• 文献检索
  • 文档翻译
  • 深度研究
  • 学术资讯
  • Suppr Zotero 插件Zotero 插件
  • 邀请有礼
  • 套餐&价格
  • 历史记录
应用&插件
Suppr Zotero 插件Zotero 插件浏览器插件Mac 客户端Windows 客户端微信小程序
定价
高级版会员购买积分包购买API积分包
服务
文献检索文档翻译深度研究API 文档MCP 服务
关于我们
关于 Suppr公司介绍联系我们用户协议隐私条款
关注我们

Suppr 超能文献

核心技术专利:CN118964589B侵权必究
粤ICP备2023148730 号-1Suppr @ 2026

文献检索

告别复杂PubMed语法,用中文像聊天一样搜索,搜遍4000万医学文献。AI智能推荐,让科研检索更轻松。

立即免费搜索

文件翻译

保留排版,准确专业,支持PDF/Word/PPT等文件格式,支持 12+语言互译。

免费翻译文档

深度研究

AI帮你快速写综述,25分钟生成高质量综述,智能提取关键信息,辅助科研写作。

立即免费体验

卡介苗疫苗对营养不良的个体是否安全?

Is the BCG vaccine safe for undernourished individuals?

作者信息

Ishikawa Larissa Lumi Watanabe, da Rosa Larissa Camargo, França Thais Graziela Donegá, Peres Raphael Sanches, Chiuso-Minicucci Fernanda, Zorzella-Pezavento Sofia Fernanda Gonçalves, Sartori Alexandrina

机构信息

Departamento de Microbiologia e Imunologia, Instituto de Biociências, Universidade Estadual Paulista (UNESP), 18618-970 Botucatu, SP, Brazil.

出版信息

Clin Dev Immunol. 2012;2012:673186. doi: 10.1155/2012/673186. Epub 2012 Apr 10.

DOI:10.1155/2012/673186
PMID:22567029
原文链接:https://pmc.ncbi.nlm.nih.gov/articles/PMC3332168/
Abstract

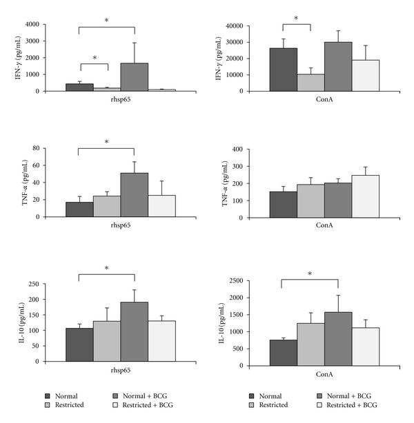
Cellular immunity is critical for protection against tuberculosis, but its integrity is compromised during undernutrition. The present study was designed to evaluate if the attenuated mycobacterium BCG is a safe vaccine for undernourished individuals. An experimental model of undernutrition was established by subjecting BALB/c mice to dietary restriction. These animals received 70% of the amount of food consumed by the healthy control group and exhibited physiological alterations compatible with malnutrition, including body weight loss, reduced levels of triglycerides and glucose, and reduced lymphocyte numbers. Undernourished mice were immunized with BCG, and the mycobacterial loads in lymph nodes, spleen, liver, lungs, and thymus were determined. A much higher proportion of undernourished mice exhibited bacterial dissemination to the lymph nodes, spleen and liver. In addition, only undernourished animals had bacteria in the lungs and thymus. Concomitant with higher mycobacterial loads and more widespread BCG dissemination in undernourished mice, production of TNF-α, IFN-γ, and IL-10 was also diminished in these mice. Taken together, these results indicate that BCG infection is more severe in undernourished mice. Whether a similar phenomenon exists in undernourished children or not remains to be thoroughly investigated.

摘要

细胞免疫对于预防结核病至关重要,但在营养不良期间其完整性会受到损害。本研究旨在评估减毒分枝杆菌卡介苗(BCG)对营养不良个体是否为一种安全的疫苗。通过对BALB/c小鼠进行饮食限制建立了营养不良的实验模型。这些动物摄入的食物量为健康对照组的70%,并表现出与营养不良相符的生理改变,包括体重减轻、甘油三酯和葡萄糖水平降低以及淋巴细胞数量减少。对营养不良的小鼠接种卡介苗,并测定其淋巴结、脾脏、肝脏、肺和胸腺中的分枝杆菌载量。营养不良的小鼠中,有更高比例的小鼠出现细菌扩散至淋巴结、脾脏和肝脏。此外,只有营养不良的动物肺部和胸腺中有细菌。与营养不良小鼠中更高的分枝杆菌载量和更广泛的卡介苗扩散相伴的是,这些小鼠中肿瘤坏死因子-α(TNF-α)、干扰素-γ(IFN-γ)和白细胞介素-10(IL-10)的产生也减少。综上所述,这些结果表明卡介苗感染在营养不良的小鼠中更为严重。营养不良的儿童是否存在类似现象仍有待深入研究。

https://cdn.ncbi.nlm.nih.gov/pmc/blobs/1ab8/3332168/52a1a548c48a/CDI2012-673186.002.jpg
https://cdn.ncbi.nlm.nih.gov/pmc/blobs/1ab8/3332168/df9f733fd210/CDI2012-673186.001.jpg
https://cdn.ncbi.nlm.nih.gov/pmc/blobs/1ab8/3332168/52a1a548c48a/CDI2012-673186.002.jpg
https://cdn.ncbi.nlm.nih.gov/pmc/blobs/1ab8/3332168/df9f733fd210/CDI2012-673186.001.jpg
https://cdn.ncbi.nlm.nih.gov/pmc/blobs/1ab8/3332168/52a1a548c48a/CDI2012-673186.002.jpg

相似文献

1
Is the BCG vaccine safe for undernourished individuals?卡介苗疫苗对营养不良的个体是否安全?
Clin Dev Immunol. 2012;2012:673186. doi: 10.1155/2012/673186. Epub 2012 Apr 10.
2
Future Path Toward TB Vaccine Development: Boosting BCG or Re-educating by a New Subunit Vaccine.未来结核疫苗研发之路:增强卡介苗还是用新型亚单位疫苗重新免疫。
Front Immunol. 2018 Oct 16;9:2371. doi: 10.3389/fimmu.2018.02371. eCollection 2018.
3
[Novel vaccines against M. tuberculosis].[新型抗结核分枝杆菌疫苗]
Kekkaku. 2006 Dec;81(12):745-51.
4
Heterologous boosting with recombinant VSV-846 in BCG-primed mice confers improved protection against Mycobacterium infection.在卡介苗预致敏的小鼠中用重组水疱性口炎病毒846(VSV-846)进行异源加强免疫可增强对分枝杆菌感染的保护作用。
Hum Vaccin Immunother. 2017 Apr 3;13(4):816-822. doi: 10.1080/21645515.2016.1261229. Epub 2016 Dec 14.
5
Comparison of immune responses of mice immunized with five different Mycobacterium bovis BCG vaccine strains.用五种不同的牛分枝杆菌卡介苗疫苗株免疫的小鼠免疫反应比较。
Infect Immun. 1996 Jan;64(1):1-9. doi: 10.1128/iai.64.1.1-9.1996.
6
A booster vaccine expressing a latency-associated antigen augments BCG induced immunity and confers enhanced protection against tuberculosis.一种表达潜伏相关抗原的增强型疫苗增强了卡介苗诱导的免疫反应,并提供了针对结核病的更强保护。
PLoS One. 2011;6(8):e23360. doi: 10.1371/journal.pone.0023360. Epub 2011 Aug 17.
7
Enhancement of antimycobacterial Th1-cell responses by a Mycobacterium bovis BCG prime-protein boost vaccination strategy.牛型结核分枝杆菌疫苗初免-蛋白加强策略增强抗分枝杆菌 Th1 细胞应答。
Cell Immunol. 2013 Sep-Oct;285(1-2):111-7. doi: 10.1016/j.cellimm.2013.10.001. Epub 2013 Oct 11.
8
Neonatal revaccination with Bacillus Calmette-Guérin elicits improved, early protection against Mycobacterium tuberculosis in mice.新生儿接种卡介苗可增强对结核分枝杆菌的早期保护作用。
Vaccine. 2012 May 2;30(21):3223-30. doi: 10.1016/j.vaccine.2012.02.014. Epub 2012 Feb 17.
9
Lymph node targeting of BCG vaccines amplifies CD4 and CD8 T-cell responses and protection against Mycobacterium tuberculosis.BCG 疫苗对淋巴结的靶向作用增强了针对结核分枝杆菌的 CD4 和 CD8 T 细胞应答和保护作用。
Vaccine. 2013 Feb 4;31(7):1057-64. doi: 10.1016/j.vaccine.2012.12.034. Epub 2012 Dec 25.
10
Protective efficacy of intranasal vaccination with Mycobacterium bovis BCG against airway Mycobacterium tuberculosis challenge in mice.牛分枝杆菌卡介苗鼻内接种对小鼠气道结核分枝杆菌攻击的保护效力
J Infect. 2006 Nov;53(5):350-6. doi: 10.1016/j.jinf.2005.12.017. Epub 2006 Jan 25.

引用本文的文献

1
Malnutrition drives infection susceptibility and dysregulated myelopoiesis that persists after refeeding intervention.营养不良会导致感染易感性增加以及骨髓生成失调,而这种失调在重新喂养干预后仍会持续存在。
Elife. 2025 Jul 15;13:RP101670. doi: 10.7554/eLife.101670.
2
Malnutrition drives infection susceptibility and dysregulated myelopoiesis that persists after refeeding intervention.营养不良会导致感染易感性增加以及骨髓生成失调,而这种失调在重新喂养干预后仍会持续。
bioRxiv. 2024 Aug 19:2024.08.19.608575. doi: 10.1101/2024.08.19.608575.
3
Impact of Childhood Malnutrition on Host Defense and Infection.

本文引用的文献

1
Development of new vaccines and drugs for TB: limitations and potential strategic errors.开发新的结核病疫苗和药物:局限性和潜在的战略错误。
Future Microbiol. 2011 Feb;6(2):161-77. doi: 10.2217/fmb.10.168.
2
Dendritic cells from mycobacteria-infected mice inhibits established allergic airway inflammatory responses to ragweed via IL-10- and IL-12-secreting mechanisms.分枝杆菌感染小鼠的树突状细胞通过分泌白细胞介素-10 和白细胞介素-12 抑制豚草过敏原诱导的已建立的过敏性气道炎症反应。
J Immunol. 2010 Jun 15;184(12):7288-96. doi: 10.4049/jimmunol.0902829. Epub 2010 May 17.
3
BCG vaccination and leprosy protection: review of current evidence and status of BCG in leprosy control.
儿童营养不良对宿主防御和感染的影响。
Clin Microbiol Rev. 2017 Oct;30(4):919-971. doi: 10.1128/CMR.00119-16.
4
THE RELEVANCE OF NUTRITIONAL STATUS AND HISTOPATHOLOGICAL FINDINGS ON THE INFECTIOUS PROCESS OF BALB/C MICE INOCULATED WITH Lacazia loboi.营养状况和组织病理学结果对接种罗博隐球菌的BALB/C小鼠感染过程的相关性
Rev Inst Med Trop Sao Paulo. 2015 Sep-Oct;57(5):421-6. doi: 10.1590/S0036-46652015000500009.
5
Malnutrition and vaccination in developing countries.发展中国家的营养不良与疫苗接种
Philos Trans R Soc Lond B Biol Sci. 2015 Jun 19;370(1671). doi: 10.1098/rstb.2014.0141.
BCG 疫苗接种与麻风病防护:当前证据回顾及 BCG 在麻风病控制中的地位。
Expert Rev Vaccines. 2010 Feb;9(2):209-22. doi: 10.1586/erv.09.161.
4
Dissemination of mycobacteria to the thymus renders newly generated T cells tolerant to the invading pathogen.分枝杆菌向胸腺的传播使新生成的 T 细胞对入侵病原体产生耐受。
J Immunol. 2010 Jan 1;184(1):351-8. doi: 10.4049/jimmunol.0902152. Epub 2009 Nov 30.
5
Protein energy malnutrition.蛋白质能量营养不良
Pediatr Clin North Am. 2009 Oct;56(5):1055-68. doi: 10.1016/j.pcl.2009.07.001.
6
Immunization protected well nourished mice but not undernourished ones from lung injury in Methicillin-resistant Staphylococcus aureus (MRSA) infection.免疫可有效保护营养良好的小鼠免受耐甲氧西林金黄色葡萄球菌(MRSA)感染导致的肺部损伤,但对营养状况不佳的小鼠无效。
BMC Microbiol. 2009 Nov 23;9:240. doi: 10.1186/1471-2180-9-240.
7
Dietary restriction abrogates antibody production induced by a DNA vaccine encoding the mycobacterial 65 kDa heat shock protein.饮食限制可消除由编码分枝杆菌65 kDa热休克蛋白的DNA疫苗诱导产生的抗体。
Genet Vaccines Ther. 2009 Jul 16;7:11. doi: 10.1186/1479-0556-7-11.
8
Disseminated bacille Calmette-Guérin in Iranian children with severe combined immunodeficiency.伊朗严重联合免疫缺陷儿童中的卡介苗播散。
Int J Infect Dis. 2009 Nov;13(6):e420-3. doi: 10.1016/j.ijid.2009.02.008. Epub 2009 Apr 28.
9
Therapeutic benefits of regulating inflammation in autoimmunity.调节自身免疫中炎症的治疗益处。
Inflamm Allergy Drug Targets. 2008 Sep;7(3):203-10. doi: 10.2174/187152808785748155.
10
The thymus as a target for mycobacterial infections.作为分枝杆菌感染靶器官的胸腺
Microbes Infect. 2007 Nov-Dec;9(14-15):1521-9. doi: 10.1016/j.micinf.2007.08.006. Epub 2007 Aug 31.