• 文献检索
  • 文档翻译
  • 深度研究
  • 学术资讯
  • Suppr Zotero 插件Zotero 插件
  • 邀请有礼
  • 套餐&价格
  • 历史记录
应用&插件
Suppr Zotero 插件Zotero 插件浏览器插件Mac 客户端Windows 客户端微信小程序
定价
高级版会员购买积分包购买API积分包
服务
文献检索文档翻译深度研究API 文档MCP 服务
关于我们
关于 Suppr公司介绍联系我们用户协议隐私条款
关注我们

Suppr 超能文献

核心技术专利:CN118964589B侵权必究
粤ICP备2023148730 号-1Suppr @ 2026

文献检索

告别复杂PubMed语法,用中文像聊天一样搜索,搜遍4000万医学文献。AI智能推荐,让科研检索更轻松。

立即免费搜索

文件翻译

保留排版,准确专业,支持PDF/Word/PPT等文件格式,支持 12+语言互译。

免费翻译文档

深度研究

AI帮你快速写综述,25分钟生成高质量综述,智能提取关键信息,辅助科研写作。

立即免费体验

台湾南部结核分枝杆菌现代和古代基因型的克隆扩张。

Clonal expansion of both modern and ancient genotypes of Mycobacterium tuberculosis in southern Taiwan.

机构信息

National Institute of Infectious Diseases and Vaccinology, National Health Research Institutes, Zhunan, Miaoli, Taiwan.

出版信息

PLoS One. 2012;7(8):e43018. doi: 10.1371/journal.pone.0043018. Epub 2012 Aug 24.

DOI:10.1371/journal.pone.0043018
PMID:22937008
原文链接:https://pmc.ncbi.nlm.nih.gov/articles/PMC3427295/
Abstract

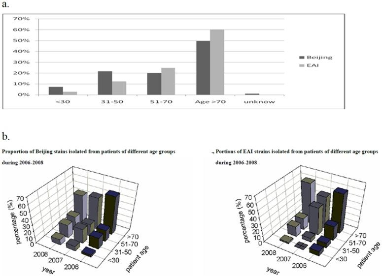
We present the first comprehensive analysis of Mycobacterium tuberculosis isolates circulating in the Kaohsiung region of southern Taiwan. The major spoligotypes found in the 224 isolates studied were Beijing lineages (n = 97; 43.3%), EAI lineages (n = 72; 32.1%) and Haarlem lineages (n = 18; 8.0%). By 24 MIRU-VNTR typing, 174 patterns were identified, including 24 clusters of 74 isolates and 150 unique patterns. The combination of spoligotyping and 12-MIRU-VNTR revealed that 129 (57.6%) of the 224 isolates were clustered in 18 genotypes. Moreover, 63.6% (7/11) of infected persons younger than 30 years had a Beijing strain, which could suggest recent spread among younger persons by this family of TB strains in Kaohsiung. Among the 94 Beijing family (SIT1, SIT250 and SIT1674) isolates further analyzed for SNPs by mass spectrometry, the most frequent strain found was ST10 (n = 49; 52%), followed by ST22 (n = 17; 18%) and ST19 (n = 11; 12%). Among the EAI-Manila family isolates analyzed by region deletion-based subtyping, the most frequent strain found was RD type 1 (n = 63; 87.5%), followed by RD type 2 (n = 9; 12.5%). In our previous study, the proportion of modern Beijing strains (52.5%) in northern Taiwan was significantly higher than the proportion of EAI strains (11%). In contrast, in the present study, EAI strains comprised up to 32% of Beijing strains in southern Taiwan. In conclusion, both 'modern' (Beijing) and 'ancient' (EAI) M. tuberculosis strains are prevalent in the Kaohsiung region, perhaps suggesting that both strains are somehow more adapted to southern Taiwan. It will be interesting to investigate the dynamics of the lineage composition by different selection pressures.

摘要

我们呈现了首次对台湾南部高雄地区循环的结核分枝杆菌分离株的全面分析。在研究的 224 株分离株中发现的主要 spoligotype 是北京谱系(n = 97;43.3%)、EAI 谱系(n = 72;32.1%)和 Haarlem 谱系(n = 18;8.0%)。通过 24 个 MIRU-VNTR 分型,鉴定出 174 种模式,包括 74 株的 24 个簇和 150 个独特模式。 spoligotyping 和 12-MIRU-VNTR 的组合表明,224 株分离株中的 129 株(57.6%)聚类在 18 种基因型中。此外,63.6%(7/11)的 30 岁以下感染者感染了北京株,这可能表明在高雄,这种结核菌株家族在年轻人中最近传播。在进一步通过质谱法对 94 株北京家族(SIT1、SIT250 和 SIT1674)分离株的 SNP 进行分析后,发现最常见的菌株是 ST10(n = 49;52%),其次是 ST22(n = 17;18%)和 ST19(n = 11;12%)。在对基于区域缺失的亚型分析的 EAI-Manila 家族分离株中,发现最常见的菌株是 RD 型 1(n = 63;87.5%),其次是 RD 型 2(n = 9;12.5%)。在我们之前的研究中,台湾北部现代北京株(52.5%)的比例明显高于 EAI 株(11%)。相比之下,在本研究中,EAI 株在台湾南部占北京株的 32%。总之,现代(北京)和古代(EAI)结核分枝杆菌菌株在高雄地区都很流行,这表明这两种菌株在某种程度上更适应台湾南部。有趣的是,通过不同的选择压力来研究谱系组成的动态变化。

https://cdn.ncbi.nlm.nih.gov/pmc/blobs/2e83/3427295/b629a38a3fdc/pone.0043018.g001.jpg
https://cdn.ncbi.nlm.nih.gov/pmc/blobs/2e83/3427295/b629a38a3fdc/pone.0043018.g001.jpg
https://cdn.ncbi.nlm.nih.gov/pmc/blobs/2e83/3427295/b629a38a3fdc/pone.0043018.g001.jpg

相似文献

1
Clonal expansion of both modern and ancient genotypes of Mycobacterium tuberculosis in southern Taiwan.台湾南部结核分枝杆菌现代和古代基因型的克隆扩张。
PLoS One. 2012;7(8):e43018. doi: 10.1371/journal.pone.0043018. Epub 2012 Aug 24.
2
Molecular epidemiology and evolutionary genetics of Mycobacterium tuberculosis in Taipei.台北地区结核分枝杆菌的分子流行病学与进化遗传学
BMC Infect Dis. 2008 Dec 22;8:170. doi: 10.1186/1471-2334-8-170.
3
Genetic Diversity of Mycobacterium tuberculosis Isolates from Assam, India: Dominance of Beijing Family and Discovery of Two New Clades Related to CAS1_Delhi and EAI Family Based on Spoligotyping and MIRU-VNTR Typing.印度阿萨姆邦结核分枝杆菌分离株的遗传多样性:基于间隔寡核苷酸分型(Spoligotyping)和多位点可变数目串联重复序列分型(MIRU-VNTR)分型的北京家族优势及与CAS1_德里和EAI家族相关的两个新分支的发现
PLoS One. 2015 Dec 23;10(12):e0145860. doi: 10.1371/journal.pone.0145860. eCollection 2015.
4
Association of Mycobacterium tuberculosis genotypes and clinical and epidemiological features - a multi-center study in Taiwan.结核分枝杆菌基因型与临床和流行病学特征的相关性——台湾多中心研究。
Infect Genet Evol. 2012 Jan;12(1):28-37. doi: 10.1016/j.meegid.2011.10.001. Epub 2011 Oct 20.
5
Predominance of Mycobacterium tuberculosis EAI and Beijing lineages in Yangon, Myanmar.缅甸仰光结核分枝杆菌EAI和北京家族的优势
J Clin Microbiol. 2009 Feb;47(2):335-44. doi: 10.1128/JCM.01812-08. Epub 2008 Nov 26.
6
Molecular epidemiology of tuberculosis in Kaohsiung City located at southern Taiwan, 2000-2008.2000 - 2008年台湾南部高雄市结核病的分子流行病学
PLoS One. 2015 Jan 28;10(1):e0117061. doi: 10.1371/journal.pone.0117061. eCollection 2015.
7
Genetic diversity of the Mycobacterium tuberculosis Beijing family based on SNP and VNTR typing profiles in Asian countries.基于 SNP 和 VNTR 分型在亚洲国家的结核分枝杆菌北京家族的遗传多样性。
PLoS One. 2012;7(7):e39792. doi: 10.1371/journal.pone.0039792. Epub 2012 Jul 12.
8
[Population structure analysis of Mycobacterium tuberculosis Beijing family in Japan].[日本结核分枝杆菌北京家族的种群结构分析]
Kekkaku. 2009 Dec;84(12):755-9.
9
First insights into the genetic characteristics and drug resistance of Mycobacterium tuberculosis population collected during the first national tuberculosis prevalence survey of Lao PDR (2010-2011).首次深入了解老挝人民民主共和国(2010-2011 年)全国结核病患病率调查期间收集的结核分枝杆菌种群的遗传特征和耐药性。
BMC Infect Dis. 2019 Oct 15;19(1):851. doi: 10.1186/s12879-019-4435-z.
10
Contribution of spoligotyping and MIRU-VNTRs to characterize prevalent Mycobacterium tuberculosis genotypes infecting tuberculosis patients in Morocco.spoligotyping和MIRU-VNTRs在鉴定摩洛哥结核病患者中流行的结核分枝杆菌基因型方面的作用
Infect Genet Evol. 2014 Jan;21:463-71. doi: 10.1016/j.meegid.2013.05.023. Epub 2013 May 31.

引用本文的文献

1
Molecular diversity of Mycobacterium tuberculosis complex in Sikkim, India and prediction of dominant spoligotypes using artificial intelligence.印度锡金邦结核分枝杆菌复合群的分子多样性及利用人工智能预测优势 spoligotypes。
Sci Rep. 2021 Apr 1;11(1):7365. doi: 10.1038/s41598-021-86626-z.
2
Infection of multiple strains among tuberculosis/human immunodeficiency virus co-infected patients: A molecular study in Myanmar.结核病/人类免疫缺陷病毒合并感染患者中多种菌株感染:缅甸的一项分子研究。
Int J Mycobacteriol. 2018 Oct-Dec;7(4):375-379. doi: 10.4103/ijmy.ijmy_108_18.
3
Molecular characterization of bovine tuberculosis strains in two slaughterhouses in Morocco.

本文引用的文献

1
SITVITWEB--a publicly available international multimarker database for studying Mycobacterium tuberculosis genetic diversity and molecular epidemiology.SITVITWEB--一个公开的国际多标记数据库,用于研究结核分枝杆菌遗传多样性和分子流行病学。
Infect Genet Evol. 2012 Jun;12(4):755-66. doi: 10.1016/j.meegid.2012.02.004. Epub 2012 Feb 17.
2
Investigation on Mycobacterium tuberculosis diversity in China and the origin of the Beijing clade.中国结核分枝杆菌多样性研究及北京分支的起源。
PLoS One. 2011;6(12):e29190. doi: 10.1371/journal.pone.0029190. Epub 2011 Dec 29.
3
Association of Mycobacterium tuberculosis genotypes and clinical and epidemiological features - a multi-center study in Taiwan.
摩洛哥两家屠宰场牛结核分枝杆菌菌株的分子特征分析
BMC Vet Res. 2017 Aug 25;13(1):272. doi: 10.1186/s12917-017-1165-6.
4
Combining molecular typing and spatial pattern analysis to identify areas of high tuberculosis transmission in a moderate-incidence county in Taiwan.结合分子分型和空间模式分析,确定台湾一中等发病县的结核病高传播区。
Sci Rep. 2017 Jul 14;7(1):5394. doi: 10.1038/s41598-017-05674-6.
5
Mapping of Mycobacterium tuberculosis Complex Genetic Diversity Profiles in Tanzania and Other African Countries.坦桑尼亚及其他非洲国家结核分枝杆菌复合群遗传多样性图谱
PLoS One. 2016 May 5;11(5):e0154571. doi: 10.1371/journal.pone.0154571. eCollection 2016.
6
Genetic Diversity of Mycobacterium tuberculosis Isolates from Assam, India: Dominance of Beijing Family and Discovery of Two New Clades Related to CAS1_Delhi and EAI Family Based on Spoligotyping and MIRU-VNTR Typing.印度阿萨姆邦结核分枝杆菌分离株的遗传多样性:基于间隔寡核苷酸分型(Spoligotyping)和多位点可变数目串联重复序列分型(MIRU-VNTR)分型的北京家族优势及与CAS1_德里和EAI家族相关的两个新分支的发现
PLoS One. 2015 Dec 23;10(12):e0145860. doi: 10.1371/journal.pone.0145860. eCollection 2015.
7
Draft Genome Sequence of Mycobacterium tuberculosis Clinical Strain W06, a Prevalent Beijing Genotype Isolated in Taiwan.结核分枝杆菌临床菌株W06的基因组序列草图,该菌株是在台湾分离出的一种流行的北京基因型。
Genome Announc. 2015 Dec 10;3(6):e01460-15. doi: 10.1128/genomeA.01460-15.
8
A pulmonary tuberculosis outbreak in a long-term care facility.一家长期护理机构发生肺结核疫情。
Epidemiol Infect. 2016 May;144(7):1455-62. doi: 10.1017/S0950268815002265. Epub 2015 Nov 23.
9
Mycobacterium tuberculosis Genotypes Determined by Spoligotyping to Be Circulating in Colombia between 1999 and 2012 and Their Possible Associations with Transmission and Susceptibility to First-Line Drugs.通过间隔寡核苷酸分型法确定的1999年至2012年间在哥伦比亚传播的结核分枝杆菌基因型及其与传播和一线药物易感性的可能关联。
PLoS One. 2015 Jun 11;10(6):e0124308. doi: 10.1371/journal.pone.0124308. eCollection 2015.
10
Molecular epidemiology of tuberculosis in Kaohsiung City located at southern Taiwan, 2000-2008.2000 - 2008年台湾南部高雄市结核病的分子流行病学
PLoS One. 2015 Jan 28;10(1):e0117061. doi: 10.1371/journal.pone.0117061. eCollection 2015.
结核分枝杆菌基因型与临床和流行病学特征的相关性——台湾多中心研究。
Infect Genet Evol. 2012 Jan;12(1):28-37. doi: 10.1016/j.meegid.2011.10.001. Epub 2011 Oct 20.
4
Rapid deletion-based subtyping system for the Manila family of Mycobacterium tuberculosis.基于快速缺失的结核分枝杆菌 Manila 家族亚型系统。
J Clin Microbiol. 2011 May;49(5):1951-5. doi: 10.1128/JCM.01338-10. Epub 2011 Mar 2.
5
Genotypic analysis of genes associated with transmission and drug resistance in the Beijing lineage of Mycobacterium tuberculosis.结核分枝杆菌北京家族株传播及耐药相关基因的基因型分析。
Clin Microbiol Infect. 2011 Sep;17(9):1391-6. doi: 10.1111/j.1469-0691.2010.03436.x. Epub 2010 Dec 22.
6
Genetic diversity of Mycobacterium tuberculosis isolates from a tertiary care tuberculosis hospital in South Korea.韩国一家三级保健结核病医院分离的结核分枝杆菌的遗传多样性。
J Clin Microbiol. 2010 Feb;48(2):387-94. doi: 10.1128/JCM.02167-09. Epub 2009 Dec 16.
7
Population structure dynamics of Mycobacterium tuberculosis Beijing strains during past decades in Japan.过去几十年日本结核分枝杆菌北京株的种群结构动态。
J Clin Microbiol. 2009 Oct;47(10):3340-3. doi: 10.1128/JCM.01061-09. Epub 2009 Aug 26.
8
Vaccine-induced immunity circumvented by typical Mycobacterium tuberculosis Beijing strains.典型的结核分枝杆菌北京菌株规避疫苗诱导的免疫。
Emerg Infect Dis. 2009 Feb;15(2):335-9. doi: 10.3201/eid1502.080795.
9
Molecular epidemiology and evolutionary genetics of Mycobacterium tuberculosis in Taipei.台北地区结核分枝杆菌的分子流行病学与进化遗传学
BMC Infect Dis. 2008 Dec 22;8:170. doi: 10.1186/1471-2334-8-170.
10
Population structure analysis of the Mycobacterium tuberculosis Beijing family indicates an association between certain sublineages and multidrug resistance.结核分枝杆菌北京家族的群体结构分析表明,某些亚谱系与多重耐药性之间存在关联。
Antimicrob Agents Chemother. 2008 Oct;52(10):3805-9. doi: 10.1128/AAC.00579-08. Epub 2008 Aug 11.