Suppr超能文献

全基因组荟萃分析表明 CTC1 和 ZNF676 是调节人类端粒动态平衡的基因。

Genome-wide meta-analysis points to CTC1 and ZNF676 as genes regulating telomere homeostasis in humans.

机构信息

Department of Twin Research and Genetic Epidemiology, King's College London, London, UK.

出版信息

Hum Mol Genet. 2012 Dec 15;21(24):5385-94. doi: 10.1093/hmg/dds382. Epub 2012 Sep 21.

Abstract

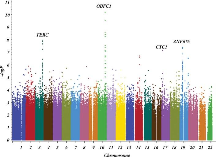
Leukocyte telomere length (LTL) is associated with a number of common age-related diseases and is a heritable trait. Previous genome-wide association studies (GWASs) identified two loci on chromosomes 3q26.2 (TERC) and 10q24.33 (OBFC1) that are associated with the inter-individual LTL variation. We performed a meta-analysis of 9190 individuals from six independent GWAS and validated our findings in 2226 individuals from four additional studies. We confirmed previously reported associations with OBFC1 (rs9419958 P = 9.1 × 10(-11)) and with the telomerase RNA component TERC (rs1317082, P = 1.1 × 10(-8)). We also identified two novel genomic regions associated with LTL variation that map near a conserved telomere maintenance complex component 1 (CTC1; rs3027234, P = 3.6 × 10(-8)) on chromosome17p13.1 and zinc finger protein 676 (ZNF676; rs412658, P = 3.3 × 10(-8)) on 19p12. The minor allele of rs3027234 was associated with both shorter LTL and lower expression of CTC1. Our findings are consistent with the recent observations that point mutations in CTC1 cause short telomeres in both Arabidopsis and humans affected by a rare Mendelian syndrome. Overall, our results provide novel insights into the genetic architecture of inter-individual LTL variation in the general population.

摘要

白细胞端粒长度 (LTL) 与许多常见的与年龄相关的疾病有关,是一种可遗传的特征。先前的全基因组关联研究 (GWAS) 确定了染色体 3q26.2(TERC)和 10q24.33(OBFC1)上的两个位点与个体间 LTL 变异有关。我们对来自六个独立 GWAS 的 9190 个人进行了荟萃分析,并在来自四个额外研究的 2226 个人中验证了我们的发现。我们证实了先前报道的与 OBFC1(rs9419958 P = 9.1×10(-11)) 和端粒酶 RNA 成分 TERC(rs1317082,P = 1.1×10(-8)) 的关联。我们还发现了两个与 LTL 变异相关的新基因组区域,它们位于染色体 17p13.1 上的保守端粒维持复合物成分 1(CTC1;rs3027234,P = 3.6×10(-8)) 和 19p12 上的锌指蛋白 676(ZNF676;rs412658,P = 3.3×10(-8))。rs3027234 的次要等位基因与 LTL 较短和 CTC1 表达水平较低有关。我们的发现与最近的观察结果一致,即 CTC1 中的点突变会导致拟南芥和受罕见孟德尔综合征影响的人类的端粒变短。总的来说,我们的研究结果为一般人群中个体间 LTL 变异的遗传结构提供了新的见解。

https://cdn.ncbi.nlm.nih.gov/pmc/blobs/9029/3510758/98aaa5341363/dds38201.jpg

文献AI研究员

20分钟写一篇综述,助力文献阅读效率提升50倍。

立即体验

用中文搜PubMed

大模型驱动的PubMed中文搜索引擎

马上搜索

文档翻译

学术文献翻译模型,支持多种主流文档格式。

立即体验