Suppr超能文献

绵羊中保护性内源性逆转录病毒的拷贝数变异和差异表达。

Copy number variation and differential expression of a protective endogenous retrovirus in sheep.

机构信息

UMR754 Rétrovirus et Pathologie Comparée INRA, Université Lyon 1, Université de Lyon, Lyon, France.

出版信息

PLoS One. 2012;7(7):e41965. doi: 10.1371/journal.pone.0041965. Epub 2012 Jul 24.

Abstract

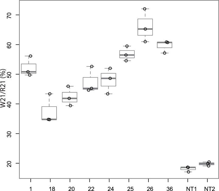
The Jaagsiekte sheep retrovirus exJSRV and its endogenous counterpart enJSRV co-exist in sheep. exJSRV, a betaretrovirus, is the etiological agent of ovine pulmonary adenocarcinoma, and it has been demonstrated in vitro that an enJSRV Gag variant bearing the R-to-W amino acid change at position 21 was able to block exJSRV budding from the cells, providing a potential protective role for the host. In this work, we developed a fast mutation detection assay based on the oligo ligation assay (OLA) that permits the quantification of the relative proportions of the R21 and W21 Gag variants present in individual genomes and in cDNA obtained from normal and exJSRV-induced lung tumors. We have shown that the W21/R21 ratio is variable within and between breeds. We also describe for the first time that putative protecting enJSRV variants were expressed in alveolar type II cells (AECII), the major target of exJSRV.

摘要

绵羊肺腺瘤病毒外源性 Jaagsiekte 绵羊逆转录病毒(exJSRV)及其内源性对应物 enJSRV 在绵羊中共同存在。exJSRV 是一种 betaretrovirus,是绵羊肺腺瘤的病原体,体外研究表明,在位置 21 具有 R 到 W 氨基酸变化的 enJSRV Gag 变体能够阻止 exJSRV 从细胞中出芽,为宿主提供了潜在的保护作用。在这项工作中,我们开发了一种基于寡核苷酸连接检测(OLA)的快速突变检测检测方法,该方法可以定量个体基因组中存在的 R21 和 W21 Gag 变体的相对比例,以及从正常和 exJSRV 诱导的肺肿瘤中获得的 cDNA。我们已经表明,W21/R21 比值在品种内和品种间是可变的。我们还首次描述了假定的保护性 enJSRV 变体在肺泡 II 型细胞(AECII)中表达,AECII 是 exJSRV 的主要靶标。

https://cdn.ncbi.nlm.nih.gov/pmc/blobs/f3bd/3404005/292d70a19c0d/pone.0041965.g001.jpg

文献AI研究员

20分钟写一篇综述,助力文献阅读效率提升50倍。

立即体验

用中文搜PubMed

大模型驱动的PubMed中文搜索引擎

马上搜索

文档翻译

学术文献翻译模型,支持多种主流文档格式。

立即体验