的抗疟潜力:民族药用、药理学、毒理学及植物化学证据综述
J Venom Anim Toxins Incl Trop Dis. 2023 May 26;29:e20220079. doi: 10.1590/1678-9199-JVATITD-2022-0079. eCollection 2023.
7
Inverse association between dengue, chikungunya, and Zika virus infection and indicators of household air pollution in Santa Rosa, Guatemala: A case-control study, 2011-2018.圣罗莎(危地马拉) 2011-2018 年基于病例对照研究的登革热、基孔肯雅热和寨卡病毒感染与家庭空气污染指标之间的反比关系。
PLoS One. 2020 Jun 19;15(6):e0234399. doi: 10.1371/journal.pone.0234399. eCollection 2020.
8
Novel odor-based strategies for integrated management of vectors of disease.基于新型气味的疾病媒介综合管理策略。
Curr Opin Insect Sci. 2019 Aug;34:105-111. doi: 10.1016/j.cois.2019.05.007. Epub 2019 May 17.
9
Ethnobotanical survey of medicinal plants used as insects repellents in six malaria endemic localities of Cameroon.对喀麦隆六个疟疾流行地区用作驱虫剂的药用植物的民族植物学调查。
J Ethnobiol Ethnomed. 2017 Jun 8;13(1):33. doi: 10.1186/s13002-017-0155-x.
10
Detection and perception of generic host volatiles by mosquitoes modulate host preference: context dependence of ()-1-octen-3-ol.蚊子对宿主通用挥发物的检测和感知调节宿主偏好:()-1-辛烯-3-醇的背景依赖性。
R Soc Open Sci. 2016 Nov 9;3(11):160467. doi: 10.1098/rsos.160467. eCollection 2016 Nov.
非洲热带地区疟疾传播媒介阿拉伯按蚊的早期叮咬节律及其在埃塞俄比亚的防控挑战
Med Vet Entomol. 2012 Mar;26(1):103-5. doi: 10.1111/j.1365-2915.2011.00955.x. Epub 2011 Mar 16.
4
Essential oil composition and larvicidal activity of six Mediterranean aromatic plants against the mosquito Aedes albopictus (Diptera: Culicidae).六种地中海芳香植物的精油成分和对致倦库蚊(双翅目:蚊科)的杀幼虫活性。
Parasitol Res. 2010 Nov;107(6):1455-61. doi: 10.1007/s00436-010-2018-4. Epub 2010 Aug 10.
5
Field attractants for Pachnoda interrupta selected by means of GC-EAD and single sensillum screening.GC-EAD 和单感器筛选法选择的 Pachnoda interrupta 引诱剂。
J Chem Ecol. 2009 Sep;35(9):1063-76. doi: 10.1007/s10886-009-9684-7. Epub 2009 Sep 11.
6
Ethnobotanical survey of knowledge and usage custom of traditional insect/mosquito repellent plants among the Ethiopian Oromo ethnic group.埃塞俄比亚奥罗莫族传统驱虫/驱蚊植物知识与使用习俗的民族植物学调查
J Ethnopharmacol. 2009 Sep 7;125(2):224-9. doi: 10.1016/j.jep.2009.07.008. Epub 2009 Jul 14.
7
Field investigation on the repellent activity of some aromatic plants by traditional means against Anopheles arabiensis and An. pharoensis (Diptera: Culicidae) around Koka, central Ethiopia.埃塞俄比亚中部科卡周边地区采用传统方法对一些芳香植物针对阿拉伯按蚊和法老按蚊(双翅目:蚊科)的驱避活性进行的实地调查。
Acta Trop. 2009 Oct;112(1):38-42. doi: 10.1016/j.actatropica.2009.06.002. Epub 2009 Jun 17.
8
Characterization of antennal trichoid sensilla from female southern house mosquito, Culex quinquefasciatus Say.致倦库蚊雌蚊触角毛形感器的特征分析
Chem Senses. 2009 Mar;34(3):231-52. doi: 10.1093/chemse/bjn080. Epub 2009 Jan 19.
9
Pyrethroid resistance in the major malaria vector Anopheles arabiensis from Gwave, a malaria-endemic area in Zimbabwe.来自津巴布韦疟疾流行地区格瓦韦的主要疟疾传播媒介阿拉伯按蚊对拟除虫菊酯的抗性。
Malar J. 2008 Nov 28;7:247. doi: 10.1186/1475-2875-7-247.
10
Assessment of knowledge and usage custom of traditional insect/mosquito repellent plants in Addis Zemen Town, South Gonder, North Western Ethiopia.埃塞俄比亚西北部贡德尔北部南戈德地区阿迪斯泽门镇传统驱蚊植物的知识与使用习惯评估
J Ethnopharmacol. 2009 Jan 12;121(1):49-53. doi: 10.1016/j.jep.2008.09.027. Epub 2008 Oct 7.