Suppr超能文献

比较以16种方式衡量的正常体重和超重老年人的健康生活年限。

Comparing years of healthy life, measured in 16 ways, for normal weight and overweight older adults.

作者信息

Diehr Paula, Thielke Stephen, O'Meara Ellen, Fitzpatrick Annette L, Newman Anne

机构信息

Department of Biostatistics, University of Washington, Seattle, WA 98195, USA.

出版信息

J Obes. 2012;2012:894894. doi: 10.1155/2012/894894. Epub 2012 Jun 20.

Abstract

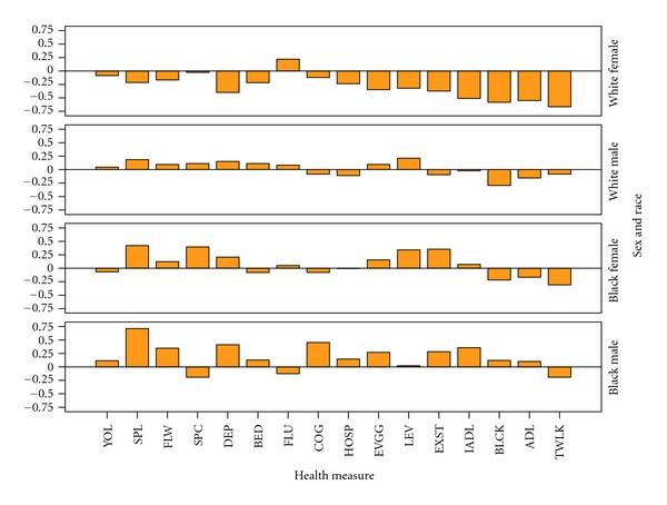
Introduction. The traditional definitions of overweight and obesity are not age specific, even though the relationship of weight to mortality is different for older adults. Effects of adiposity on aspects of health beside mortality have not been well investigated. Methods. We calculated the number of years of healthy life (YHL) in the 10 years after baseline, for 5,747 older adults. YHL was defined in 16 different ways. We compared Normal and Overweight persons, classified either by body mass index (BMI) or by waist circumference (WC). Findings. YHL for Normal and Overweight persons differed significantly in 25% of the comparisons, of which half favored the Overweight. Measures of physical health favored Normal weight, while measures of mental health and quality of life favored Overweight. Overweight was less favorable when defined by WC than by BMI. Obese persons usually had worse outcomes. Discussion. Overweight older adults averaged as many years of life and years of healthy life as those of Normal weight. There may be no outcome based reason to distinguish Normal from Overweight for older adults. Conclusion. The "Overweight paradox" appears to hold for nonmortality outcomes. New adiposity standards are needed for older adults, possibly different by race and sex.

摘要

引言。超重和肥胖的传统定义并非针对特定年龄,尽管体重与死亡率的关系在老年人中有所不同。肥胖对死亡率以外的健康方面的影响尚未得到充分研究。方法。我们计算了5747名老年人在基线后10年的健康生命年数(YHL)。YHL以16种不同方式定义。我们比较了按体重指数(BMI)或腰围(WC)分类的正常人和超重者。结果。在25%的比较中,正常人和超重者的YHL有显著差异,其中一半结果有利于超重者。身体健康指标有利于正常体重者,而心理健康和生活质量指标有利于超重者。按WC定义的超重情况不如按BMI定义的有利。肥胖者通常有更差的结果。讨论。超重老年人的平均寿命和健康生命年数与正常体重者相当。对于老年人,可能没有基于结果的理由区分正常体重和超重。结论。“超重悖论”似乎适用于非死亡率结果。老年人需要新的肥胖标准,可能因种族和性别而异。

https://cdn.ncbi.nlm.nih.gov/pmc/blobs/9a61/3388309/7e488e040af9/JOBES2012-894894.001.jpg

文献检索

告别复杂PubMed语法,用中文像聊天一样搜索,搜遍4000万医学文献。AI智能推荐,让科研检索更轻松。

立即免费搜索

文件翻译

保留排版,准确专业,支持PDF/Word/PPT等文件格式,支持 12+语言互译。

免费翻译文档

深度研究

AI帮你快速写综述,25分钟生成高质量综述,智能提取关键信息,辅助科研写作。

立即免费体验