Suppr超能文献

基于纳米多孔阳极氧化铝的可调谐法布里-珀罗干涉仪用于光学生物传感。

Tunable Fabry-Pérot interferometer based on nanoporous anodic alumina for optical biosensing purposes.

作者信息

Santos Abel, Balderrama Victor S, Alba María, Formentín Pilar, Ferré-Borrull Josep, Pallarès Josep, Marsal Lluís F

机构信息

Departament d'Enginyeria Electrònica, Elèctrica i Automàtica, Universitat Rovira i Virgili, Avda, Països Catalans 26, Tarragona, 43007, Spain.

出版信息

Nanoscale Res Lett. 2012 Jul 3;7(1):370. doi: 10.1186/1556-276X-7-370.

Abstract

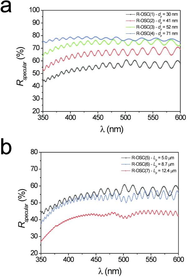
Here, we present a systematic study about the effect of the pore length and its diameter on the specular reflection in nanoporous anodic alumina. As we demonstrate, the specular reflection can be controlled at will by structural tuning (i.e., by designing the pore geometry). This makes it possible to produce a wide range of Fabry-Pérot interferometers based on nanoporous anodic alumina, which are envisaged for developing smart and accurate optical sensors in such research fields as biotechnology and medicine. Additionally, to systematize the responsiveness to external changes in optical sensors based on nanoporous anodic alumina, we put forward a barcode system based on the oscillations in the specular reflection.

摘要

在此,我们展示了一项关于纳米多孔阳极氧化铝中孔长度及其直径对镜面反射影响的系统研究。正如我们所证明的,镜面反射可以通过结构调整(即通过设计孔的几何形状)随意控制。这使得基于纳米多孔阳极氧化铝制造各种法布里 - 珀罗干涉仪成为可能,这些干涉仪有望用于生物技术和医学等研究领域中开发智能且精确的光学传感器。此外,为了使基于纳米多孔阳极氧化铝的光学传感器对外部变化的响应系统化,我们提出了一种基于镜面反射振荡的条形码系统。

https://cdn.ncbi.nlm.nih.gov/pmc/blobs/b4f9/3413587/2a24fd5b35ea/1556-276X-7-370-1.jpg

文献检索

告别复杂PubMed语法,用中文像聊天一样搜索,搜遍4000万医学文献。AI智能推荐,让科研检索更轻松。

立即免费搜索

文件翻译

保留排版,准确专业,支持PDF/Word/PPT等文件格式,支持 12+语言互译。

免费翻译文档

深度研究

AI帮你快速写综述,25分钟生成高质量综述,智能提取关键信息,辅助科研写作。

立即免费体验