• 文献检索
  • 文档翻译
  • 深度研究
  • 学术资讯
  • Suppr Zotero 插件Zotero 插件
  • 邀请有礼
  • 套餐&价格
  • 历史记录
应用&插件
Suppr Zotero 插件Zotero 插件浏览器插件Mac 客户端Windows 客户端微信小程序
定价
高级版会员购买积分包购买API积分包
服务
文献检索文档翻译深度研究API 文档MCP 服务
关于我们
关于 Suppr公司介绍联系我们用户协议隐私条款
关注我们

Suppr 超能文献

核心技术专利:CN118964589B侵权必究
粤ICP备2023148730 号-1Suppr @ 2026

文献检索

告别复杂PubMed语法,用中文像聊天一样搜索,搜遍4000万医学文献。AI智能推荐,让科研检索更轻松。

立即免费搜索

文件翻译

保留排版,准确专业,支持PDF/Word/PPT等文件格式,支持 12+语言互译。

免费翻译文档

深度研究

AI帮你快速写综述,25分钟生成高质量综述,智能提取关键信息,辅助科研写作。

立即免费体验

使用严肃游戏技术进行预训练对心肺复苏术表现的影响——一项探索性准实验转移研究。

Effects of pre-training using serious game technology on CPR performance--an exploratory quasi-experimental transfer study.

机构信息

Department of Clinical Science, Intervention and Technology, Karolinska Institutet, Stockholm, Sweden.

出版信息

Scand J Trauma Resusc Emerg Med. 2012 Dec 6;20:79. doi: 10.1186/1757-7241-20-79.

DOI:10.1186/1757-7241-20-79
PMID:23217084
原文链接:https://pmc.ncbi.nlm.nih.gov/articles/PMC3546885/
Abstract

BACKGROUND

Multiplayer virtual world (MVW) technology creates opportunities to practice medical procedures and team interactions using serious game software. This study aims to explore medical students' retention of knowledge and skills as well as their proficiency gain after pre-training using a MVW with avatars for cardio-pulmonary resuscitation (CPR) team training.

METHODS

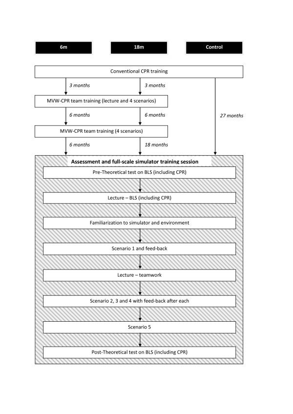
Three groups of pre-clinical medical students, n = 30, were assessed and further trained using a high fidelity full-scale medical simulator: Two groups were pre-trained 6 and 18 months before assessment. A reference control group consisting of matched peers had no MVW pre-training. The groups consisted of 8, 12 and 10 subjects, respectively. The session started and ended with assessment scenarios, with 3 training scenarios in between. All scenarios were video-recorded for analysis of CPR performance.

RESULTS

The 6 months group displayed greater CPR-related knowledge than the control group, 93 (±11)% compared to 65 (±28)% (p < 0.05), the 18 months group scored in between (73 (±23)%).At start the pre-trained groups adhered better to guidelines than the control group; mean violations 0.2 (±0.5), 1.5 (±1.0) and 4.5 (±1.0) for the 6 months, 18 months and control group respectively. Likewise, in the 6 months group no chest compression cycles were delivered at incorrect frequencies whereas 54 (±44)% in the control group (p < 0.05) and 44 (±49)% in 18 months group where incorrectly paced; differences that disappeared during training.

CONCLUSIONS

This study supports the beneficial effects of MVW-CPR team training with avatars as a method for pre-training, or repetitive training, on CPR-skills among medical students.

摘要

背景

多人虚拟世界(MVW)技术为使用严肃游戏软件练习医疗程序和团队互动提供了机会。本研究旨在探索使用 MVW 进行心肺复苏(CPR)团队培训的情况下,医学生在预培训后知识和技能的保留情况以及熟练度的提高情况。

方法

对三组临床前医学生(n = 30)进行评估,并使用高保真全尺寸医疗模拟器进行进一步培训:两组分别在评估前 6 个月和 18 个月进行预培训。一个由匹配的同龄人组成的参考对照组没有接受 MVW 预培训。三组分别由 8、12 和 10 名受试者组成。课程开始和结束时都进行评估场景,中间有 3 个培训场景。所有场景都进行了视频记录,以便分析 CPR 表现。

结果

6 个月组的 CPR 相关知识得分高于对照组,分别为 93(±11)%和 65(±28)%(p < 0.05),18 个月组的得分在两者之间(73(±23)%)。在开始时,预培训组比对照组更遵守指南;平均违规次数分别为 0.2(±0.5)、1.5(±1.0)和 4.5(±1.0),对照组、18 个月组和对照组分别为 54(±44)%(p < 0.05)和 44(±49)%,不正确起搏;在培训过程中,这些差异消失了。

结论

本研究支持使用 MVW-CPR 团队培训与化身作为一种预培训或重复培训方法,对医学生的 CPR 技能具有有益的效果。

https://cdn.ncbi.nlm.nih.gov/pmc/blobs/c8e3/3546885/9074b4c720fb/1757-7241-20-79-3.jpg
https://cdn.ncbi.nlm.nih.gov/pmc/blobs/c8e3/3546885/5b7d497638ca/1757-7241-20-79-1.jpg
https://cdn.ncbi.nlm.nih.gov/pmc/blobs/c8e3/3546885/b5613bf59298/1757-7241-20-79-2.jpg
https://cdn.ncbi.nlm.nih.gov/pmc/blobs/c8e3/3546885/9074b4c720fb/1757-7241-20-79-3.jpg
https://cdn.ncbi.nlm.nih.gov/pmc/blobs/c8e3/3546885/5b7d497638ca/1757-7241-20-79-1.jpg
https://cdn.ncbi.nlm.nih.gov/pmc/blobs/c8e3/3546885/b5613bf59298/1757-7241-20-79-2.jpg
https://cdn.ncbi.nlm.nih.gov/pmc/blobs/c8e3/3546885/9074b4c720fb/1757-7241-20-79-3.jpg

相似文献

1
Effects of pre-training using serious game technology on CPR performance--an exploratory quasi-experimental transfer study.使用严肃游戏技术进行预训练对心肺复苏术表现的影响——一项探索性准实验转移研究。
Scand J Trauma Resusc Emerg Med. 2012 Dec 6;20:79. doi: 10.1186/1757-7241-20-79.
2
Exploring virtual worlds for scenario-based repeated team training of cardiopulmonary resuscitation in medical students.探索虚拟世界用于医学生基于场景的心肺复苏重复团队训练。
J Med Internet Res. 2010 Sep 3;12(3):e38. doi: 10.2196/jmir.1426.
3
Cardiopulmonary resuscitation training in high school using avatars in virtual worlds: an international feasibility study.在高中利用虚拟世界中的虚拟角色进行心肺复苏培训:一项国际可行性研究。
J Med Internet Res. 2013 Jan 14;15(1):e9. doi: 10.2196/jmir.1715.
4
Cardiopulmonary Resuscitation Training by Avatars: A Qualitative Study of Medical Students' Experiences Using a Multiplayer Virtual World.虚拟化身进行的心肺复苏培训:一项关于医学生使用多人虚拟世界体验的定性研究
JMIR Serious Games. 2016 Dec 16;4(2):e22. doi: 10.2196/games.6448.
5
Randomized Controlled Trial of Simulation vs. Standard Training for Teaching Medical Students High-quality Cardiopulmonary Resuscitation.模拟教学与标准培训在医学本科生高质量心肺复苏教学中效果的随机对照试验
West J Emerg Med. 2019 Jan;20(1):15-22. doi: 10.5811/westjem.2018.11.39040. Epub 2018 Dec 12.
6
Medical students teaching cardiopulmonary resuscitation to middle school Brazilian students.医学生向巴西中学生教授心肺复苏术。
Arq Bras Cardiol. 2013 Oct;101(4):328-35. doi: 10.5935/abc.20130165. Epub 2013 Aug 14.
7
An observer tool to enhance learning of medical students during simulation training of cardiopulmonary resuscitation: a randomised controlled trial.一种观察者工具,用于增强医学生在心肺复苏模拟训练中的学习效果:一项随机对照试验。
BMC Med Educ. 2024 Jul 3;24(1):719. doi: 10.1186/s12909-024-05658-x.
8
Combination of problem-based learning with high-fidelity simulation in CPR training improves short and long-term CPR skills: a randomised single blinded trial.基于问题的学习与高保真模拟相结合在心肺复苏培训中提高短期和长期心肺复苏技能:一项随机单盲试验。
BMC Med Educ. 2019 May 31;19(1):180. doi: 10.1186/s12909-019-1626-7.
9
High-fidelity simulation effects on CPR knowledge, skills, acquisition, and retention in nursing students.高保真模拟对护理学生心肺复苏知识、技能、获得和保留的影响。
Worldviews Evid Based Nurs. 2014 Dec;11(6):394-400. doi: 10.1111/wvn.12063. Epub 2014 Sep 11.
10
Does video feedback analysis improve CPR performance in phase 5 medical students?视频反馈分析能否提高五年级医学生的心肺复苏表现?
BMC Med Educ. 2016 Aug 12;16(1):203. doi: 10.1186/s12909-016-0726-x.

引用本文的文献

1
Comparison of the effects of burn assessment mission game with feedback lecture on nursing students' knowledge and skills in the burn patients' assessment: a randomized clinical trial.烧伤评估任务游戏与反馈讲座对护理学生烧伤患者评估知识和技能的影响比较:一项随机临床试验。
BMC Med Inform Decis Mak. 2024 Jun 5;24(1):157. doi: 10.1186/s12911-024-02558-4.
2
Viewpoint: Virtual and Augmented Reality in Basic and Advanced Life Support Training.观点:基础及高级生命支持培训中的虚拟现实与增强现实技术
JMIR Serious Games. 2022 Mar 23;10(1):e28595. doi: 10.2196/28595.
3
Virtual Reality in Medical Students' Education: Scoping Review.

本文引用的文献

1
Cardiopulmonary resuscitation training in high school using avatars in virtual worlds: an international feasibility study.在高中利用虚拟世界中的虚拟角色进行心肺复苏培训:一项国际可行性研究。
J Med Internet Res. 2013 Jan 14;15(1):e9. doi: 10.2196/jmir.1715.
2
A comparative study of defibrillation and cardiopulmonary resuscitation performance during simulated cardiac arrest in nursing student teams.在模拟心脏骤停期间对护理学生团队的除颤和心肺复苏表现进行比较研究。
Scand J Trauma Resusc Emerg Med. 2012 Apr 2;20:23. doi: 10.1186/1757-7241-20-23.
3
Suppression of the cardiopulmonary resuscitation artefacts using the instantaneous chest compression rate extracted from the thoracic impedance.
虚拟现实在医学生教育中的应用:范围综述
JMIR Med Educ. 2022 Feb 2;8(1):e34860. doi: 10.2196/34860.
4
Comparing Basic Life Support Serious Gaming Scores With Hands-on Training Platform Performance Scores: Pilot Simulation Study for Basic Life Support Training.比较基础生命支持严肃游戏分数与实践培训平台表现分数:基础生命支持培训的试点模拟研究
JMIR Serious Games. 2020 Nov 25;8(4):e24166. doi: 10.2196/24166.
5
Precourse Preparation Using a Serious Smartphone Game on Advanced Life Support Knowledge and Skills: Randomized Controlled Trial.使用一款严肃的智能手机游戏进行高级生命支持知识与技能的课前准备:随机对照试验。
J Med Internet Res. 2020 Mar 9;22(3):e16987. doi: 10.2196/16987.
6
The impact of a training programme incorporating the conceptual framework of the International Classification of Functioning (ICF) on behaviour regarding interprofessional practice in Rwandan health professionals: A cluster randomized control trial.纳入《国际功能、残疾和健康分类》(ICF)概念框架的培训方案对卢旺达卫生专业人员跨专业实践行为的影响:一项群组随机对照试验。
PLoS One. 2020 Feb 7;15(2):e0226247. doi: 10.1371/journal.pone.0226247. eCollection 2020.
7
Comparative evaluation of video-based on-line course versus serious game for training medical students in cardiopulmonary resuscitation: A randomised trial.基于视频的在线课程与严肃游戏在心肺复苏术培训医学生方面的比较评估:一项随机试验。
PLoS One. 2019 Apr 8;14(4):e0214722. doi: 10.1371/journal.pone.0214722. eCollection 2019.
8
Status of Nordic research on simulation-based learning in healthcare: an integrative review.北欧医疗保健领域基于模拟的学习研究现状:一项综合综述。
Adv Simul (Lond). 2018 Jul 4;3:12. doi: 10.1186/s41077-018-0071-8. eCollection 2018.
9
A systematic review of serious games in medical education: quality of evidence and pedagogical strategy.医学教育中严肃游戏的系统评价:证据质量和教学策略。
Med Educ Online. 2018 Dec;23(1):1438718. doi: 10.1080/10872981.2018.1438718.
10
The effect of a national web course "Help-Brain-Heart" as a supplemental learning tool before CPR training: a cluster randomised trial.国家网络课程“Help-Brain-Heart”作为心肺复苏培训前补充学习工具的效果:一项集群随机试验。
Scand J Trauma Resusc Emerg Med. 2017 Sep 12;25(1):93. doi: 10.1186/s13049-017-0439-0.
利用从胸阻抗中提取的即时胸压率抑制心肺复苏伪迹。
Resuscitation. 2012 Jun;83(6):692-8. doi: 10.1016/j.resuscitation.2011.11.029. Epub 2011 Dec 21.
4
Training teams and leaders to reduce resuscitation errors and improve patient outcome.培训团队和领导者以减少复苏错误并改善患者预后。
Resuscitation. 2012 Jan;83(1):13-5. doi: 10.1016/j.resuscitation.2011.10.015. Epub 2011 Nov 3.
5
Activities during interruptions in cardiopulmonary resuscitation: a simulator study.心肺复苏中断期间的活动:一项模拟研究。
Resuscitation. 2011 Nov;82(11):1419-23. doi: 10.1016/j.resuscitation.2011.06.023. Epub 2011 Jun 29.
6
Out-of-hospital cardiac arrest surveillance --- Cardiac Arrest Registry to Enhance Survival (CARES), United States, October 1, 2005--December 31, 2010.院外心脏骤停监测 - 心脏骤停注册以提高存活率 (CARES),美国,2005 年 10 月 1 日至 2010 年 12 月 31 日。
MMWR Surveill Summ. 2011 Jul 29;60(8):1-19.
7
Teamwork and leadership in cardiopulmonary resuscitation.心肺复苏中的团队合作和领导力。
J Am Coll Cardiol. 2011 Jun 14;57(24):2381-8. doi: 10.1016/j.jacc.2011.03.017.
8
CliniSpace: a multiperson 3D online immersive training environment accessible through a browser.临床空间:一个可通过浏览器访问的多人三维在线沉浸式训练环境。
Stud Health Technol Inform. 2011;163:173-9.
9
A "Second Life" for gross anatomy: applications for multiuser virtual environments in teaching the anatomical sciences.大体解剖学的“第二人生”:多用户虚拟环境在解剖科学教学中的应用。
Anat Sci Educ. 2011 Jan-Feb;4(1):39-43. doi: 10.1002/ase.195. Epub 2011 Jan 3.
10
Part 12: Education, implementation, and teams: 2010 International Consensus on Cardiopulmonary Resuscitation and Emergency Cardiovascular Care Science With Treatment Recommendations.第12部分:教育、实施与团队:2010年心肺复苏和心血管急救科学及治疗建议国际共识。
Circulation. 2010 Oct 19;122(16 Suppl 2):S539-81. doi: 10.1161/CIRCULATIONAHA.110.971143.