Suppr超能文献

应用工作投入-回报失衡模型于家庭和家务劳动:一项基于德国母亲的人口研究。

Applying the effort-reward imbalance model to household and family work: a population-based study of German mothers.

机构信息

Medical Sociology, Hannover Medical School, Carl-Neuberg Str, 1, 30625 Hannover, Germany.

出版信息

BMC Public Health. 2012 Jan 6;12:12. doi: 10.1186/1471-2458-12-12.

Abstract

BACKGROUND

This paper reports on results of a newly developed questionnaire for the assessment of effort-reward imbalance (ERI) in unpaid household and family work.

METHODS

Using a cross-sectional population-based survey of German mothers (n = 3129) the dimensional structure of the theoretical ERI model was validated by means of Confirmatory Factor Analysis (CFA). Analyses of Variance were computed to examine relationships between ERI and social factors and health outcomes.

RESULTS

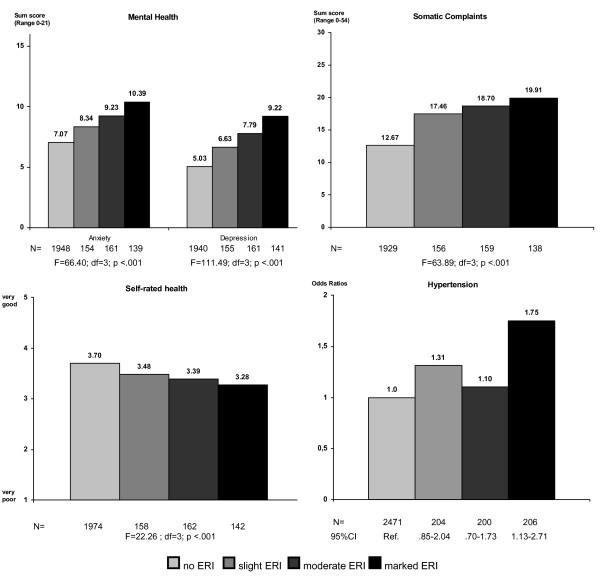
CFA revealed good psychometric properties indicating that the subscale 'effort' is based on one latent factor and the subscale 'reward' is composed of four dimensions: 'intrinsic value of family and household work', 'societal esteem', 'recognition from the partner', and 'affection from the child(ren)'. About 19.3% of mothers perceived lack of reciprocity and 23.8% showed high rates of overcommitment in terms of inability to withdraw from household and family obligations. Socially disadvantaged mothers were at higher risk of ERI, in particular with respect to the perception of low societal esteem. Gender inequality in the division of household and family work and work-family conflict accounted most for ERI in household and family work. Analogous to ERI in paid work we could demonstrate that ERI affects self-rated health, somatic complaints, mental health and, to some extent, hypertension.

CONCLUSIONS

The newly developed questionnaire demonstrates satisfied validity and promising results for extending the ERI model to household and family work.

摘要

背景

本文报告了一种新开发的用于评估无偿家庭和家务工作中付出-回报失衡(ERI)的问卷的结果。

方法

采用德国母亲的横断面人群调查(n=3129),通过验证性因素分析(CFA)验证了理论 ERI 模型的维度结构。方差分析用于检验 ERI 与社会因素和健康结果之间的关系。

结果

CFA 显示出良好的心理测量特性,表明“付出”分量表基于一个潜在因素,而“回报”分量表由四个维度组成:“家庭和家务工作的内在价值”、“社会尊重”、“来自伴侣的认可”和“来自孩子的喜爱”。约 19.3%的母亲认为缺乏互惠,23.8%的母亲表现出无法从家庭和家务义务中退出的过度投入。社会劣势的母亲面临更高的 ERI 风险,特别是在社会尊重感知方面。性别不平等的家庭和家务工作分工以及工作-家庭冲突是家庭和家务工作中 ERI 的主要原因。与有偿工作中的 ERI 类似,我们可以证明 ERI 会影响自评健康、躯体抱怨、心理健康,在某种程度上还会影响高血压。

结论

新开发的问卷在将 ERI 模型扩展到家庭和家务工作方面具有令人满意的有效性和有前景的结果。

https://cdn.ncbi.nlm.nih.gov/pmc/blobs/a6c2/3293094/b6f139363549/1471-2458-12-12-1.jpg

文献AI研究员

20分钟写一篇综述,助力文献阅读效率提升50倍。

立即体验

用中文搜PubMed

大模型驱动的PubMed中文搜索引擎

马上搜索

文档翻译

学术文献翻译模型,支持多种主流文档格式。

立即体验