• 文献检索
  • 文档翻译
  • 深度研究
  • 学术资讯
  • Suppr Zotero 插件Zotero 插件
  • 邀请有礼
  • 套餐&价格
  • 历史记录
应用&插件
Suppr Zotero 插件Zotero 插件浏览器插件Mac 客户端Windows 客户端微信小程序
定价
高级版会员购买积分包购买API积分包
服务
文献检索文档翻译深度研究API 文档MCP 服务
关于我们
关于 Suppr公司介绍联系我们用户协议隐私条款
关注我们

Suppr 超能文献

核心技术专利:CN118964589B侵权必究
粤ICP备2023148730 号-1Suppr @ 2026

文献检索

告别复杂PubMed语法,用中文像聊天一样搜索,搜遍4000万医学文献。AI智能推荐,让科研检索更轻松。

立即免费搜索

文件翻译

保留排版,准确专业,支持PDF/Word/PPT等文件格式,支持 12+语言互译。

免费翻译文档

深度研究

AI帮你快速写综述,25分钟生成高质量综述,智能提取关键信息,辅助科研写作。

立即免费体验

中风后重返有偿工作:Psychosocial Outcomes In StrokE(POISE)队列研究。

Returning to paid employment after stroke: the Psychosocial Outcomes In StrokE (POISE) cohort study.

机构信息

Neurological and Mental Health Division, The George Institute for Global Health, The University of Sydney, Sydney, New South Wales, Australia.

出版信息

PLoS One. 2012;7(7):e41795. doi: 10.1371/journal.pone.0041795. Epub 2012 Jul 25.

DOI:10.1371/journal.pone.0041795
PMID:22848610
原文链接:https://pmc.ncbi.nlm.nih.gov/articles/PMC3405015/
Abstract

OBJECTIVES

To determine which early modifiable factors are associated with younger stroke survivors' ability to return to paid work in a cohort study with 12-months of follow-up conducted in 20 stroke units in the Stroke Services NSW clinical network.

PARTICIPANTS

Were aged >17 and <65 years, recent (within 28 days) stroke, able to speak English sufficiently to respond to study questions, and able to provide written informed consent. Participants with language or cognitive impairment were eligible to participate if their proxy provided consent and completed assessments on the participants' behalf. The main outcome measure was return to paid work during the 12 months following stroke.

RESULTS

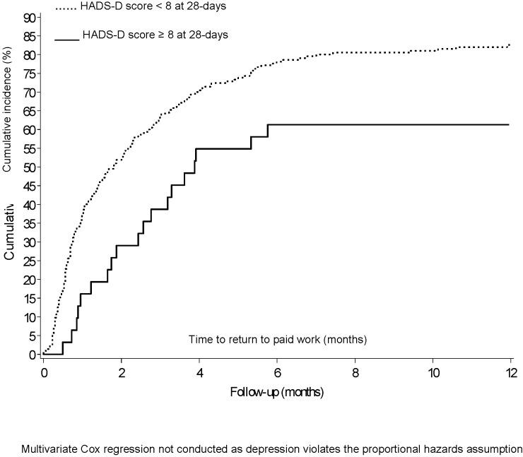
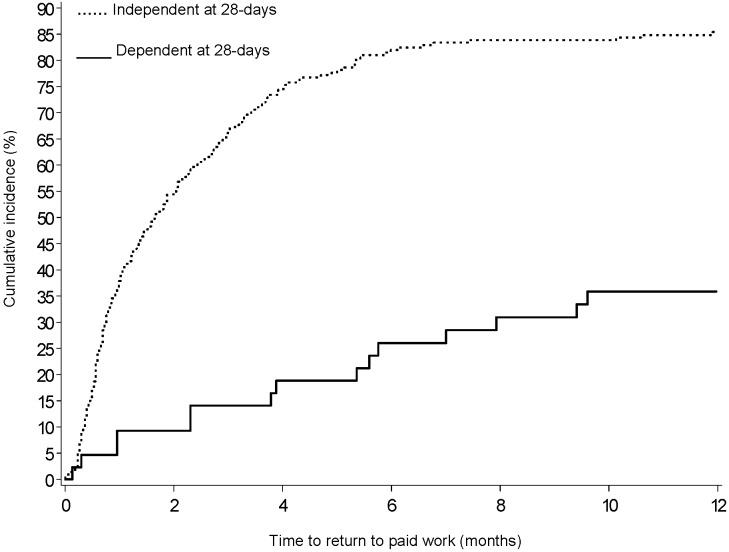
Of 441 consented participants (average age 52 years, 68% male, 83% with ischemic stroke), 218 were in paid full-time and 53 in paid part-time work immediately before their stroke, of whom 202 (75%) returned to paid part- or full-time work within 12 months. Being male, female without a prior activity restricting illness, younger, independent in activities of daily living (ADL) at 28 days after stroke, and having private health insurance was associated with return to paid work, following adjustment for other illnesses and a history of depression before stroke (C statistic 0·81). Work stress and post stroke depression showed no such independent association.

CONCLUSIONS

Given that independence in ADL is the strongest predictor of return to paid work within 12 months of stroke, these data reinforce the importance of reducing stroke-related disability and increasing independence for younger stroke survivors.

TRIAL REGISTRATION

Australian New Zealand Clinical Trials Registry ANZCTRN 12608000459325.

摘要

目的

在新南威尔士州卒中服务临床网络的 20 个卒中单元中开展了一项队列研究,对其中 12 个月的随访结果进行分析,以确定哪些早期可改变因素与年轻卒中幸存者在卒中后能够重返有偿工作相关。

参与者

年龄>17 岁且<65 岁,近期(<28 天)卒中,能够用足够的英语回答研究问题,并且能够提供书面知情同意。如果有语言或认知障碍的参与者的代理人同意并代表其完成评估,则符合参与条件。主要结局指标为卒中后 12 个月内重返有偿工作。

结果

在 441 名同意参与的患者中(平均年龄 52 岁,68%为男性,83%为缺血性卒中),卒中前有 218 人从事全职有偿工作,53 人从事兼职有偿工作,其中 202 人(75%)在 12 个月内重返兼职或全职有偿工作。在调整了其他疾病和卒中前的抑郁病史后,男性、女性且无既往活动受限疾病、年龄较小、卒中后 28 天日常生活活动自理能力独立,以及拥有私人医疗保险与重返有偿工作相关(C 统计量 0.81)。工作压力和卒中后抑郁与重返有偿工作无独立相关性。

结论

鉴于日常生活活动自理能力是卒中后 12 个月内重返有偿工作的最强预测因素,这些数据强化了减少卒中相关残疾和提高年轻卒中幸存者独立性的重要性。

试验注册

澳大利亚新西兰临床试验注册中心 ANZCTRN 12608000459325。

https://cdn.ncbi.nlm.nih.gov/pmc/blobs/bd7c/3405015/79dd19d56b88/pone.0041795.g003.jpg
https://cdn.ncbi.nlm.nih.gov/pmc/blobs/bd7c/3405015/18f79c57012a/pone.0041795.g001.jpg
https://cdn.ncbi.nlm.nih.gov/pmc/blobs/bd7c/3405015/d7cf3a403e41/pone.0041795.g002.jpg
https://cdn.ncbi.nlm.nih.gov/pmc/blobs/bd7c/3405015/79dd19d56b88/pone.0041795.g003.jpg
https://cdn.ncbi.nlm.nih.gov/pmc/blobs/bd7c/3405015/18f79c57012a/pone.0041795.g001.jpg
https://cdn.ncbi.nlm.nih.gov/pmc/blobs/bd7c/3405015/d7cf3a403e41/pone.0041795.g002.jpg
https://cdn.ncbi.nlm.nih.gov/pmc/blobs/bd7c/3405015/79dd19d56b88/pone.0041795.g003.jpg

相似文献

1
Returning to paid employment after stroke: the Psychosocial Outcomes In StrokE (POISE) cohort study.中风后重返有偿工作:Psychosocial Outcomes In StrokE(POISE)队列研究。
PLoS One. 2012;7(7):e41795. doi: 10.1371/journal.pone.0041795. Epub 2012 Jul 25.
2
Driving in stroke survivors aged 18-65 years: The Psychosocial Outcomes In StrokE (POISE) Cohort Study.18-65 岁卒中幸存者的驾驶能力:卒中后心理社会结局(POISE)队列研究。
Int J Stroke. 2016 Oct;11(7):799-806. doi: 10.1177/1747493016641952. Epub 2016 Mar 25.
3
The influence of psychiatric morbidity on return to paid work after stroke in younger adults: the Auckland Regional Community Stroke (ARCOS) Study, 2002 to 2003.精神疾病对年轻成年人中风后恢复有偿工作的影响:2002年至2003年奥克兰地区社区中风(ARCOS)研究
Stroke. 2008 May;39(5):1526-32. doi: 10.1161/STROKEAHA.107.503219. Epub 2008 Mar 27.
4
Factors associated with paid employment 12 months after stroke in A Very Early Rehabilitation Trial (AVERT).一项极早期康复试验(AVERT)中与中风后12个月有偿就业相关的因素。
Ann Phys Rehabil Med. 2022 May;65(3):101565. doi: 10.1016/j.rehab.2021.101565. Epub 2021 Nov 17.
5
Predictors of return to work after stroke: a prospective, observational cohort study with 6 months follow-up.卒中后重返工作岗位的预测因素:一项前瞻性、观察性队列研究,随访 6 个月。
Disabil Rehabil. 2021 Feb;43(4):525-529. doi: 10.1080/09638288.2019.1631396. Epub 2019 Jun 26.
6
Psychosocial Outcomes in StrokE: the POISE observational stroke study protocol.卒中的心理社会结局:POISE 观察性卒中研究方案
BMC Neurol. 2009 Jun 12;9:24. doi: 10.1186/1471-2377-9-24.
7
Working after a stroke: survivors' experiences and perceptions of barriers to and facilitators of the return to paid employment.中风后工作:幸存者对重返有偿工作的障碍和促进因素的经历与看法。
Disabil Rehabil. 2007 Dec 30;29(24):1858-69. doi: 10.1080/09638280601143356. Epub 2007 Feb 22.
8
Increased work and social engagement is associated with increased stroke specific quality of life in stroke survivors at 3 months and 12 months post-stroke: a longitudinal study of an Australian stroke cohort.工作和社交参与度的提高与中风幸存者在中风后3个月和12个月时特定于中风的生活质量提高相关:一项对澳大利亚中风队列的纵向研究。
Top Stroke Rehabil. 2017 Sep;24(6):405-414. doi: 10.1080/10749357.2017.1318339. Epub 2017 Apr 24.
9
Are rehabilitation services following stroke accessed equitably in Australia?: findings from the psychosocial outcomes in stroke (POISE) cohort study.澳大利亚中风后的康复服务获取是否公平?:中风心理社会结局(POISE)队列研究的结果
BMC Public Health. 2013 Sep 24;13:884. doi: 10.1186/1471-2458-13-884.
10
Return to Paid Work after Ischemic Stroke in Patients Treated with Intravenous Thrombolysis.静脉溶栓治疗的缺血性脑卒中患者重返工作岗位。
Neuroepidemiology. 2016;46(2):114-7. doi: 10.1159/000443388. Epub 2016 Jan 20.

引用本文的文献

1
Anxiety and depression one year after the first stroke among Lebanese survivors: proportions, changes, and predictors.黎巴嫩中风幸存者首次中风一年后的焦虑和抑郁:比例、变化及预测因素
BMC Psychiatry. 2025 May 31;25(1):558. doi: 10.1186/s12888-025-06997-9.
2
A higher burden of post-stroke depression and anxiety and their predictors among stroke survivors in the Amhara Regional State, Ethiopia, in 2024: a prospective multicenter study.2024年埃塞俄比亚阿姆哈拉州中风幸存者中中风后抑郁和焦虑的更高负担及其预测因素:一项前瞻性多中心研究。
Front Psychiatry. 2025 Apr 22;16:1545807. doi: 10.3389/fpsyt.2025.1545807. eCollection 2025.
3

本文引用的文献

1
The impact of gender on early ill-health retirement in people with heart disease and depression.性别对心脏病和抑郁症患者早发不健康退休的影响。
Aust N Z J Psychiatry. 2012 Mar;46(3):249-56. doi: 10.1177/0004867411427807. Epub 2012 Jan 5.
2
Economic impacts of illness in older workers: quantifying the impact of illness on income, tax revenue and government spending.老年劳动者疾病的经济影响:定量分析疾病对收入、税收和政府支出的影响。
BMC Public Health. 2011 Jun 1;11:418. doi: 10.1186/1471-2458-11-418.
3
Quantifying the effect of early retirement on the wealth of individuals with depression or other mental illness.
A global effort to benchmark predictive models and reveal mechanistic diversity in long-term stroke outcomes.
一项旨在对预测模型进行基准测试并揭示长期卒中预后机制多样性的全球努力。
Res Sq. 2025 Apr 17:rs.3.rs-6254029. doi: 10.21203/rs.3.rs-6254029/v1.
4
The influence of HIV on return to work in stroke survivors amongst a population of the eThekwini district, Kwazulu Natal: A qualitative study.夸祖鲁-纳塔尔省伊泰夸尼地区人群中,HIV对中风幸存者重返工作的影响:一项定性研究。
Work. 2025 Jul;81(3):2868-2879. doi: 10.1177/10519815251323999. Epub 2025 Apr 17.
5
Experiences of support to return to work after stroke: longitudinal case studies from RETAKE trial.中风后重返工作岗位的支持经历:来自RETAKE试验的纵向案例研究
Health Technol Assess. 2025 Mar 26:1-27. doi: 10.3310/WRKS9661.
6
A global effort to benchmark predictive models and reveal mechanistic diversity in long-term stroke outcomes.一项旨在对预测模型进行基准测试并揭示长期卒中预后机制多样性的全球努力。
bioRxiv. 2025 Feb 17:2024.10.17.618691. doi: 10.1101/2024.10.17.618691.
7
Impact of depression on stroke outcomes among stroke survivors: Systematic review and meta-analysis.抑郁症对脑卒中幸存者卒中结局的影响:系统评价和荟萃分析。
PLoS One. 2023 Dec 1;18(12):e0294668. doi: 10.1371/journal.pone.0294668. eCollection 2023.
8
Addressing mood and fatigue in return-to-work programmes after stroke: a systematic review.中风后重返工作项目中应对情绪和疲劳问题:一项系统综述
Front Neurol. 2023 Aug 22;14:1145705. doi: 10.3389/fneur.2023.1145705. eCollection 2023.
9
Factors Determining Not Returning to Full-Time Work 12 Months After Mild Ischemic Stroke.轻度缺血性卒中后12个月未恢复全职工作的决定因素。
Arch Rehabil Res Clin Transl. 2022 Nov 12;5(1):100245. doi: 10.1016/j.arrct.2022.100245. eCollection 2023 Mar.
10
The reasons for not returning to work and health-related quality of life among young and middle-aged patients with stroke: A cross-sectional study.中青年中风患者未恢复工作的原因及与健康相关的生活质量:一项横断面研究。
Front Neurol. 2023 Feb 23;14:1078251. doi: 10.3389/fneur.2023.1078251. eCollection 2023.
量化提前退休对患有抑郁症或其他精神疾病的个人财富的影响。
Br J Psychiatry. 2011 Feb;198(2):123-8. doi: 10.1192/bjp.bp.110.081679.
4
Depression as a predictor of work resumption following myocardial infarction (MI): a review of recent research evidence.抑郁作为心肌梗死后恢复工作的预测因素:对近期研究证据的回顾。
Health Qual Life Outcomes. 2010 Sep 6;8:95. doi: 10.1186/1477-7525-8-95.
5
Precarious employment, working hours, work-life conflict and health in hotel work.酒店工作中的脆弱就业、工作时间、工作与生活冲突和健康。
Appl Ergon. 2011 Jan;42(2):225-32. doi: 10.1016/j.apergo.2010.06.013. Epub 2010 Aug 2.
6
Determinants of early return to work after first stroke in Japan.日本首次脑卒中后早期复工的决定因素。
J Rehabil Med. 2010 Mar;42(3):254-8. doi: 10.2340/16501977-0503.
7
Psychosocial Outcomes in StrokE: the POISE observational stroke study protocol.卒中的心理社会结局:POISE 观察性卒中研究方案
BMC Neurol. 2009 Jun 12;9:24. doi: 10.1186/1471-2377-9-24.
8
What are the social consequences of stroke for working-aged adults? A systematic review.中风对工作年龄成年人的社会影响有哪些?一项系统综述。
Stroke. 2009 Jun;40(6):e431-40. doi: 10.1161/STROKEAHA.108.534487. Epub 2009 Apr 23.
9
Sociodemographic differences in return to work after stroke: the South London Stroke Register (SLSR).中风后重返工作的社会人口学差异:南伦敦中风登记册(SLSR)
J Neurol Neurosurg Psychiatry. 2009 Aug;80(8):888-93. doi: 10.1136/jnnp.2008.163295. Epub 2009 Mar 9.
10
Worldwide stroke incidence and early case fatality reported in 56 population-based studies: a systematic review.56项基于人群的研究报告的全球中风发病率和早期病死率:一项系统评价。
Lancet Neurol. 2009 Apr;8(4):355-69. doi: 10.1016/S1474-4422(09)70025-0. Epub 2009 Feb 21.