• 文献检索
  • 文档翻译
  • 深度研究
  • 学术资讯
  • Suppr Zotero 插件Zotero 插件
  • 邀请有礼
  • 套餐&价格
  • 历史记录
应用&插件
Suppr Zotero 插件Zotero 插件浏览器插件Mac 客户端Windows 客户端微信小程序
定价
高级版会员购买积分包购买API积分包
服务
文献检索文档翻译深度研究API 文档MCP 服务
关于我们
关于 Suppr公司介绍联系我们用户协议隐私条款
关注我们

Suppr 超能文献

核心技术专利:CN118964589B侵权必究
粤ICP备2023148730 号-1Suppr @ 2026

文献检索

告别复杂PubMed语法,用中文像聊天一样搜索,搜遍4000万医学文献。AI智能推荐,让科研检索更轻松。

立即免费搜索

文件翻译

保留排版,准确专业,支持PDF/Word/PPT等文件格式,支持 12+语言互译。

免费翻译文档

深度研究

AI帮你快速写综述,25分钟生成高质量综述,智能提取关键信息,辅助科研写作。

立即免费体验

子痫前期和妊娠期糖尿病患者胎盘组织中人生长激素/绒毛膜生长催乳素基因的差异表达谱。

Differential placental expression profile of human Growth Hormone/Chorionic Somatomammotropin genes in pregnancies with pre-eclampsia and gestational diabetes mellitus.

机构信息

Human Molecular Genetics Group, Institute of Molecular and Cell Biology, University of Tartu, Riia 23, 51010 Tartu, Estonia.

出版信息

Mol Cell Endocrinol. 2012 May 15;355(1):180-7. doi: 10.1016/j.mce.2012.02.009. Epub 2012 Feb 22.

DOI:10.1016/j.mce.2012.02.009
PMID:22387044
原文链接:https://pmc.ncbi.nlm.nih.gov/articles/PMC3325480/
Abstract

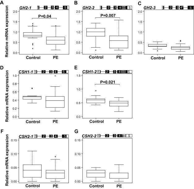
The human GH/CSH cluster consisting of one pituitary-expressed (GH1) and four placenta-expressed loci has been implicated in maternal metabolic adaptation to pregnancy, regulation of intrauterine and postnatal growth. We investigated how the mRNA expression profile of placental GH2, CSH1 and CSH2 genes and their alternative transcripts correlates with maternal pre-eclampsia (PE) and/or gestational diabetes mellitus (GD). The expression of studied genes in PE placentas (n=17) compared to controls (n=17) exhibited a trend for reduced transcript levels. The alternative transcripts retaining intron 4, GH2-2 and CSH1-2 showed significantly reduced expression in PE cases without growth restriction (P=0.007, P=0.008, respectively). In maternal GD (n=23), a tendency of differential expression was detected only for the GH2 gene and in pregnancies with large-for-gestational-age newborns. Our results, together with those reported by others, are consistent with a pleiotropic effect of placental hGH/CSH genes at the maternal-fetal interface relating to the regulation of fetal growth and the risk of affected maternal metabolism.

摘要

人类 GH/CSH 簇由一个垂体表达(GH1)和四个胎盘表达的基因座组成,与母体代谢适应妊娠、调节宫内和产后生长有关。我们研究了胎盘 GH2、CSH1 和 CSH2 基因及其选择性转录本的 mRNA 表达谱与母体子痫前期 (PE) 和/或妊娠糖尿病 (GD) 的相关性。与对照组 (n=17) 相比,PE 胎盘 (n=17) 中研究基因的表达显示转录本水平降低的趋势。保留内含子 4 的选择性转录本 GH2-2 和 CSH1-2 在无生长受限的 PE 病例中表达明显降低 (P=0.007,P=0.008)。在母体 GD (n=23) 中,仅 GH2 基因和巨大儿的妊娠中检测到差异表达的趋势。我们的结果与其他人报告的结果一致,表明胎盘 hGH/CSH 基因在母体-胎儿界面具有多效性效应,与胎儿生长的调节和受影响的母体代谢的风险有关。

https://cdn.ncbi.nlm.nih.gov/pmc/blobs/7ec5/3325480/079eb13f6b4b/gr3.jpg
https://cdn.ncbi.nlm.nih.gov/pmc/blobs/7ec5/3325480/e6be6a0655e1/gr1.jpg
https://cdn.ncbi.nlm.nih.gov/pmc/blobs/7ec5/3325480/c4effc044e38/gr2.jpg
https://cdn.ncbi.nlm.nih.gov/pmc/blobs/7ec5/3325480/079eb13f6b4b/gr3.jpg
https://cdn.ncbi.nlm.nih.gov/pmc/blobs/7ec5/3325480/e6be6a0655e1/gr1.jpg
https://cdn.ncbi.nlm.nih.gov/pmc/blobs/7ec5/3325480/c4effc044e38/gr2.jpg
https://cdn.ncbi.nlm.nih.gov/pmc/blobs/7ec5/3325480/079eb13f6b4b/gr3.jpg

相似文献

1
Differential placental expression profile of human Growth Hormone/Chorionic Somatomammotropin genes in pregnancies with pre-eclampsia and gestational diabetes mellitus.子痫前期和妊娠期糖尿病患者胎盘组织中人生长激素/绒毛膜生长催乳素基因的差异表达谱。
Mol Cell Endocrinol. 2012 May 15;355(1):180-7. doi: 10.1016/j.mce.2012.02.009. Epub 2012 Feb 22.
2
Differential expression profile of growth hormone/chorionic somatomammotropin genes in placenta of small- and large-for-gestational-age newborns.小胎龄儿和大胎龄儿胎盘组织中生长激素/绒毛膜促乳素基因的差异表达谱。
J Clin Endocrinol Metab. 2010 May;95(5):2433-42. doi: 10.1210/jc.2010-0023. Epub 2010 Mar 16.
3
Chromosomal architecture and placental expression of the human growth hormone gene family are targeted by pre-pregnancy maternal obesity.孕前母体肥胖会影响人类生长激素基因家族的染色体结构和胎盘表达。
Am J Physiol Endocrinol Metab. 2018 Oct 1;315(4):E435-E445. doi: 10.1152/ajpendo.00042.2018. Epub 2018 May 15.
4
Detection of placental growth hormone variant and chorionic somatomammotropin-L RNA expression in normal and diabetic pregnancy by reverse transcriptase-polymerase chain reaction.通过逆转录-聚合酶链反应检测正常妊娠和糖尿病妊娠中胎盘生长激素变体及绒毛膜生长催乳素-L RNA的表达。
Mol Cell Endocrinol. 1999 Nov 25;157(1-2):131-42. doi: 10.1016/s0303-7207(99)00152-5.
5
Mid-gestational gene expression profile in placenta and link to pregnancy complications.中期妊娠胎盘基因表达谱与妊娠并发症的关联。
PLoS One. 2012;7(11):e49248. doi: 10.1371/journal.pone.0049248. Epub 2012 Nov 7.
6
Differential placental hormone gene expression during pregnancy in a transgenic mouse containing the human growth hormone/chorionic somatomammotropin locus.在含有人生长激素/绒毛膜生长催乳素基因座的转基因小鼠孕期中胎盘激素基因的差异表达
Placenta. 2009 Mar;30(3):226-35. doi: 10.1016/j.placenta.2008.12.011. Epub 2009 Jan 24.
7
Tissue-specific expression and thyroid hormone regulation of the endogenous placental growth hormone variant and chorionic somatomammotropin genes in a human choriocarcinoma cell line.人绒毛膜癌细胞系中内源性胎盘生长激素变体和绒毛膜生长催乳素基因的组织特异性表达及甲状腺激素调节
Endocrinology. 1991 May;128(5):2353-9. doi: 10.1210/endo-128-5-2353.
8
The roles of placental growth hormone and placental lactogen in the regulation of human fetal growth and development.胎盘生长激素和胎盘催乳素在人类胎儿生长发育调节中的作用。
J Pediatr Endocrinol Metab. 2000 Apr;13(4):343-56. doi: 10.1515/jpem.2000.13.4.343.
9
Characterization of genomic variants in CSH1 and GH2, two candidate genes for Silver-Russell syndrome in 17q24-q25.17q24-q25区域中Silver-Russell综合征的两个候选基因CSH1和GH2的基因组变异特征分析
Genet Test. 2003 Fall;7(3):259-63. doi: 10.1089/109065703322537304.
10
Placental ABCA1 and ABCG1 expression in gestational disease: Pre-eclampsia affects ABCA1 levels in syncytiotrophoblasts.胎盘 ABCA1 和 ABCG1 在妊娠疾病中的表达:子痫前期影响合体滋养层细胞中的 ABCA1 水平。
Placenta. 2013 Nov;34(11):1079-86. doi: 10.1016/j.placenta.2013.06.309. Epub 2013 Jul 20.

引用本文的文献

1
High-throughput mRNA sequencing of human placenta shows sex differences across gestation.人类胎盘的高通量mRNA测序显示整个妊娠期存在性别差异。
Placenta. 2024 May;150:8-21. doi: 10.1016/j.placenta.2024.03.005. Epub 2024 Mar 21.
2
Placental proteome in late‑onset of fetal growth restriction.晚期胎儿生长受限的胎盘蛋白质组学。
Mol Med Rep. 2022 Dec;26(6). doi: 10.3892/mmr.2022.12872. Epub 2022 Oct 20.
3
Prenatal health behaviours as predictors of human placental lactogen levels.产前健康行为对人胎盘催乳素水平的预测作用。

本文引用的文献

1
Placental hormones and the control of maternal metabolism and fetal growth.胎盘激素与母代代谢和胎儿生长的控制。
Curr Opin Endocrinol Diabetes Obes. 2011 Dec;18(6):409-16. doi: 10.1097/MED.0b013e32834c800d.
2
Placental pathology in pregnancy complications.妊娠并发症的胎盘病理学。
Thromb Res. 2011 Feb;127 Suppl 3:S96-9. doi: 10.1016/S0049-3848(11)70026-3.
3
Pre-eclampsia: fitting together the placental, immune and cardiovascular pieces.子痫前期:整合胎盘、免疫和心血管因素。
Front Endocrinol (Lausanne). 2022 Sep 9;13:946539. doi: 10.3389/fendo.2022.946539. eCollection 2022.
4
How Placenta Promotes the Successful Reproduction in High-Altitude Populations: A Transcriptome Comparison between Adaptation and Acclimatization.胎盘如何促进高海拔人群的成功繁殖:适应与习服的转录组比较。
Mol Biol Evol. 2022 Jun 2;39(6). doi: 10.1093/molbev/msac120.
5
Network-based analysis of key regulatory genes implicated in Type 2 Diabetes Mellitus and Recurrent Miscarriages in Turner Syndrome.基于网络的分析揭示了特纳综合征 2 型糖尿病和反复流产相关的关键调节基因。
Sci Rep. 2021 May 21;11(1):10662. doi: 10.1038/s41598-021-90171-0.
6
Changes in pregnancy-related serum biomarkers early in gestation are associated with later development of preeclampsia.妊娠相关血清生物标志物在妊娠早期的变化与子痫前期的后期发展有关。
PLoS One. 2020 Mar 3;15(3):e0230000. doi: 10.1371/journal.pone.0230000. eCollection 2020.
7
H3K27 acetylation and gene expression analysis reveals differences in placental chromatin activity in fetal growth restriction.H3K27 乙酰化和基因表达分析揭示了胎儿生长受限胎盘染色质活性的差异。
Clin Epigenetics. 2018 Jun 26;10:85. doi: 10.1186/s13148-018-0508-x. eCollection 2018.
8
Whole-transcriptome analysis delineates the human placenta gene network and its associations with fetal growth.全转录组分析描绘了人类胎盘基因网络及其与胎儿生长的关联。
BMC Genomics. 2017 Jul 10;18(1):520. doi: 10.1186/s12864-017-3878-0.
9
Expression of placental regulatory genes is associated with fetal growth.胎盘调控基因的表达与胎儿生长相关。
J Perinat Med. 2017 Oct 26;45(7):887-893. doi: 10.1515/jpm-2017-0064.
10
Severe pre-eclampsia is associated with alterations in cytotrophoblasts of the smooth chorion.重度子痫前期与平滑绒毛膜细胞滋养层细胞的改变有关。
Development. 2017 Mar 1;144(5):767-777. doi: 10.1242/dev.146100.
J Pathol. 2010 Aug;221(4):363-78. doi: 10.1002/path.2719.
4
Immunology of pre-eclampsia.子痫前期的免疫学。
Am J Reprod Immunol. 2010 Jun;63(6):534-43. doi: 10.1111/j.1600-0897.2010.00831.x. Epub 2010 Mar 23.
5
Differential expression profile of growth hormone/chorionic somatomammotropin genes in placenta of small- and large-for-gestational-age newborns.小胎龄儿和大胎龄儿胎盘组织中生长激素/绒毛膜促乳素基因的差异表达谱。
J Clin Endocrinol Metab. 2010 May;95(5):2433-42. doi: 10.1210/jc.2010-0023. Epub 2010 Mar 16.
6
Regulation of alternative splicing by histone modifications.组蛋白修饰调控可变剪接。
Science. 2010 Feb 19;327(5968):996-1000. doi: 10.1126/science.1184208. Epub 2010 Feb 4.
7
Potential markers of preeclampsia--a review.子痫前期的潜在标志物——综述
Reprod Biol Endocrinol. 2009 Jul 14;7:70. doi: 10.1186/1477-7827-7-70.
8
RNA and disease.RNA与疾病。
Cell. 2009 Feb 20;136(4):777-93. doi: 10.1016/j.cell.2009.02.011.
9
Complex signatures of locus-specific selective pressures and gene conversion on Human Growth Hormone/Chorionic Somatomammotropin genes.人类生长激素/绒毛膜促生长催乳素基因位点特异性选择压力和基因转换的复杂特征
Hum Mutat. 2008 Oct;29(10):1181-93. doi: 10.1002/humu.20767.
10
Placental growth hormone is increased in the maternal and fetal serum of patients with preeclampsia.子痫前期患者母血和胎儿血清中的胎盘生长激素水平升高。
J Matern Fetal Neonatal Med. 2007 Sep;20(9):651-9. doi: 10.1080/14767050701463571.