Suppr超能文献

肺部结核患者的肠道激素、食欲抑制和恶病质。

Gut hormones, appetite suppression and cachexia in patients with pulmonary TB.

机构信息

Department of Medicine, George Washington University, Washington, DC, USA.

出版信息

PLoS One. 2013;8(1):e54564. doi: 10.1371/journal.pone.0054564. Epub 2013 Jan 24.

Abstract

BACKGROUND

Cachexia is a hallmark of pulmonary tuberculosis and is associated with poor prognosis. A better understanding of the mechanisms behind such weight loss could reveal targets for therapeutic intervention. The role of appetite-regulatory hormones in tuberculosis is unknown.

METHODS AND FINDINGS

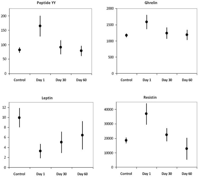
41 subjects with newly-diagnosed pulmonary TB (cases) were compared to 82 healthy controls. We measured appetite, body mass index (BMI), % body fat (BF), plasma peptide YY (PYY), leptin, ghrelin, and resistin for all subjects. Measurements were taken at baseline for controls and at treatment days 0, 30, and 60 for cases. Baseline appetite, BMI, and BF were lower in cases than in controls and improved during treatment. PYY, ghrelin, and resistin were significantly elevated in cases and fell during treatment. Leptin was lower in cases and rose with treatment. Appetite was inversely related to PYY in cases. High pre-treatment PYY predicted reduced gains in appetite and BF. PYY was the strongest independent predictor of appetite in cases across all time points.

CONCLUSIONS

Appetite-regulatory hormones are altered in TB patients. As hormones normalize during treatment, appetite is restored and nutritional status improves. High baseline PYY is an indicator of poor prognosis for improvement in appetite and nutrition during treatment. Wasting in TB patients may partly be mediated by upregulation of PYY with resulting appetite suppression.

摘要

背景

恶病质是肺结核的一个标志,并与预后不良有关。更好地了解导致体重减轻的机制可能会揭示治疗干预的靶点。食欲调节激素在结核病中的作用尚不清楚。

方法和发现

将 41 例新诊断为肺结核的患者(病例)与 82 例健康对照进行比较。我们测量了所有受试者的食欲、体重指数(BMI)、体脂肪百分比(BF)、血浆肽 YY(PYY)、瘦素、胃饥饿素和抵抗素。对照组在基线时进行测量,病例组在治疗第 0、30 和 60 天进行测量。病例组的基线食欲、BMI 和 BF 均低于对照组,并在治疗过程中得到改善。PYY、胃饥饿素和抵抗素在病例组中显著升高,并在治疗过程中下降。病例组的瘦素水平较低,随着治疗而升高。病例组的食欲与 PYY 呈负相关。高治疗前 PYY 预测食欲和 BF 增加减少。PYY 是病例组所有时间点食欲的最强独立预测因子。

结论

在结核病患者中,食欲调节激素发生改变。随着治疗过程中激素的正常化,食欲得到恢复,营养状况得到改善。高基线 PYY 是治疗期间食欲和营养改善预后不良的指标。TB 患者的消瘦可能部分是由于 PYY 的上调导致食欲抑制。

https://cdn.ncbi.nlm.nih.gov/pmc/blobs/bdf5/3554726/309dbbab56ba/pone.0054564.g001.jpg

文献检索

告别复杂PubMed语法,用中文像聊天一样搜索,搜遍4000万医学文献。AI智能推荐,让科研检索更轻松。

立即免费搜索

文件翻译

保留排版,准确专业,支持PDF/Word/PPT等文件格式,支持 12+语言互译。

免费翻译文档

深度研究

AI帮你快速写综述,25分钟生成高质量综述,智能提取关键信息,辅助科研写作。

立即免费体验