• 文献检索
  • 文档翻译
  • 深度研究
  • 学术资讯
  • Suppr Zotero 插件Zotero 插件
  • 邀请有礼
  • 套餐&价格
  • 历史记录
应用&插件
Suppr Zotero 插件Zotero 插件浏览器插件Mac 客户端Windows 客户端微信小程序
定价
高级版会员购买积分包购买API积分包
服务
文献检索文档翻译深度研究API 文档MCP 服务
关于我们
关于 Suppr公司介绍联系我们用户协议隐私条款
关注我们

Suppr 超能文献

核心技术专利:CN118964589B侵权必究
粤ICP备2023148730 号-1Suppr @ 2026

文献检索

告别复杂PubMed语法,用中文像聊天一样搜索,搜遍4000万医学文献。AI智能推荐,让科研检索更轻松。

立即免费搜索

文件翻译

保留排版,准确专业,支持PDF/Word/PPT等文件格式,支持 12+语言互译。

免费翻译文档

深度研究

AI帮你快速写综述,25分钟生成高质量综述,智能提取关键信息,辅助科研写作。

立即免费体验

适度运动训练可促进正常血压大鼠冠脉血流和腺苷生成的适应性改变。

Moderate exercise training promotes adaptations in coronary blood flow and adenosine production in normotensive rats.

机构信息

University of São Paulo, School of Physical Education and Sports, Laboratory of Biochemistry, São Paulo/SP, Brazil.

出版信息

Clinics (Sao Paulo). 2011;66(12):2105-11. doi: 10.1590/s1807-59322011001200017.

DOI:10.1590/s1807-59322011001200017
PMID:22189737
原文链接:https://pmc.ncbi.nlm.nih.gov/articles/PMC3226607/
Abstract

OBJECTIVES

Aerobic exercise training prevents cardiovascular risks. Regular exercise promotes functional and structural adaptations that are associated with several cardiovascular benefits. The aim of this study is to investigate the effects of swimming training on coronary blood flow, adenosine production and cardiac capillaries in normotensive rats.

METHODS

Wistar rats were randomly divided into two groups: control (C) and trained (T). An exercise protocol was performed for 10 weeks and 60 min/day with a tail overload of 5% bodyweight. Coronary blood flow was quantified with a color microsphere technique, and cardiac capillaries were quantified using light microscopy. Adenine nucleotide hydrolysis was evaluated by enzymatic activity, and protein expression was evaluated by western blot. The results are presented as the means ± SEMs (p<0.05).

RESULTS

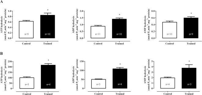
Exercise training increased the coronary blood flow and the myocardial capillary-to-fiber ratio. Moreover, the circulating and cardiac extracellular adenine nucleotide hydrolysis was higher in the trained rats than in the sedentary rats due to the increased activity and protein expression of enzymes, such as E-NTPDase and 59'-nucleotidase.

CONCLUSIONS

Swimming training increases coronary blood flow, number of cardiac capillaries, and adenine nucleotide hydrolysis. Increased adenosine production may be an important contributor to the enhanced coronary blood flow and angiogenesis that were observed in the exercise-trained rats; collectively, these results suggest improved myocardial perfusion.

摘要

目的

有氧运动训练可预防心血管风险。规律运动可促进与多种心血管益处相关的功能和结构适应性。本研究旨在探讨游泳训练对正常血压大鼠冠状动脉血流、腺苷产生和心肌毛细血管的影响。

方法

将 Wistar 大鼠随机分为两组:对照组(C)和训练组(T)。进行为期 10 周、每天 60 分钟的运动方案,尾部负重 5%体重。采用彩色微球技术定量冠状动脉血流,用光学显微镜定量心肌毛细血管。通过酶活性评估腺嘌呤核苷酸水解,通过 Western blot 评估蛋白表达。结果以平均值±SEM(p<0.05)表示。

结果

运动训练增加了冠状动脉血流和心肌毛细血管与纤维的比例。此外,由于酶(如 E-NTPDase 和 59'-核苷酸酶)的活性和蛋白表达增加,循环和心脏细胞外腺嘌呤核苷酸水解在训练大鼠中高于安静大鼠。

结论

游泳训练增加冠状动脉血流、心肌毛细血管数量和腺嘌呤核苷酸水解。腺苷产生增加可能是运动训练大鼠观察到的冠状动脉血流和血管生成增强的重要贡献因素;这些结果共同表明心肌灌注得到改善。

https://cdn.ncbi.nlm.nih.gov/pmc/blobs/30a3/3226607/02c065277f47/cln-66-12-2105-g004.jpg
https://cdn.ncbi.nlm.nih.gov/pmc/blobs/30a3/3226607/6b118038efa7/cln-66-12-2105-g001.jpg
https://cdn.ncbi.nlm.nih.gov/pmc/blobs/30a3/3226607/777ccff1e9ff/cln-66-12-2105-g002.jpg
https://cdn.ncbi.nlm.nih.gov/pmc/blobs/30a3/3226607/0de4bd9687de/cln-66-12-2105-g003.jpg
https://cdn.ncbi.nlm.nih.gov/pmc/blobs/30a3/3226607/02c065277f47/cln-66-12-2105-g004.jpg
https://cdn.ncbi.nlm.nih.gov/pmc/blobs/30a3/3226607/6b118038efa7/cln-66-12-2105-g001.jpg
https://cdn.ncbi.nlm.nih.gov/pmc/blobs/30a3/3226607/777ccff1e9ff/cln-66-12-2105-g002.jpg
https://cdn.ncbi.nlm.nih.gov/pmc/blobs/30a3/3226607/0de4bd9687de/cln-66-12-2105-g003.jpg
https://cdn.ncbi.nlm.nih.gov/pmc/blobs/30a3/3226607/02c065277f47/cln-66-12-2105-g004.jpg

相似文献

1
Moderate exercise training promotes adaptations in coronary blood flow and adenosine production in normotensive rats.适度运动训练可促进正常血压大鼠冠脉血流和腺苷生成的适应性改变。
Clinics (Sao Paulo). 2011;66(12):2105-11. doi: 10.1590/s1807-59322011001200017.
2
Is gender crucial for cardiovascular adjustments induced by exercise training in female spontaneously hypertensive rats?性别对于雌性自发性高血压大鼠运动训练诱导的心血管调节至关重要吗?
Hypertension. 2008 Sep;52(3):514-21. doi: 10.1161/HYPERTENSIONAHA.108.114744. Epub 2008 Aug 11.
3
Effects of exercise training on coronary circulation: introduction.运动训练对冠状动脉循环的影响:引言。
Med Sci Sports Exerc. 1994 Oct;26(10):1226-9. doi: 10.1249/00005768-199410000-00008.
4
Biphasic response of cardiodynamic adaptations to swimming exercise in rats.大鼠对游泳运动的心脏动力学适应性的双相反应。
Gen Physiol Biophys. 2015 Jul;34(3):301-10. doi: 10.4149/gpb_2015001. Epub 2015 Apr 30.
5
Regulation of coronary blood flow during exercise.运动期间冠状动脉血流的调节。
Physiol Rev. 2008 Jul;88(3):1009-86. doi: 10.1152/physrev.00045.2006.
6
The impact of nine weeks swimming exercise on heart function in hypertensive and normotensive rats: role of cardiac oxidative stress.九周游泳运动对高血压和正常血压大鼠心脏功能的影响:心脏氧化应激的作用
J Sports Med Phys Fitness. 2019 Dec;59(12):2075-2083. doi: 10.23736/S0022-4707.19.09798-6. Epub 2019 Jun 21.
7
Opposite effects of training in rats with stable and progressive pulmonary hypertension.稳定型和进行性肺动脉高压大鼠训练的相反效应
Circulation. 2009 Jul 7;120(1):42-9. doi: 10.1161/CIRCULATIONAHA.108.829713. Epub 2009 Jun 22.
8
Long-term exercise training and angiotensin-converting enzyme inhibition differentially enhance myocardial capillarization in the spontaneously hypertensive rat.长期运动训练和血管紧张素转换酶抑制对自发性高血压大鼠心肌毛细血管化的增强作用存在差异。
J Hypertens. 2005 Jun;23(6):1233-40. doi: 10.1097/01.hjh.0000170387.61579.ab.
9
Increased capillary vascularity in the femur of aged rats by exercise training.运动训练增加老年大鼠股骨毛细血管密度。
Microvasc Res. 2009 Dec;78(3):459-63. doi: 10.1016/j.mvr.2009.07.003. Epub 2009 Aug 6.
10
Contrasting effect of exercise and angiotensin II hypertension on in vivo and in vitro cardiac angiogenesis in rats.运动与血管紧张素 II 性高血压对大鼠体内和体外心脏血管生成的对比作用。
Am J Physiol Regul Integr Comp Physiol. 2008 Nov;295(5):R1512-8. doi: 10.1152/ajpregu.00014.2008. Epub 2008 Sep 3.

引用本文的文献

1
The mechanism of exercise for pain management in Parkinson's disease.帕金森病疼痛管理的运动机制。
Front Mol Neurosci. 2022 Nov 10;15:1039302. doi: 10.3389/fnmol.2022.1039302. eCollection 2022.
2
Effects of physical exercise on the functionality of human nucleotidases: A systematic review.运动对人体核苷酸酶功能的影响:系统评价。
Physiol Rep. 2022 Sep;10(18):e15464. doi: 10.14814/phy2.15464.
3
Purinergic signaling as a new mechanism underlying physical exercise benefits: a narrative review.嘌呤能信号作为运动益处的新机制:综述性研究

本文引用的文献

1
Effects of exercise on endothelium and endothelium/smooth muscle cross talk: role of exercise-induced hemodynamics.运动对血管内皮和内皮/平滑肌相互作用的影响:运动引起的血液动力学的作用。
J Appl Physiol (1985). 2011 Jul;111(1):311-20. doi: 10.1152/japplphysiol.00033.2011. Epub 2011 Mar 24.
2
Phagocytic responses of peritoneal macrophages and neutrophils are different in rats following prolonged exercise.长期运动后,大鼠腹腔巨噬细胞和中性粒细胞的吞噬反应不同。
Clinics (Sao Paulo). 2010;65(11):1167-73. doi: 10.1590/s1807-59322010001100020.
3
Adenosine and its receptors in the heart: regulation, retaliation and adaptation.
Purinergic Signal. 2021 Dec;17(4):649-679. doi: 10.1007/s11302-021-09816-4. Epub 2021 Sep 29.
4
The Effect of Training on Erythrocyte Energy Status and Plasma Purine Metabolites in Athletes.训练对运动员红细胞能量状态和血浆嘌呤代谢产物的影响。
Metabolites. 2019 Dec 19;10(1):5. doi: 10.3390/metabo10010005.
5
Altered extracellular ATP, ADP, and AMP hydrolysis in blood serum of sedentary individuals after an acute, aerobic, moderate exercise session.急性有氧运动后久坐个体血清中细胞外ATP、ADP和AMP水解的变化。
Mol Cell Biochem. 2017 Feb;426(1-2):55-63. doi: 10.1007/s11010-016-2880-1. Epub 2016 Nov 16.
6
Physical exercise affects slow cycling cells in the rat heart and reveals a new potential niche area in the atrioventricular junction.体育锻炼影响大鼠心脏中的慢循环细胞,并揭示了房室交界处一个新的潜在生态位区域。
J Mol Histol. 2015 Oct;46(4-5):387-98. doi: 10.1007/s10735-015-9626-3. Epub 2015 Jun 6.
7
Cardioprotective effects of voluntary exercise in a rat model: role of matrix metalloproteinase-2.自愿运动在大鼠模型中的心脏保护作用:基质金属蛋白酶-2的作用
Oxid Med Cell Longev. 2015;2015:876805. doi: 10.1155/2015/876805. Epub 2015 Mar 22.
8
The Rationale for Exercise in the Management of Pain in Parkinson's Disease.帕金森病疼痛管理中运动疗法的理论依据
J Parkinsons Dis. 2015;5(2):229-39. doi: 10.3233/JPD-140508.
9
Interval and continuous exercise training produce similar increases in skeletal muscle and left ventricle microvascular density in rats.间歇性和持续性运动训练使大鼠骨骼肌和左心室微血管密度产生相似程度的增加。
Biomed Res Int. 2013;2013:752817. doi: 10.1155/2013/752817. Epub 2013 Nov 26.
10
Effects of chronic swimming training and oestrogen therapy on coronary vascular reactivity and expression of antioxidant enzymes in ovariectomized rats.慢性游泳训练和雌激素疗法对去卵巢大鼠冠状动脉血管反应性及抗氧化酶表达的影响。
PLoS One. 2013 Jun 3;8(6):e64806. doi: 10.1371/journal.pone.0064806. Print 2014.
心脏中的腺苷及其受体:调节、反馈与适应
Biochim Biophys Acta. 2011 May;1808(5):1413-28. doi: 10.1016/j.bbamem.2010.11.016. Epub 2010 Nov 19.
4
Hemodynamic, morphometric and autonomic patterns in hypertensive rats - Renin-Angiotensin system modulation.高血压大鼠的血液动力学、形态计量学和自主神经模式 - 肾素-血管紧张素系统调节。
Clinics (Sao Paulo). 2010;65(1):85-92. doi: 10.1590/S1807-59322010000100013.
5
A brief review of chronic exercise intervention to prevent autonomic nervous system changes during the aging process.简要回顾慢性运动干预预防衰老过程中自主神经系统变化。
Clinics (Sao Paulo). 2009;64(3):253-8. doi: 10.1590/s1807-59322009000300017.
6
Local renin-angiotensin system regulates left ventricular hypertrophy induced by swimming training independent of circulating renin: a pharmacological study.局部肾素-血管紧张素系统独立于循环肾素调节游泳训练诱导的左心室肥厚:一项药理学研究。
J Renin Angiotensin Aldosterone Syst. 2009 Mar;10(1):15-23. doi: 10.1177/1470320309102304.
7
Invited review: activity-induced angiogenesis.特邀综述:活动诱导的血管生成
Pflugers Arch. 2009 Mar;457(5):963-77. doi: 10.1007/s00424-008-0563-9. Epub 2008 Aug 13.
8
Regulation of coronary blood flow during exercise.运动期间冠状动脉血流的调节。
Physiol Rev. 2008 Jul;88(3):1009-86. doi: 10.1152/physrev.00045.2006.
9
Nucleotide- and nucleoside-converting ectoenzymes: Important modulators of purinergic signalling cascade.核苷酸和核苷转化外切酶:嘌呤能信号级联的重要调节因子。
Biochim Biophys Acta. 2008 May;1783(5):673-94. doi: 10.1016/j.bbamcr.2008.01.024. Epub 2008 Feb 12.
10
E-NTPDases and ecto-5'-nucleotidase expression profile in rat heart left ventricle and the extracellular nucleotide hydrolysis by their nerve terminal endings.大鼠心脏左心室中E-NTPD酶和胞外5'-核苷酸酶的表达谱及其神经末梢的细胞外核苷酸水解作用。
Life Sci. 2008 Feb 27;82(9-10):477-86. doi: 10.1016/j.lfs.2007.12.003. Epub 2008 Jan 16.