Suppr超能文献

食品糖的非营养性、低热量替代品:对解决龋齿和超重/肥胖发生率的临床意义。

Nonnutritive, low caloric substitutes for food sugars: clinical implications for addressing the incidence of dental caries and overweight/obesity.

作者信息

Roberts Michael W, Wright J Timothy

机构信息

Department of Pediatric Dentistry, School of Dentistry, University of North Carolina, 228 Brauer Hall, CB No. 7450, Chapel Hill, NC 27599-7450, USA.

出版信息

Int J Dent. 2012;2012:625701. doi: 10.1155/2012/625701. Epub 2012 Feb 22.

Abstract

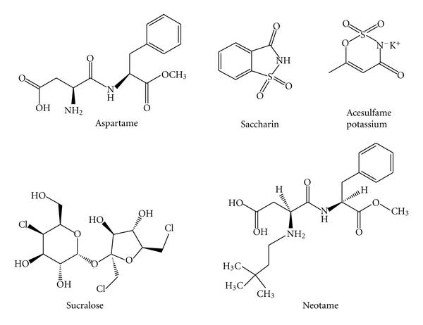
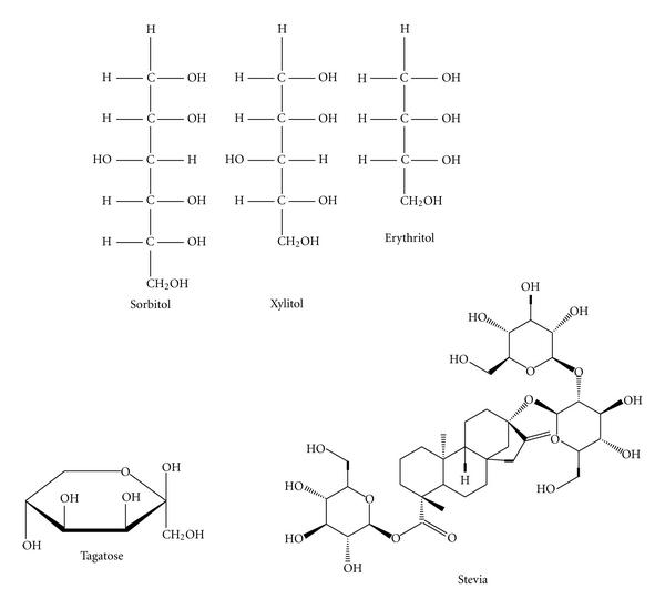
Caries and obesity are two common conditions affecting children in the United States and other developed countries. Caries in the teeth of susceptible children have often been associated with frequent ingestion of fermentable sugars such as sucrose, fructose, glucose, and maltose. Increased calorie intake associated with sugars and carbohydrates, especially when associated with physical inactivity, has been implicated in childhood obesity. Fortunately, nonnutritive artificial alternatives and non-/low-caloric natural sugars have been developed as alternatives to fermentable sugars and have shown promise in partially addressing these health issues. Diet counseling is an important adjunct to oral health instruction. Although there are only five artificial sweeteners that have been approved as food additives by the Food and Drug Administration (FDA), there are additional five non-/low caloric sweeteners that have FDA GRAS (Generally Recognized as Safe) designation. Given the health impact of sugars and other carbohydrates, dental professionals should be aware of the nonnutritive non-/low caloric sweeteners available on the market and both their benefits and potential risks. Dental health professionals should also be proactive in helping identify patients at risk for obesity and provide counseling and referral when appropriate.

摘要

龋齿和肥胖是影响美国及其他发达国家儿童的两种常见病症。易感儿童牙齿出现龋齿往往与频繁摄入可发酵糖有关,如蔗糖、果糖、葡萄糖和麦芽糖。与糖和碳水化合物相关的热量摄入增加,尤其是在缺乏身体活动的情况下,被认为与儿童肥胖有关。幸运的是,已开发出无营养人工替代品以及非/低热量天然糖来替代可发酵糖,并在部分解决这些健康问题方面显示出前景。饮食咨询是口腔健康指导的重要辅助手段。虽然美国食品药品监督管理局(FDA)仅批准了五种人工甜味剂作为食品添加剂,但还有另外五种非/低热量甜味剂获得了FDA的“一般认为安全”(GRAS)认定。鉴于糖和其他碳水化合物对健康的影响,牙科专业人员应了解市场上现有的无营养非/低热量甜味剂及其益处和潜在风险。牙科保健专业人员还应积极主动地帮助识别有肥胖风险的患者,并在适当的时候提供咨询和转诊服务。

https://cdn.ncbi.nlm.nih.gov/pmc/blobs/55a7/3296175/94a6876b2182/IJD2012-625701.001.jpg

文献检索

告别复杂PubMed语法,用中文像聊天一样搜索,搜遍4000万医学文献。AI智能推荐,让科研检索更轻松。

立即免费搜索

文件翻译

保留排版,准确专业,支持PDF/Word/PPT等文件格式,支持 12+语言互译。

免费翻译文档

深度研究

AI帮你快速写综述,25分钟生成高质量综述,智能提取关键信息,辅助科研写作。

立即免费体验