Suppr超能文献

钴铁/氧化镁/n 型锗接触中的热自旋注入和积累。

Thermal spin injection and accumulation in CoFe/MgO/n-type Ge contacts.

机构信息

Department of Physics and Center for Nanospinics of Spintronic Materials, Korea Advanced Institute of Science and Technology (KAIST), Daejeon 305-701, Korea.

出版信息

Sci Rep. 2012;2:962. doi: 10.1038/srep00962. Epub 2012 Dec 12.

Abstract

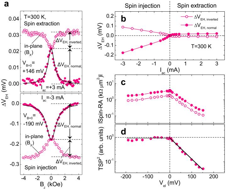
Understanding the interplay between spin and heat is a fundamental and intriguing subject. Here we report thermal spin injection and accumulation in CoFe/MgO/n-type Ge contacts with an asymmetry of tunnel spin polarization. Using local heating of electrodes by laser beam or electrical current, the thermally-induced spin accumulation is observed for both polarities of the temperature gradient across the tunnel contact. We observe that the magnitude of thermally injected spin signal scales linearly with the power of local heating of electrodes, and its sign is reversed as we invert the temperature gradient. A large Hanle magnetothermopower (HMTP) of about 7.0% and the Seebeck spin tunneling coefficient of larger than 0.74 meV K(-1) are obtained at room temperature.

摘要

理解自旋和热之间的相互作用是一个基本而有趣的课题。在这里,我们报告了在 CoFe/MgO/n 型 Ge 接触中具有隧道自旋极化各向异性的热自旋注入和积累。通过激光束或电流对电极进行局部加热,我们观察到在隧道接触的温度梯度的两个极性下都会产生热诱导的自旋积累。我们观察到,热注入自旋信号的幅度与电极局部加热的功率呈线性关系,并且当我们反转温度梯度时,其符号会反转。在室温下,我们获得了约 7.0%的大 Hanle 磁热伏特(HMTP)和大于 0.74 meV K(-1) 的 Seebeck 自旋隧道系数。

https://cdn.ncbi.nlm.nih.gov/pmc/blobs/9144/3520029/72de8013b169/srep00962-f1.jpg

文献AI研究员

20分钟写一篇综述,助力文献阅读效率提升50倍。

立即体验

用中文搜PubMed

大模型驱动的PubMed中文搜索引擎

马上搜索

文档翻译

学术文献翻译模型,支持多种主流文档格式。

立即体验