Suppr超能文献

具有低热敏感性的高性能压阻式 MEMS 应变传感器。

High-performance piezoresistive MEMS strain sensor with low thermal sensitivity.

机构信息

Mechanical Engineering Department, University of Alberta, Edmonton, AB, T6G 2G8, Canada.

出版信息

Sensors (Basel). 2011;11(2):1819-46. doi: 10.3390/s110201819. Epub 2011 Jan 31.

Abstract

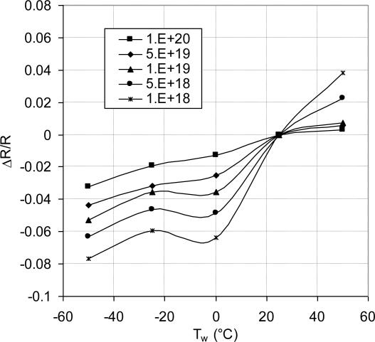
This paper presents the experimental evaluation of a new piezoresistive MEMS strain sensor. Geometric characteristics of the sensor silicon carrier have been employed to improve the sensor sensitivity. Surface features or trenches have been introduced in the vicinity of the sensing elements. These features create stress concentration regions (SCRs) and as a result, the strain/stress field was altered. The improved sensing sensitivity compensated for the signal loss. The feasibility of this methodology was proved in a previous work using Finite Element Analysis (FEA). This paper provides the experimental part of the previous study. The experiments covered a temperature range from -50 °C to +50 °C. The MEMS sensors are fabricated using five different doping concentrations. FEA is also utilized to investigate the effect of material properties and layer thickness of the bonding adhesive on the sensor response. The experimental findings are compared to the simulation results to guide selection of bonding adhesive and installation procedure. Finally, FEA was used to analyze the effect of rotational/alignment errors.

摘要

本文对一种新型压阻式微机电系统(MEMS)应变传感器进行了实验评估。传感器硅载体的几何特征被用于提高传感器的灵敏度。在传感元件附近引入了表面特征或沟槽。这些特征会产生应力集中区域(SCR),从而改变应变/应力场。改进后的传感灵敏度弥补了信号损失。这种方法的可行性在之前的有限元分析(FEA)研究中得到了验证。本文提供了之前研究的实验部分。实验涵盖了从-50°C 到+50°C 的温度范围。MEMS 传感器使用五种不同的掺杂浓度制造。FEA 还用于研究键合胶的材料特性和层厚度对传感器响应的影响。实验结果与模拟结果进行了比较,以指导键合胶的选择和安装程序。最后,FEA 用于分析旋转/对准误差的影响。

https://cdn.ncbi.nlm.nih.gov/pmc/blobs/7d53/3274016/fea1f7c3c3ee/sensors-11-01819f1.jpg

文献AI研究员

20分钟写一篇综述,助力文献阅读效率提升50倍。

立即体验

用中文搜PubMed

大模型驱动的PubMed中文搜索引擎

马上搜索

文档翻译

学术文献翻译模型,支持多种主流文档格式。

立即体验