1. School of Pharmacy, Yokohama College of Pharmacy, 601, Matano-cho, Totsuka-ku, Yokohama, Kanagawa 245-0066, Japan;
Theranostics. 2012;2(9):880-8. doi: 10.7150/thno.3899. Epub 2012 Sep 29.
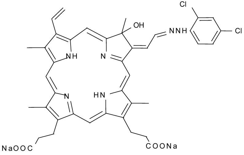
In this study, we investigated the induction of apoptosis by ultrasound in the presence of the novel porphyrin derivative DCPH-P-Na(I). HL-60 cells were exposed to ultrasound for up to 3 min in the presence and absence of DCPH-P-Na(I), and the induction of apoptosis was examined by analyzing cell morphology, DNA fragmentation, and caspase-3 activity. Reactive oxygen species were measured by means of ESR and spin trapping technique. Cells treated with 8 μM DCPH-P-Na(I) and ultrasound clearly showed membrane blebbing and cell shrinkage, whereas significant morphologic changes were not observed in cells exposed to either ultrasound or DCPH-P-Na(I) alone. Also, DNA ladder formation and caspase-3 activation were observed in cells treated with both ultrasound and DCPH-P-Na(I) but not in cells treated with ultrasound or DCPH-P-Na(I) alone. In addition, the combination of DCPH-P-Na(I) and the same acoustical arrangement of ultrasound substantially enhanced nitroxide generation by the cells. Sonodynamically induced apoptosis, caspase-3 activation, and nitroxide generation were significantly suppressed by histidine. These results indicate that the combination of ultrasound and DCPH-P-Na(I) induced apoptosis in HL-60 cells. The significant reduction in sonodynamically induced apoptosis, nitroxide generation, and caspase-3 activation by histidine suggests active species such as singlet oxygen are important in the sonodynamic induction of apoptosis. These experimental results support the possibility of sonodynamic treatment for cancer using the induction of apoptosis.
在这项研究中,我们研究了在新型卟啉衍生物 DCPH-P-Na(I) 的存在下,超声诱导细胞凋亡的现象。HL-60 细胞在有或没有 DCPH-P-Na(I) 的情况下,接受超声照射 3 分钟,通过分析细胞形态、DNA 片段化和 caspase-3 活性来检测细胞凋亡的诱导情况。通过 ESR 和自旋捕获技术来测量活性氧的产生。用 8 μM 的 DCPH-P-Na(I) 和超声处理的细胞,明显表现出细胞膜起泡和细胞收缩,而单独暴露于超声或 DCPH-P-Na(I)的细胞没有明显的形态变化。此外,在同时用超声和 DCPH-P-Na(I)处理的细胞中观察到 DNA 梯形成和 caspase-3 的激活,但在单独用超声或 DCPH-P-Na(I)处理的细胞中没有观察到。此外,DCPH-P-Na(I)和相同的超声排列组合,显著增强了细胞产生的氮氧自由基。组氨酸显著抑制了声动力诱导的细胞凋亡、caspase-3 激活和氮氧自由基的产生。这些结果表明,超声和 DCPH-P-Na(I)的组合诱导了 HL-60 细胞的凋亡。组氨酸显著降低了声动力诱导的细胞凋亡、氮氧自由基的产生和 caspase-3 的激活,这表明活性氧如单线态氧在声动力诱导细胞凋亡中是重要的。这些实验结果支持了使用诱导细胞凋亡来进行声动力学癌症治疗的可能性。