Suppr超能文献

系统性红斑狼疮患者的血清前颗粒蛋白水平升高,反映疾病活动情况。

Serum progranulin levels are elevated in patients with systemic lupus erythematosus, reflecting disease activity.

作者信息

Tanaka Atsushi, Tsukamoto Hiroshi, Mitoma Hiroki, Kiyohara Chikako, Ueda Naoyasu, Ayano Masahiro, Ohta Shun-ichiro, Inoue Yasushi, Arinobu Yojirou, Niiro Hiroaki, Horiuchi Takahiko, Akashi Koichi

出版信息

Arthritis Res Ther. 2012 Nov 11;14(6):R244. doi: 10.1186/ar4087.

Abstract

INTRODUCTION

Progranulin (PGRN) is the precursor of granulin (GRN), a soluble cofactor for toll-like receptor 9 (TLR9) signaling evoked by oligonucleotide (CpG)-DNA. Because TLR9 signaling plays an important role in systemic lupus erythematosus (SLE), we investigated whether PGRN is involved in the pathogenesis of SLE.

METHODS

We measured concentrations of serum PGRN and interleukin-6 (IL-6) with enzyme-linked immunosorbent assay (ELISA) in patients with SLE (n = 68) and in healthy controls (n = 60). We assessed the correlation between the serum PGRN levels and established disease-activity indexes. The sera from the patients with high PGRN titers (>80 ng/ml) at the initial evaluation were reevaluated after the disease was ameliorated by treatment. We also measured the IL-6 concentration secreted by peripheral blood mononuclear cells (PBMCs) incubated with (a) oligonucleotide (CpG-B) in the presence or absence of recombinant human PGRN (rhPGRN); and (b) lupus sera in the presence or absence of a neutralizing anti-PGRN antibody.

RESULTS

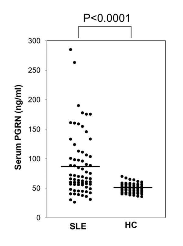
Serum PGRN levels were significantly higher in SLE patients than healthy controls. Their levels were significantly associated with activity of clinical symptoms. They also significantly correlated with values of clinical parameters, including the SLE Disease Activity Index and anti-double-stranded DNA antibody titers, and inversely with CH50, C3, and C4 levels. Moreover, serum PGRN levels significantly decreased after successful treatment of SLE. The rhPGRN significantly upregulated the production of IL-6 by PBMCs stimulated with CpG-B. Patients' sera stimulated production of IL-6 from PBMCs, which was significantly impaired by neutralization of PGRN. The serum PGRN levels significantly correlated with the serum IL-6 levels.

CONCLUSIONS

Serum PGRN could be a useful biomarker for disease activity of SLE. PGRN may be involved in the pathogenesis of SLE partly by enhancing the TLR9 signaling.

摘要

引言

颗粒蛋白前体(PGRN)是颗粒蛋白(GRN)的前体,GRN是由寡核苷酸(CpG)-DNA引发的Toll样受体9(TLR9)信号传导的可溶性辅助因子。由于TLR9信号传导在系统性红斑狼疮(SLE)中起重要作用,我们研究了PGRN是否参与SLE的发病机制。

方法

我们采用酶联免疫吸附测定(ELISA)法检测了68例SLE患者和60例健康对照者血清中PGRN和白细胞介素-6(IL-6)的浓度。我们评估了血清PGRN水平与既定疾病活动指数之间的相关性。对初始评估时PGRN滴度高(>80 ng/ml)的患者血清在疾病经治疗改善后进行重新评估。我们还检测了在以下情况下外周血单个核细胞(PBMC)分泌的IL-6浓度:(a)存在或不存在重组人PGRN(rhPGRN)时与寡核苷酸(CpG-B)孵育;(b)存在或不存在中和性抗PGRN抗体时与狼疮血清孵育。

结果

SLE患者血清PGRN水平显著高于健康对照者。其水平与临床症状的活动度显著相关。它们还与临床参数值显著相关,包括SLE疾病活动指数和抗双链DNA抗体滴度,与CH50、C3和C4水平呈负相关。此外,SLE成功治疗后血清PGRN水平显著降低。rhPGRN显著上调了CpG-B刺激的PBMC产生IL-6的水平。患者血清刺激PBMC产生IL-6,而PGRN的中和显著削弱了这种作用。血清PGRN水平与血清IL-6水平显著相关。

结论

血清PGRN可能是SLE疾病活动的有用生物标志物。PGRN可能部分通过增强TLR9信号传导参与SLE的发病机制。

https://cdn.ncbi.nlm.nih.gov/pmc/blobs/4ba3/3674629/0a60ad868b54/ar4087-1.jpg

文献AI研究员

20分钟写一篇综述,助力文献阅读效率提升50倍。

立即体验

用中文搜PubMed

大模型驱动的PubMed中文搜索引擎

马上搜索

文档翻译

学术文献翻译模型,支持多种主流文档格式。

立即体验