• 文献检索
  • 文档翻译
  • 深度研究
  • 学术资讯
  • Suppr Zotero 插件Zotero 插件
  • 邀请有礼
  • 套餐&价格
  • 历史记录
应用&插件
Suppr Zotero 插件Zotero 插件浏览器插件Mac 客户端Windows 客户端微信小程序
定价
高级版会员购买积分包购买API积分包
服务
文献检索文档翻译深度研究API 文档MCP 服务
关于我们
关于 Suppr公司介绍联系我们用户协议隐私条款
关注我们

Suppr 超能文献

核心技术专利:CN118964589B侵权必究
粤ICP备2023148730 号-1Suppr @ 2026

文献检索

告别复杂PubMed语法,用中文像聊天一样搜索,搜遍4000万医学文献。AI智能推荐,让科研检索更轻松。

立即免费搜索

文件翻译

保留排版,准确专业,支持PDF/Word/PPT等文件格式,支持 12+语言互译。

免费翻译文档

深度研究

AI帮你快速写综述,25分钟生成高质量综述,智能提取关键信息,辅助科研写作。

立即免费体验

出乎意料的是,Ct-麦芽糖酶-葡糖苷酶小肠黏膜 α-葡萄糖苷酶亚单位对熟淀粉具有较高的消化率。

Unexpected high digestion rate of cooked starch by the Ct-maltase-glucoamylase small intestine mucosal α-glucosidase subunit.

机构信息

Whistler Center for Carbohydrate Research, Department of Food Science, Purdue University, West Lafayette, Indiana, United States of America.

出版信息

PLoS One. 2012;7(5):e35473. doi: 10.1371/journal.pone.0035473. Epub 2012 May 1.

DOI:10.1371/journal.pone.0035473
PMID:22563462
原文链接:https://pmc.ncbi.nlm.nih.gov/articles/PMC3341394/
Abstract

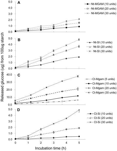
For starch digestion to glucose, two luminal α-amylases and four gut mucosal α-glucosidase subunits are employed. The aim of this research was to investigate, for the first time, direct digestion capability of individual mucosal α-glucosidases on cooked (gelatinized) starch. Gelatinized normal maize starch was digested with N- and C-terminal subunits of recombinant mammalian maltase-glucoamylase (MGAM) and sucrase-isomaltase (SI) of varying amounts and digestion periods. Without the aid of α-amylase, Ct-MGAM demonstrated an unexpected rapid and high digestion degree near 80%, while other subunits showed 20 to 30% digestion. These findings suggest that Ct-MGAM assists α-amylase in digesting starch molecules and potentially may compensate for developmental or pathological amylase deficiencies.

摘要

为了将淀粉消化成葡萄糖,需要两种肠腔α-淀粉酶和四种肠黏膜α-葡萄糖苷酶亚基。本研究的目的是首次研究单个肠黏膜α-葡萄糖苷酶对煮熟(胶凝)淀粉的直接消化能力。用不同量和消化时间的重组哺乳动物麦芽糖酶-葡糖淀粉酶(MGAM)的 N 端和 C 端亚基以及蔗糖酶-异麦芽糖酶(SI)消化胶凝正常玉米淀粉。在没有α-淀粉酶的帮助下,Ct-MGAM 出人意料地快速和高度消化,接近 80%,而其他亚基的消化率为 20%至 30%。这些发现表明 Ct-MGAM 辅助α-淀粉酶消化淀粉分子,并且可能潜在地补偿发育或病理淀粉酶缺乏。

https://cdn.ncbi.nlm.nih.gov/pmc/blobs/5dce/3341394/70e76873074d/pone.0035473.g004.jpg
https://cdn.ncbi.nlm.nih.gov/pmc/blobs/5dce/3341394/a2aa5a7bf915/pone.0035473.g001.jpg
https://cdn.ncbi.nlm.nih.gov/pmc/blobs/5dce/3341394/1dfa6a216228/pone.0035473.g002.jpg
https://cdn.ncbi.nlm.nih.gov/pmc/blobs/5dce/3341394/8b1eb895548d/pone.0035473.g003.jpg
https://cdn.ncbi.nlm.nih.gov/pmc/blobs/5dce/3341394/70e76873074d/pone.0035473.g004.jpg
https://cdn.ncbi.nlm.nih.gov/pmc/blobs/5dce/3341394/a2aa5a7bf915/pone.0035473.g001.jpg
https://cdn.ncbi.nlm.nih.gov/pmc/blobs/5dce/3341394/1dfa6a216228/pone.0035473.g002.jpg
https://cdn.ncbi.nlm.nih.gov/pmc/blobs/5dce/3341394/8b1eb895548d/pone.0035473.g003.jpg
https://cdn.ncbi.nlm.nih.gov/pmc/blobs/5dce/3341394/70e76873074d/pone.0035473.g004.jpg

相似文献

1
Unexpected high digestion rate of cooked starch by the Ct-maltase-glucoamylase small intestine mucosal α-glucosidase subunit.出乎意料的是,Ct-麦芽糖酶-葡糖苷酶小肠黏膜 α-葡萄糖苷酶亚单位对熟淀粉具有较高的消化率。
PLoS One. 2012;7(5):e35473. doi: 10.1371/journal.pone.0035473. Epub 2012 May 1.
2
Maltase-glucoamylase modulates gluconeogenesis and sucrase-isomaltase dominates starch digestion glucogenesis.麦芽糖酶-葡糖苷酶调节糖异生,而蔗糖酶-异麦芽糖酶则主导淀粉消化的糖异生。
J Pediatr Gastroenterol Nutr. 2013 Dec;57(6):704-12. doi: 10.1097/MPG.0b013e3182a27438.
3
Branch pattern of starch internal structure influences the glucogenesis by mucosal Nt-maltase-glucoamylase.淀粉内部结构的分支模式影响黏膜 Nt-麦芽糖酶-葡糖苷酶的糖生成。
Carbohydr Polym. 2014 Oct 13;111:33-40. doi: 10.1016/j.carbpol.2014.04.027. Epub 2014 Apr 22.
4
Contribution of mucosal maltase-glucoamylase activities to mouse small intestinal starch alpha-glucogenesis.黏膜麦芽糖酶-葡糖淀粉酶活性对小鼠小肠淀粉α-葡萄糖生成的作用。
J Nutr. 2007 Jul;137(7):1725-33. doi: 10.1093/jn/137.7.1725.
5
Luminal substrate "brake" on mucosal maltase-glucoamylase activity regulates total rate of starch digestion to glucose.腔内底物对黏膜麦芽糖酶-葡糖淀粉酶活性的“制动”作用调节了淀粉消化为葡萄糖的总速率。
J Pediatr Gastroenterol Nutr. 2007 Jul;45(1):32-43. doi: 10.1097/MPG.0b013e31804216fc.
6
Modeling of cooked starch digestion process using recombinant human pancreatic α-amylase and maltase-glucoamylase for in vitro evaluation of α-glucosidase inhibitors.使用重组人胰腺α-淀粉酶和麦芽糖酶-葡萄糖淀粉酶对熟淀粉消化过程进行建模,用于体外评估α-葡萄糖苷酶抑制剂。
Carbohydr Res. 2015 Sep 23;414:15-21. doi: 10.1016/j.carres.2015.06.007. Epub 2015 Jun 26.
7
Fermentation in the small intestine contributes substantially to intestinal starch disappearance in calves.小肠中的发酵对犊牛肠道淀粉的消失有很大贡献。
J Nutr. 2015 Jun;145(6):1147-55. doi: 10.3945/jn.114.208595. Epub 2015 Apr 15.
8
Luminal starch substrate "brake" on maltase-glucoamylase activity is located within the glucoamylase subunit.麦芽糖酶-葡糖淀粉酶活性的腔内淀粉底物“制动器”位于葡糖淀粉酶亚基内。
J Nutr. 2008 Apr;138(4):685-92. doi: 10.1093/jn/138.4.685.
9
Evidence of native starch degradation with human small intestinal maltase-glucoamylase (recombinant).人类小肠麦芽糖酶-葡糖淀粉酶(重组体)对天然淀粉降解的证据。
FEBS Lett. 2007 May 29;581(13):2381-8. doi: 10.1016/j.febslet.2007.04.035. Epub 2007 Apr 24.
10
Modulation of starch digestion for slow glucose release through "toggling" of activities of mucosal α-glucosidases.通过“Toggle”肠黏膜α-葡萄糖苷酶活性调节淀粉消化以缓慢释放葡萄糖。
J Biol Chem. 2012 Sep 14;287(38):31929-38. doi: 10.1074/jbc.M112.351858. Epub 2012 Jul 31.

引用本文的文献

1
Influence of postruminal casein infusion and exogenous glucagon-like peptide 2 administration on the jejunal mucosal transcriptome in cattle.静脉输注酪蛋白和外源性胰高血糖素样肽 2 对牛空肠黏膜转录组的影响。
PLoS One. 2024 Aug 15;19(8):e0308983. doi: 10.1371/journal.pone.0308983. eCollection 2024.
2
A comprehensive / screening toolbox for the elucidation of glucose homeostasis modulating properties of plant extracts (from roots) and its bioactives.用于阐明植物提取物(来自根部)及其生物活性成分对葡萄糖稳态调节特性的综合/筛选工具箱。
Front Pharmacol. 2024 Jun 26;15:1396292. doi: 10.3389/fphar.2024.1396292. eCollection 2024.
3

本文引用的文献

1
Resistant Starch-A Review.抗性淀粉——综述
Compr Rev Food Sci Food Saf. 2006 Jan;5(1):1-17. doi: 10.1111/j.1541-4337.2006.tb00076.x.
2
Mucosal maltase-glucoamylase plays a crucial role in starch digestion and prandial glucose homeostasis of mice.黏膜麦芽糖酶-葡糖淀粉酶在小鼠的淀粉消化和餐后葡萄糖稳态中起关键作用。
J Nutr. 2009 Apr;139(4):684-90. doi: 10.3945/jn.108.098434. Epub 2009 Feb 4.
3
Luminal starch substrate "brake" on maltase-glucoamylase activity is located within the glucoamylase subunit.麦芽糖酶-葡糖淀粉酶活性的腔内淀粉底物“制动器”位于葡糖淀粉酶亚基内。
Exploring the Use of Species: Antioxidant Properties, Phytochemistry, Medicinal and Industrial Applications.
探索物种的用途:抗氧化特性、植物化学、药用及工业应用。
Antioxidants (Basel). 2022 Mar 9;11(3):526. doi: 10.3390/antiox11030526.
4
Preparation and Analysis of α-1,6 Glucan as a Slowly Digestible Carbohydrate.作为一种慢消化碳水化合物的α-1,6-葡聚糖的制备与分析
J Appl Glycosci (1999). 2021 Aug 22;68(3):53-61. doi: 10.5458/jag.jag.JAG-2021_0001. eCollection 2021.
5
Prenatal and Postnatal Nutrition Influence Pancreatic and Intestinal Carbohydrase Activities of Ruminants.产前和产后营养影响反刍动物的胰腺和肠道碳水化合物酶活性。
Animals (Basel). 2021 Jan 13;11(1):171. doi: 10.3390/ani11010171.
6
Taste cell-expressed α-glucosidase enzymes contribute to gustatory responses to disaccharides.味觉细胞表达的α-葡萄糖苷酶对二糖的味觉反应有贡献。
Proc Natl Acad Sci U S A. 2016 May 24;113(21):6035-40. doi: 10.1073/pnas.1520843113. Epub 2016 May 9.
7
Mammalian mucosal α-glucosidases coordinate with α-amylase in the initial starch hydrolysis stage to have a role in starch digestion beyond glucogenesis.哺乳动物黏膜 α-葡萄糖苷酶与 α-淀粉酶在淀粉初始水解阶段协同作用,在淀粉消化过程中发挥作用,而不仅仅是糖异生作用。
PLoS One. 2013 Apr 25;8(4):e62546. doi: 10.1371/journal.pone.0062546. Print 2013.
8
Enzyme-synthesized highly branched maltodextrins have slow glucose generation at the mucosal α-glucosidase level and are slowly digestible in vivo.酶合成的高度支化麦芽糊精在黏膜 α-葡萄糖苷酶水平具有缓慢的葡萄糖生成速度,并且在体内具有缓慢的消化性。
PLoS One. 2013;8(4):e59745. doi: 10.1371/journal.pone.0059745. Epub 2013 Apr 2.
9
Starch source influences dietary glucose generation at the mucosal α-glucosidase level.淀粉来源通过黏膜 α-葡萄糖苷酶影响膳食葡萄糖的生成。
J Biol Chem. 2012 Oct 26;287(44):36917-21. doi: 10.1074/jbc.M112.378331. Epub 2012 Sep 17.
J Nutr. 2008 Apr;138(4):685-92. doi: 10.1093/jn/138.4.685.
4
Human intestinal maltase-glucoamylase: crystal structure of the N-terminal catalytic subunit and basis of inhibition and substrate specificity.人肠道麦芽糖酶-葡糖淀粉酶:N端催化亚基的晶体结构及抑制作用和底物特异性的基础
J Mol Biol. 2008 Jan 18;375(3):782-92. doi: 10.1016/j.jmb.2007.10.069. Epub 2007 Nov 1.
5
Luminal substrate "brake" on mucosal maltase-glucoamylase activity regulates total rate of starch digestion to glucose.腔内底物对黏膜麦芽糖酶-葡糖淀粉酶活性的“制动”作用调节了淀粉消化为葡萄糖的总速率。
J Pediatr Gastroenterol Nutr. 2007 Jul;45(1):32-43. doi: 10.1097/MPG.0b013e31804216fc.
6
Contribution of mucosal maltase-glucoamylase activities to mouse small intestinal starch alpha-glucogenesis.黏膜麦芽糖酶-葡糖淀粉酶活性对小鼠小肠淀粉α-葡萄糖生成的作用。
J Nutr. 2007 Jul;137(7):1725-33. doi: 10.1093/jn/137.7.1725.
7
Evidence of native starch degradation with human small intestinal maltase-glucoamylase (recombinant).人类小肠麦芽糖酶-葡糖淀粉酶(重组体)对天然淀粉降解的证据。
FEBS Lett. 2007 May 29;581(13):2381-8. doi: 10.1016/j.febslet.2007.04.035. Epub 2007 Apr 24.
8
MEMBRANE (CONTACT) DIGESTION.膜(接触)消化
Physiol Rev. 1965 Jul;45:555-95. doi: 10.1152/physrev.1965.45.3.555.
9
Human intestinal disaccharidases and hereditary disaccharide intolerance. The hydrolysis of sucrose, isomaltose, palatinose (isomaltulose), and a 1,6-alpha-oligosaccharide (isomalto-oligosaccharide) preparation.人类肠道双糖酶与遗传性双糖不耐受。蔗糖、异麦芽糖、帕拉金糖(异麦芽酮糖)及一种1,6-α-寡糖(异麦芽寡糖)制剂的水解作用。
J Clin Invest. 1963 Apr;42(4):556-62. doi: 10.1172/JCI104744.
10
Specificity of the human intestinal disaccharidases and implications for hereditary disaccharide intolerance.人类肠道双糖酶的特异性及其对遗传性双糖不耐受的影响。
J Clin Invest. 1962 Mar;41(3):463-70. doi: 10.1172/JCI104499.