• 文献检索
  • 文档翻译
  • 深度研究
  • 学术资讯
  • Suppr Zotero 插件Zotero 插件
  • 邀请有礼
  • 套餐&价格
  • 历史记录
应用&插件
Suppr Zotero 插件Zotero 插件浏览器插件Mac 客户端Windows 客户端微信小程序
定价
高级版会员购买积分包购买API积分包
服务
文献检索文档翻译深度研究API 文档MCP 服务
关于我们
关于 Suppr公司介绍联系我们用户协议隐私条款
关注我们

Suppr 超能文献

核心技术专利:CN118964589B侵权必究
粤ICP备2023148730 号-1Suppr @ 2026

文献检索

告别复杂PubMed语法,用中文像聊天一样搜索,搜遍4000万医学文献。AI智能推荐,让科研检索更轻松。

立即免费搜索

文件翻译

保留排版,准确专业,支持PDF/Word/PPT等文件格式,支持 12+语言互译。

免费翻译文档

深度研究

AI帮你快速写综述,25分钟生成高质量综述,智能提取关键信息,辅助科研写作。

立即免费体验

遗传因素控制同基因青少年大鼠品系中的尼古丁自我给药。

Genetic factors control nicotine self-administration in isogenic adolescent rat strains.

机构信息

Department of Pharmacology, University of Tennessee Health Science Center, Memphis, Tennessee, United States of America.

出版信息

PLoS One. 2012;7(8):e44234. doi: 10.1371/journal.pone.0044234. Epub 2012 Aug 28.

DOI:10.1371/journal.pone.0044234
PMID:22937166
原文链接:https://pmc.ncbi.nlm.nih.gov/articles/PMC3429443/
Abstract

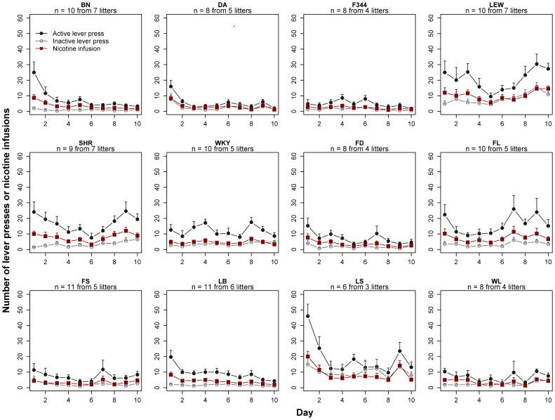
Adult cigarette smokers usually become dependent on cigarettes during adolescence. Despite recent advances in addiction genetics, little data delineates the genetic factors that account for the vulnerability of humans to smoke tobacco. We studied the operant nicotine self-administration (SA) behavior of six inbred strains of adolescent male rats (Fisher 344, Brown Norway, Dark Agouti, Spontaneous Hypertensive Rat, Wistar Kyoto and Lewis) and six selected F1 hybrids. All rats were trained to press a lever to obtain food starting on postnatal day (PN) 32, and then nicotine (0.03 mg/kg/infusion, i.v.) reinforcement was made available on PN41-42 (10 consecutive daily 2 h sessions). Of the 12 isogenic strains, Fisher rats self-administered the fewest nicotine infusions (1.45 ± 0.36/d) during the last 3 d, while Lewis rats took the most nicotine (13.0 ± 1.4/d). These strains sorted into high, intermediate and low self-administration groups in 2, 2, and 8 strains, respectively. The influence of heredity on nicotine SA (0.64) is similar to that reported for humans. Therefore, this panel of isogenic rat strains effectively models the overall impact of genetics on the vulnerability to acquire nicotine-reinforced behavior during adolescence. Separate groups of rats responded for food starting on PN41. The correlation between nicotine and food reward was not significant. Hence, the genetic control of the motivation to obtain nicotine is distinctly different from food reward, indicating the specificity of the underlying genetic mechanisms. Lastly, the behavior of F1 hybrids was not predicted from the additive behavior of the parental strains, indicating the impact of significant gene-gene interactions on the susceptibility to nicotine reward. Taken together, the behavioral characteristics of this model indicate its strong potential to identify specific genes mediating the human vulnerability to smoke cigarettes.

摘要

成年烟民通常在青少年时期就对香烟产生依赖。尽管成瘾遗传学最近取得了进展,但很少有数据能描绘出导致人类易吸烟的遗传因素。我们研究了 6 种近交系雄性青少年大鼠(Fisher 344、Brown Norway、Dark Agouti、Spontaneous Hypertensive Rat、Wistar Kyoto 和 Lewis)和 6 种选定的 F1 杂种的操作性尼古丁自我给药(SA)行为。所有大鼠均在出生后第 32 天(PN)开始接受按压杠杆获取食物的训练,然后在 PN41-42 天(连续 10 天每天 2 小时)给予尼古丁(0.03mg/kg/ 注射,iv)强化。在这 12 种同基因品系中,Fisher 大鼠在最后 3 天内自我给予的尼古丁注射次数最少(1.45±0.36/天),而 Lewis 大鼠给予的尼古丁最多(13.0±1.4/天)。这些品系分别分为高、中、低自我给药组,分别有 2、2 和 8 个品系。遗传对尼古丁 SA(0.64)的影响与人类报告的相似。因此,这组同基因大鼠品系有效地模拟了遗传对青少年时期易获得尼古丁强化行为的整体影响。另一组大鼠从 PN41 开始按压杠杆获取食物。尼古丁和食物奖励之间的相关性不显著。因此,获得尼古丁的动机的遗传控制与食物奖励明显不同,表明潜在遗传机制的特异性。最后,F1 杂种的行为不能从亲本品系的加性行为中预测,表明基因-基因相互作用对尼古丁奖励易感性的影响。总之,该模型的行为特征表明其具有很强的潜力,可以确定介导人类吸烟易感性的特定基因。

https://cdn.ncbi.nlm.nih.gov/pmc/blobs/c9c3/3429443/29100d263578/pone.0044234.g005.jpg
https://cdn.ncbi.nlm.nih.gov/pmc/blobs/c9c3/3429443/0092cf211b04/pone.0044234.g001.jpg
https://cdn.ncbi.nlm.nih.gov/pmc/blobs/c9c3/3429443/7967630c9db1/pone.0044234.g002.jpg
https://cdn.ncbi.nlm.nih.gov/pmc/blobs/c9c3/3429443/a9f86bcb6b74/pone.0044234.g003.jpg
https://cdn.ncbi.nlm.nih.gov/pmc/blobs/c9c3/3429443/029b811489df/pone.0044234.g004.jpg
https://cdn.ncbi.nlm.nih.gov/pmc/blobs/c9c3/3429443/29100d263578/pone.0044234.g005.jpg
https://cdn.ncbi.nlm.nih.gov/pmc/blobs/c9c3/3429443/0092cf211b04/pone.0044234.g001.jpg
https://cdn.ncbi.nlm.nih.gov/pmc/blobs/c9c3/3429443/7967630c9db1/pone.0044234.g002.jpg
https://cdn.ncbi.nlm.nih.gov/pmc/blobs/c9c3/3429443/a9f86bcb6b74/pone.0044234.g003.jpg
https://cdn.ncbi.nlm.nih.gov/pmc/blobs/c9c3/3429443/029b811489df/pone.0044234.g004.jpg
https://cdn.ncbi.nlm.nih.gov/pmc/blobs/c9c3/3429443/29100d263578/pone.0044234.g005.jpg

相似文献

1
Genetic factors control nicotine self-administration in isogenic adolescent rat strains.遗传因素控制同基因青少年大鼠品系中的尼古丁自我给药。
PLoS One. 2012;7(8):e44234. doi: 10.1371/journal.pone.0044234. Epub 2012 Aug 28.
2
Acquisition of nicotine self-administration in adolescent rats given prolonged access to the drug.让青春期大鼠长期接触尼古丁后对尼古丁自我给药行为的习得。
Neuropsychopharmacology. 2007 Mar;32(3):700-9. doi: 10.1038/sj.npp.1301135. Epub 2006 Jun 14.
3
Enhancing effect of menthol on nicotine self-administration in rats.薄荷醇对大鼠尼古丁自我给药的增强作用。
Psychopharmacology (Berl). 2016 Sep;233(18):3417-27. doi: 10.1007/s00213-016-4391-x. Epub 2016 Jul 29.
4
Effect of menthol on nicotine intake and relapse vulnerability in a rat model of concurrent intravenous menthol/nicotine self-administration.薄荷醇对静脉同时给予薄荷醇/尼古丁自我给药大鼠模型中尼古丁摄入和复吸易感性的影响。
Psychopharmacology (Berl). 2019 Apr;236(4):1219-1232. doi: 10.1007/s00213-018-5128-9. Epub 2018 Nov 27.
5
IV nicotine self-administration in rats using the consummatory operant licking response.使用摄食操作性舔舐反应进行大鼠 IV 尼古丁自主给药。
Physiol Behav. 2010 Dec 2;101(5):755-8. doi: 10.1016/j.physbeh.2010.08.016. Epub 2010 Sep 8.
6
Protection genes in nucleus accumbens shell affect vulnerability to nicotine self-administration across isogenic strains of adolescent rat.伏隔核壳中的保护基因影响青春期大鼠同基因品系对尼古丁自我给药的易感性。
PLoS One. 2014 Jan 22;9(1):e86214. doi: 10.1371/journal.pone.0086214. eCollection 2014.
7
Self-administration of nicotine and cigarette smoke extract in adolescent and adult rats.青少年和成年大鼠的尼古丁及香烟烟雾提取物自我给药
Neuropharmacology. 2016 Oct;109:247-253. doi: 10.1016/j.neuropharm.2016.06.026. Epub 2016 Jun 23.
8
Nicotine self-administration, extinction responding and reinstatement in adolescent and adult male rats: evidence against a biological vulnerability to nicotine addiction during adolescence.青少年和成年雄性大鼠的尼古丁自我给药、消退反应及复吸:反对青少年期对尼古丁成瘾存在生物易感性的证据
Neuropsychopharmacology. 2008 Mar;33(4):739-48. doi: 10.1038/sj.npp.1301454. Epub 2007 May 16.
9
Adolescent nicotine or cigarette smoke exposure changes subsequent response to nicotine conditioned place preference and self-administration.青少年接触尼古丁或香烟烟雾会改变其随后对尼古丁条件性位置偏爱和自我给药的反应。
Behav Brain Res. 2014 Oct 1;272:156-64. doi: 10.1016/j.bbr.2014.06.044. Epub 2014 Jun 30.
10
Age differences in the spontaneous acquisition of nicotine self-administration in male Wistar and Long-Evans rats.雄性Wistar大鼠和Long-Evans大鼠在尼古丁自我给药自发获取方面的年龄差异。
Psychopharmacology (Berl). 2008 Mar;197(1):45-58. doi: 10.1007/s00213-007-1003-9. Epub 2007 Nov 27.

引用本文的文献

1
The relative reinforcing efficacy of nicotine in an adolescent rat model of attention-deficit hyperactivity disorder.尼古丁在青少年注意力缺陷多动障碍大鼠模型中的相对强化效力。
Front Psychiatry. 2023 May 15;14:1154773. doi: 10.3389/fpsyt.2023.1154773. eCollection 2023.
2
Genetic influences impacting nicotine use and abuse during adolescence: Insights from human and rodent studies.遗传因素对青少年时期尼古丁使用和滥用的影响:来自人类和啮齿动物研究的见解。
Brain Res Bull. 2022 Sep;187:24-38. doi: 10.1016/j.brainresbull.2022.06.007. Epub 2022 Jun 20.
3
Influence of Age and Genetic Background on Ethanol Intake and Behavioral Response Following Ethanol Consumption and During Abstinence in a Model of Alcohol Abuse.

本文引用的文献

1
Impact of COMT Val 108/158 Met and DRD2 Taq1B gene polymorphisms on vulnerability to cigarette smoking of Thai males.COMT Val108/158Met 和 DRD2 Taq1B 基因多态性对泰国男性吸烟易感性的影响。
J Mol Neurosci. 2013 Mar;49(3):544-9. doi: 10.1007/s12031-012-9844-z. Epub 2012 Jun 28.
2
Recent advances in the genetic epidemiology and molecular genetics of substance use disorders.物质使用障碍的遗传流行病学和分子遗传学的最新进展。
Nat Neurosci. 2012 Jan 26;15(2):181-9. doi: 10.1038/nn.3018.
3
'Smoking genes': a genetic association study.
年龄和遗传背景对酒精滥用模型中乙醇摄入及乙醇消费后和戒酒期间行为反应的影响。
Front Behav Neurosci. 2022 Mar 28;16:858940. doi: 10.3389/fnbeh.2022.858940. eCollection 2022.
4
Nicotine self-administration with menthol and audiovisual cue facilitates differential packaging of CYP2A6 and cytokines/chemokines in rat plasma extracellular vesicles.尼古丁自我给药与薄荷醇和视听线索促进了 CYP2A6 和细胞因子/趋化因子在大鼠血浆细胞外囊泡中的差异包装。
Sci Rep. 2021 Aug 30;11(1):17393. doi: 10.1038/s41598-021-96807-5.
5
Sex and heredity are determinants of drug intake in a novel model of rat oral oxycodone self-administration.性和遗传因素决定了新型大鼠口服羟考酮自我给药模型中的药物摄入。
Genes Brain Behav. 2021 Nov;20(8):e12770. doi: 10.1111/gbb.12770. Epub 2021 Sep 16.
6
Spontaneously Hypertensive Rat substrains show differences in model traits for addiction risk and cocaine self-administration: Implications for a novel rat reduced complexity cross.自发性高血压大鼠亚系在成瘾风险和可卡因自我给药的模型特征上存在差异:对新型大鼠简化交叉模型的启示。
Behav Brain Res. 2021 Aug 6;411:113406. doi: 10.1016/j.bbr.2021.113406. Epub 2021 Jun 5.
7
Sex-specific nicotine sensitization and imprinting of self-administration in rats inform GWAS findings on human addiction phenotypes.性别特异性尼古丁敏化和自我给药的印记在大鼠中为人类成瘾表型的 GWAS 研究结果提供了信息。
Neuropsychopharmacology. 2021 Sep;46(10):1746-1756. doi: 10.1038/s41386-021-01027-0. Epub 2021 May 18.
8
Facilitating Complex Trait Analysis via Reduced Complexity Crosses.通过简化复杂性杂交来促进复杂性状分析。
Trends Genet. 2020 Aug;36(8):549-562. doi: 10.1016/j.tig.2020.05.003. Epub 2020 May 29.
9
Linking Delay Discounting and Substance Use Disorders: Genotypes and Phenotypes.关联延迟折扣与物质使用障碍:基因型与表型
Perspect Behav Sci. 2019 Jul 10;42(3):419-432. doi: 10.1007/s40614-019-00218-x. eCollection 2019 Sep.
10
Social and anxiety-like behaviors contribute to nicotine self-administration in adolescent outbred rats.社交和焦虑样行为导致青少年近交系大鼠的尼古丁自我给药。
Sci Rep. 2018 Dec 24;8(1):18069. doi: 10.1038/s41598-018-36263-w.
“吸烟基因”:一项遗传关联研究。
PLoS One. 2011;6(10):e26668. doi: 10.1371/journal.pone.0026668. Epub 2011 Oct 26.
4
Nicotine self-administration and reinstatement of nicotine-seeking in male and female rats.尼古丁自主摄取和雄性及雌性大鼠对尼古丁的觅药反应。
Drug Alcohol Depend. 2012 Mar 1;121(3):240-6. doi: 10.1016/j.drugalcdep.2011.09.001. Epub 2011 Sep 25.
5
Social interaction promotes nicotine self-administration with olfactogustatory cues in adolescent rats.社交互动促进青少年大鼠嗅觉味觉线索的尼古丁自我给药。
Neuropsychopharmacology. 2011 Dec;36(13):2629-38. doi: 10.1038/npp.2011.149. Epub 2011 Jul 27.
6
Gene expression in accumbens GABA neurons from inbred rats with different drug-taking behavior.不同药物使用行为近交系大鼠伏隔核 GABA 神经元中的基因表达。
Genes Brain Behav. 2011 Oct;10(7):778-88. doi: 10.1111/j.1601-183X.2011.00716.x. Epub 2011 Aug 1.
7
Intravenous nicotine self-administration and cue-induced reinstatement in mice: effects of nicotine dose, rate of drug infusion and prior instrumental training.小鼠静脉内尼古丁自我给药和线索诱导复吸:尼古丁剂量、药物输注速度和先前工具训练的影响。
Neuropharmacology. 2011 Sep;61(4):687-98. doi: 10.1016/j.neuropharm.2011.05.012. Epub 2011 May 25.
8
Associations of CYP2A6 genotype with smoking behaviors in southern China.中国南方人群 CYP2A6 基因型与吸烟行为的关联。
Addiction. 2011 May;106(5):985-94. doi: 10.1111/j.1360-0443.2010.03353.x.
9
TTC12-ANKK1-DRD2 and CHRNA5-CHRNA3-CHRNB4 influence different pathways leading to smoking behavior from adolescence to mid-adulthood.TTC12-ANKK1-DRD2 和 CHRNA5-CHRNA3-CHRNB4 影响从青春期到中年吸烟行为的不同途径。
Biol Psychiatry. 2011 Apr 1;69(7):650-60. doi: 10.1016/j.biopsych.2010.09.055. Epub 2010 Dec 17.
10
Genetic variation in three candidate genes and nicotine dependence, withdrawal and smoking cessation in hospitalized patients.三个候选基因的遗传变异与住院患者的尼古丁依赖、戒断和戒烟。
Pharmacogenomics. 2010 Aug;11(8):1053-63. doi: 10.2217/pgs.10.75.