Section of Population Genetics and Ecology, Institute of Marine Research, Bergen, Norway.
PLoS One. 2012;7(8):e43129. doi: 10.1371/journal.pone.0043129. Epub 2012 Aug 15.
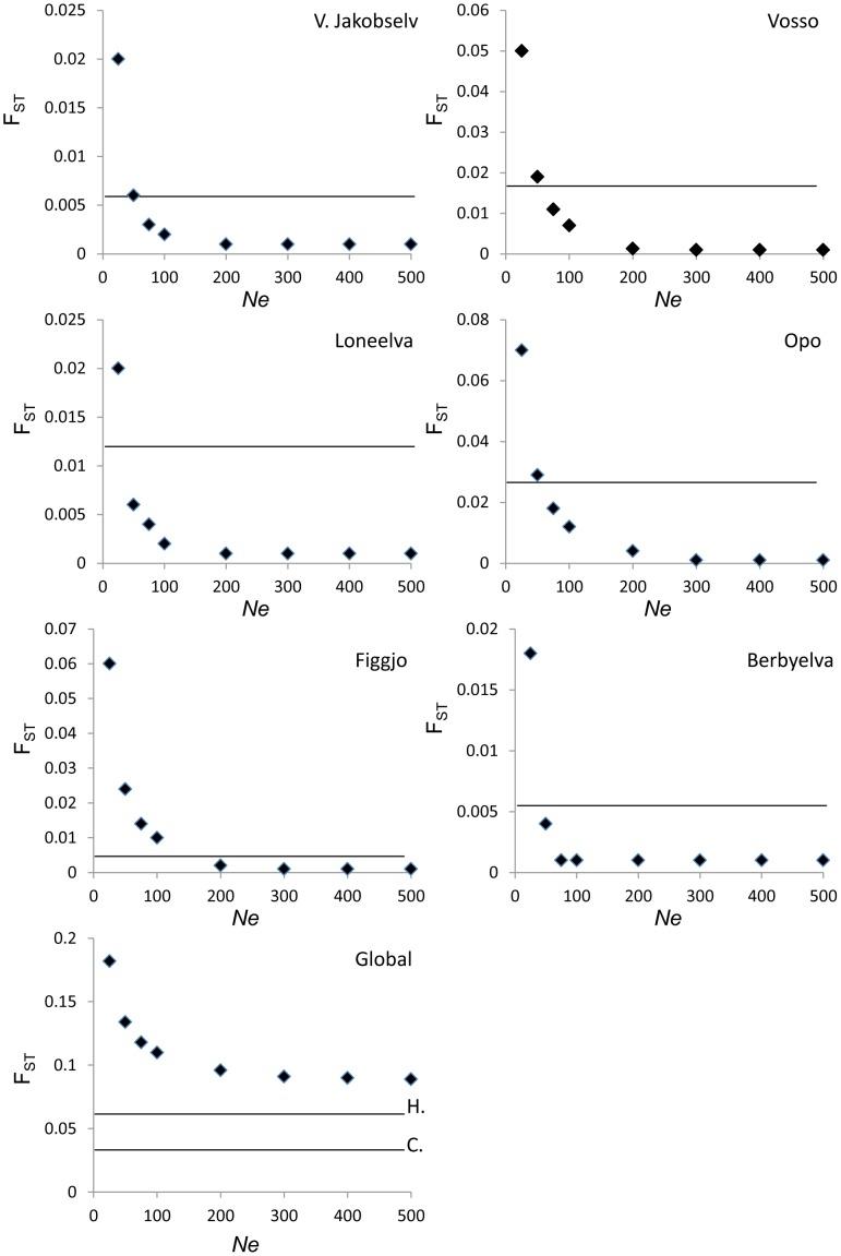
Each year, hundreds of thousands of domesticated farmed Atlantic salmon escape into the wild. In Norway, which is the world's largest commercial producer, many native Atlantic salmon populations have experienced large numbers of escapees on the spawning grounds for the past 15-30 years. In order to study the potential genetic impact, we conducted a spatio-temporal analysis of 3049 fish from 21 populations throughout Norway, sampled in the period 1970-2010. Based upon the analysis of 22 microsatellites, individual admixture, F(ST) and increased allelic richness revealed temporal genetic changes in six of the populations. These changes were highly significant in four of them. For example, 76% and 100% of the fish comprising the contemporary samples for the rivers Vosso and Opo were excluded from their respective historical samples at P=0.001. Based upon several genetic parameters, including simulations, genetic drift was excluded as the primary cause of the observed genetic changes. In the remaining 15 populations, some of which had also been exposed to high numbers of escapees, clear genetic changes were not detected. Significant population genetic structuring was observed among the 21 populations in the historical (global F(ST) =0.038) and contemporary data sets (global F(ST) =0.030), although significantly reduced with time (P=0.008). This reduction was especially distinct when looking at the six populations displaying temporal changes (global F(ST) dropped from 0.058 to 0.039, P=0.006). We draw two main conclusions: 1. The majority of the historical population genetic structure throughout Norway still appears to be retained, suggesting a low to modest overall success of farmed escapees in the wild; 2. Genetic introgression of farmed escapees in native salmon populations has been strongly population-dependent, and it appears to be linked with the density of the native population.
每年都有成千上万的人工养殖大西洋三文鱼逃入野外。在世界上最大的商业养殖国挪威,在过去 15-30 年里,许多本地大西洋三文鱼种群在产卵场都有大量逃逸的三文鱼。为了研究潜在的遗传影响,我们对 1970 年至 2010 年期间在挪威 21 个种群中采集的 3049 条鱼进行了时空分析。基于对 22 个微卫星的分析,个体混合、F(ST)和增加的等位基因丰富度揭示了 6 个种群的时间遗传变化。其中 4 个种群的变化具有高度显著性。例如,在河流 Vosso 和 Opo 的当代样本中,有 76%和 100%的鱼被排除在各自的历史样本之外,置信水平为 P=0.001。基于包括模拟在内的几个遗传参数,排除了遗传漂变是观察到的遗传变化的主要原因。在其余的 15 个种群中,虽然也有大量逃逸的三文鱼,但没有发现明显的遗传变化。在历史数据集中(全球 F(ST)为 0.038)和当代数据集中(全球 F(ST)为 0.030),21 个种群之间观察到显著的种群遗传结构,尽管随着时间的推移而显著减少(P=0.008)。当观察显示时间变化的六个种群时,这种减少尤其明显(全球 F(ST)从 0.058 降至 0.039,P=0.006)。我们得出两个主要结论:1. 挪威历史上大部分的种群遗传结构似乎仍然保留,表明养殖逃逸三文鱼在野外的整体成功程度较低或适中;2. 养殖逃逸三文鱼对本地三文鱼种群的遗传渗透具有强烈的种群依赖性,并且似乎与本地种群的密度有关。