• 文献检索
  • 文档翻译
  • 深度研究
  • 学术资讯
  • Suppr Zotero 插件Zotero 插件
  • 邀请有礼
  • 套餐&价格
  • 历史记录
应用&插件
Suppr Zotero 插件Zotero 插件浏览器插件Mac 客户端Windows 客户端微信小程序
定价
高级版会员购买积分包购买API积分包
服务
文献检索文档翻译深度研究API 文档MCP 服务
关于我们
关于 Suppr公司介绍联系我们用户协议隐私条款
关注我们

Suppr 超能文献

核心技术专利:CN118964589B侵权必究
粤ICP备2023148730 号-1Suppr @ 2026

文献检索

告别复杂PubMed语法,用中文像聊天一样搜索,搜遍4000万医学文献。AI智能推荐,让科研检索更轻松。

立即免费搜索

文件翻译

保留排版,准确专业,支持PDF/Word/PPT等文件格式,支持 12+语言互译。

免费翻译文档

深度研究

AI帮你快速写综述,25分钟生成高质量综述,智能提取关键信息,辅助科研写作。

立即免费体验

急性心肌梗死患者血清血管生成素-1、血管生成素-2及血管生成素-2与血管生成素-1比值与心力衰竭的关系

Association of serum angiopoietin-1, angiopoietin-2 and angiopoietin-2 to angiopoietin-1 ratio with heart failure in patients with acute myocardial infarction.

作者信息

Chen Shaomin, Guo Lijun, Chen Baoxia, Sun Lijie, Cui Ming

机构信息

Department of Cardiology, Peking University Third Hospital; Key Laboratory of Cardiovascular Molecular Biology and Regulatory Peptides, Ministry of Health; Key Laboratory of Molecular Cardiovascular Sciences, Ministry of Education, Beijing 100191, P.R. China.

出版信息

Exp Ther Med. 2013 Mar;5(3):937-941. doi: 10.3892/etm.2013.893. Epub 2013 Jan 14.

DOI:10.3892/etm.2013.893
PMID:23408510
原文链接:https://pmc.ncbi.nlm.nih.gov/articles/PMC3570239/
Abstract

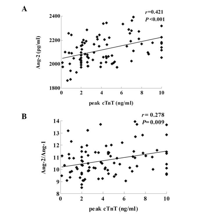
The aim of the present study was to investigate the association of the serum angiopoietin (Ang)-1 and Ang-2 levels and the Ang-2 to Ang-1 ratio (Ang-2/Ang-1) with heart failure (HF) in patients with acute myocardial infarction (AMI) during hospitalization. The serum Ang-1 and Ang-2 levels of the AMI patients were measured at admission to hospital. The correlations between serum Ang-1, Ang-2 and Ang-2/Ang-1 with HF were examined. Among 103 patients, 20 developed HF during hospitalization. The serum Ang-2 level and Ang-2/Ang-1 were found to be significantly higher in the patients with HF than in the patients without HF (2,203.1±122.0 vs. 2,102.3±114.4 pg/ml, P=0.001 and 11.4±1.6×10(-2) vs. 10.6±1.1×10(-2), P=0.007, respectively). Serum Ang-2 level and Ang-2/Ang-1 were negatively correlated with left ventricular ejection fraction (LVEF; r=-0.352, P<0.001 and r=-0.365, P<0.001, respectively) and positively correlated with the natural logarithm of the level of N-terminal pro-B-type natriuretic peptide (LnNT-proBNP, r=0.367, P<0.001 and r=0.304, P=0.003, respectively) and peak cardiac troponin T (cTnT, r=0.421, P<0.001 and r=0.278, P=0.009, respectively). However, the serum Ang-1 level was not found to correlate significantly with LVEF (r= 0.194, P= 0.05), LnNT-proBNP (r=-0.116, P=0.266) or peak cTnT (r=-0.056, P=0.607). In multivariable logistic regression analysis, Ang-2 (P=0.031), Ang-2/Ang-1 (P=0.018) and NT-proBNP (P=0.001) were revealed to be independently associated with HF. The present study reveals that Ang-2 levels and Ang-2/Ang-1 are independent predictors of HF in AMI patients during hospitalization.

摘要

本研究旨在探讨急性心肌梗死(AMI)患者住院期间血清血管生成素(Ang)-1和Ang-2水平以及Ang-2与Ang-1的比值(Ang-2/Ang-1)与心力衰竭(HF)的相关性。在入院时测定AMI患者的血清Ang-1和Ang-2水平。检测血清Ang-1、Ang-2和Ang-2/Ang-1与HF之间的相关性。103例患者中,20例在住院期间发生HF。发现HF患者的血清Ang-2水平和Ang-2/Ang-1显著高于无HF患者(分别为2203.1±122.0 vs. 2102.3±114.4 pg/ml,P=0.001;11.4±1.6×10⁻² vs. 10.6±1.1×10⁻²,P=0.007)。血清Ang-2水平和Ang-2/Ang-1与左心室射血分数(LVEF)呈负相关(r=-0.352,P<0.001;r=-0.365,P<0.001),与N末端B型利钠肽原水平的自然对数(LnNT-proBNP,r=0.367,P<0.001;r=0.304,P=0.003)以及心肌肌钙蛋白T峰值(cTnT,r=0.421,P<0.001;r=0.278,P=0.009)呈正相关。然而,未发现血清Ang-1水平与LVEF(r=0.194,P=0.05)、LnNT-proBNP(r=-0.116,P=0.266)或cTnT峰值(r=-0.056,P=0.607)有显著相关性。在多变量逻辑回归分析中,Ang-2(P=0.031)、Ang-2/Ang-1(P=0.018)和NT-proBNP(P=0.001)被发现与HF独立相关。本研究表明,Ang-2水平和Ang-2/Ang-1是AMI患者住院期间HF的独立预测因子。

https://cdn.ncbi.nlm.nih.gov/pmc/blobs/4a9d/3570239/be7b7f11af77/ETM-05-03-0937-g02.jpg
https://cdn.ncbi.nlm.nih.gov/pmc/blobs/4a9d/3570239/59b3ede0d5a5/ETM-05-03-0937-g00.jpg
https://cdn.ncbi.nlm.nih.gov/pmc/blobs/4a9d/3570239/e5fb92907a41/ETM-05-03-0937-g01.jpg
https://cdn.ncbi.nlm.nih.gov/pmc/blobs/4a9d/3570239/be7b7f11af77/ETM-05-03-0937-g02.jpg
https://cdn.ncbi.nlm.nih.gov/pmc/blobs/4a9d/3570239/59b3ede0d5a5/ETM-05-03-0937-g00.jpg
https://cdn.ncbi.nlm.nih.gov/pmc/blobs/4a9d/3570239/e5fb92907a41/ETM-05-03-0937-g01.jpg
https://cdn.ncbi.nlm.nih.gov/pmc/blobs/4a9d/3570239/be7b7f11af77/ETM-05-03-0937-g02.jpg

相似文献

1
Association of serum angiopoietin-1, angiopoietin-2 and angiopoietin-2 to angiopoietin-1 ratio with heart failure in patients with acute myocardial infarction.急性心肌梗死患者血清血管生成素-1、血管生成素-2及血管生成素-2与血管生成素-1比值与心力衰竭的关系
Exp Ther Med. 2013 Mar;5(3):937-941. doi: 10.3892/etm.2013.893. Epub 2013 Jan 14.
2
Combination of high-sensitivity troponin I and N-terminal pro-B-type natriuretic peptide predicts future hospital admission for heart failure in high-risk hypertensive patients with preserved left ventricular ejection fraction.高敏肌钙蛋白I与N末端B型利钠肽原联合检测可预测左心室射血分数保留的高危高血压患者未来因心力衰竭住院的情况。
Heart Vessels. 2017 Jul;32(7):880-892. doi: 10.1007/s00380-017-0948-9. Epub 2017 Feb 2.
3
[Prognostic value of N-terminal B-type natriuretic peptide on all-cause mortality in heart failure patients with preserved ejection fraction].N末端B型利钠肽对射血分数保留的心力衰竭患者全因死亡率的预后价值
Zhonghua Xin Xue Guan Bing Za Zhi. 2019 Nov 24;47(11):875-881. doi: 10.3760/cma.j.issn.0253-3758.2019.11.005.
4
C-Reactive Protein and N-Terminal Pro-brain Natriuretic Peptide Levels Correlate With Impaired Cardiorespiratory Fitness in Patients With Heart Failure Across a Wide Range of Ejection Fraction.在广泛的射血分数范围内,C反应蛋白和N末端脑钠肽前体水平与心力衰竭患者心肺适能受损相关。
Front Cardiovasc Med. 2018 Dec 21;5:178. doi: 10.3389/fcvm.2018.00178. eCollection 2018.
5
N-Terminal Pro B-Type Natriuretic Peptide and High-Sensitivity Cardiac Troponin T Levels Are Related to the Extent of Hibernating Myocardium in Patients With Ischemic Heart Failure.N端前体B型利钠肽及高敏心肌肌钙蛋白T水平与缺血性心力衰竭患者冬眠心肌范围相关。
Can J Cardiol. 2017 Nov;33(11):1478-1488. doi: 10.1016/j.cjca.2017.06.012. Epub 2017 Jun 27.
6
The clinical significance of changes in cTnT, CRP and NT-proBNP levels in patients with heart failure.心力衰竭患者肌钙蛋白T(cTnT)、C反应蛋白(CRP)和N末端脑钠肽前体(NT-proBNP)水平变化的临床意义。
Am J Transl Res. 2021 Apr 15;13(4):2947-2954. eCollection 2021.
7
Angiopoietin-2 provides no incremental predictive value for the presence of obstructive coronary artery disease over N-terminal pro-brain natriuretic peptide.血管生成素-2 对存在阻塞性冠状动脉疾病的预测价值不能超过 N 端脑利钠肽前体。
J Clin Lab Anal. 2019 Oct;33(8):e22972. doi: 10.1002/jcla.22972. Epub 2019 Jul 1.
8
Plasma angiopoietin-1 level, left ventricular ejection fraction, and multivessel disease predict development of 1-year major adverse cardiovascular events in patients with acute ST elevation myocardial infarction - a pilot study.血浆血管生成素-1水平、左心室射血分数及多支血管病变可预测急性ST段抬高型心肌梗死患者1年主要不良心血管事件的发生——一项前瞻性研究。
Int J Cardiol. 2015 Mar 1;182:155-60. doi: 10.1016/j.ijcard.2014.12.172. Epub 2015 Jan 5.
9
Prognostic Value of N-Terminal Pro-B-Type Natriuretic Peptide Levels in Heart Failure Patients With and Without Atrial Fibrillation.N端前B型利钠肽水平在伴或不伴心房颤动的心力衰竭患者中的预后价值
Circ Heart Fail. 2017 Oct;10(10). doi: 10.1161/CIRCHEARTFAILURE.117.004409.
10
Urine N-terminal pro b-type natriuretic peptide is predictive of heart failure-related emergency department visits.尿 N 末端 pro B 型利钠肽可预测心力衰竭相关的急诊科就诊。
ESC Heart Fail. 2020 Oct;7(5):2672-2678. doi: 10.1002/ehf2.12856. Epub 2020 Jul 2.

引用本文的文献

1
Serum Angiopoietin-2 level increase differs between polytraumatized patients with and without central nervous system injuries.血清血管生成素-2 水平的增加在合并与不合并中枢神经系统损伤的多发伤患者中有所不同。
Sci Rep. 2023 Nov 7;13(1):19338. doi: 10.1038/s41598-023-45688-x.
2
Angiopoietin-2 Is Associated with Aortic Stiffness in Diabetes Patients in Ghana: A Case-Control Study.血管生成素-2与加纳糖尿病患者的主动脉僵硬度相关:一项病例对照研究。
Int J Vasc Med. 2023 Oct 12;2023:3155982. doi: 10.1155/2023/3155982. eCollection 2023.
3
Effect of evolocumab on the progression of intraplaque neovascularization of the carotid based on contrast-enhanced ultrasonography (EPIC study): A prospective single-arm, open-label study.

本文引用的文献

1
ESC Guidelines for the management of acute myocardial infarction in patients presenting with ST-segment elevation.ST段抬高型急性心肌梗死患者管理的欧洲心脏病学会指南
Eur Heart J. 2012 Oct;33(20):2569-619. doi: 10.1093/eurheartj/ehs215. Epub 2012 Aug 24.
2
Dynamic changes in serum angiopoietin-1, angiopoietin-2, and angiopoietin-2/angiopoietin-1 ratio in acute myocardial infarction patients treated with primary percutaneous coronary intervention.急性心肌梗死患者经皮冠状动脉介入治疗后血清血管生成素-1、血管生成素-2 及血管生成素-2/血管生成素-1 比值的动态变化。
Biomarkers. 2012 Aug;17(5):441-6. doi: 10.3109/1354750X.2012.684152. Epub 2012 May 30.
3
依洛尤单抗基于超声造影对颈动脉斑块内新生血管形成进展的影响(EPIC研究):一项前瞻性单臂、开放标签研究。
Front Pharmacol. 2023 Jan 4;13:999224. doi: 10.3389/fphar.2022.999224. eCollection 2022.
4
Biomarker profiles in heart failure with preserved vs. reduced ejection fraction: results from the DIAST-CHF study.心力衰竭射血分数保留与降低患者的生物标志物谱:DIAST-CHF 研究结果。
ESC Heart Fail. 2023 Feb;10(1):200-210. doi: 10.1002/ehf2.14167. Epub 2022 Oct 2.
5
Reduced Angiopoietin Factor 2 Levels Are Correlated with Better Cardiac Function and Prognosis in Valvular Heart Disease.血管生成素因子 2 水平降低与瓣膜性心脏病患者心功能和预后改善相关。
Braz J Cardiovasc Surg. 2023 Feb 10;38(1):104-109. doi: 10.21470/1678-9741-2021-0364.
6
Angiopoietin 1 release from human neutrophils is independent from neutrophil extracellular traps (NETs).人中性粒细胞中血管生成素 1 的释放不依赖于中性粒细胞胞外陷阱 (NETs)。
BMC Immunol. 2021 Aug 3;22(1):51. doi: 10.1186/s12865-021-00442-8.
7
Accelerating Biomarker Discovery Through Electronic Health Records, Automated Biobanking, and Proteomics.通过电子健康记录、自动化生物样本库和蛋白质组学加速生物标志物的发现。
J Am Coll Cardiol. 2019 May 7;73(17):2195-2205. doi: 10.1016/j.jacc.2019.01.074.
8
Increased levels of angiogenic factors in microvascular angina.微血管性心绞痛中血管生成因子水平升高。
Med Pharm Rep. 2019 Jan;92(1):31-35. doi: 10.15386/cjmed-1101. Epub 2019 Jan 15.
9
The Role of Cardiokines in Heart Diseases: Beneficial or Detrimental?心脏激素在心脏疾病中的作用:有益还是有害?
Biomed Res Int. 2018 Mar 18;2018:8207058. doi: 10.1155/2018/8207058. eCollection 2018.
10
Improved plaque neovascularization following 2-year atorvastatin therapy based on contrast-enhanced ultrasonography: A pilot study.基于超声造影的2年阿托伐他汀治疗后斑块新生血管形成改善:一项初步研究。
Exp Ther Med. 2018 May;15(5):4491-4497. doi: 10.3892/etm.2018.5926. Epub 2018 Mar 6.
Opposing effects of the angiopoietins on the thrombin-induced permeability of human pulmonary microvascular endothelial cells.
血管生成素对凝血酶诱导的人肺微血管内皮细胞通透性的相反作用。
PLoS One. 2011;6(8):e23448. doi: 10.1371/journal.pone.0023448. Epub 2011 Aug 15.
4
Angiopoietin-1 protects heart against ischemia/reperfusion injury through VE-cadherin dephosphorylation and myocardiac integrin-β1/ERK/caspase-9 phosphorylation cascade.血管生成素 1 通过 VE-钙黏蛋白去磷酸化和心肌整合素-β1/ERK/caspase-9 磷酸化级联反应保护心脏免受缺血/再灌注损伤。
Mol Med. 2011 Sep-Oct;17(9-10):1095-106. doi: 10.2119/molmed.2011.00106. Epub 2011 Jul 5.
5
Circulating angiopoietins-1 and -2, angiopoietin receptor Tie-2 and vascular endothelial growth factor-A as biomarkers of acute myocardial infarction: a prospective nested case-control study.循环血管生成素-1 和 -2、血管生成素受体 Tie-2 和血管内皮生长因子 A 作为急性心肌梗死的生物标志物:一项前瞻性巢式病例对照研究。
BMC Cardiovasc Disord. 2011 Jun 14;11:31. doi: 10.1186/1471-2261-11-31.
6
Angiopoietin-1 is essential in mouse vasculature during development and in response to injury.血管生成素 1 在小鼠血管发育和损伤反应中至关重要。
J Clin Invest. 2011 Jun;121(6):2278-89. doi: 10.1172/JCI46322. Epub 2011 May 23.
7
Stepwise increase of angiopoietin-2 serum levels is related to haemodynamic and functional impairment in stable chronic heart failure.血管生成素-2血清水平的逐步升高与稳定型慢性心力衰竭的血流动力学和功能损害有关。
Eur J Cardiovasc Prev Rehabil. 2011 Aug;18(4):607-14. doi: 10.1177/1741826710389410. Epub 2011 Feb 11.
8
Angiopoietin-1 and angiopoietin-2 as clinically informative prognostic biomarkers of morbidity and mortality in severe sepsis.血管生成素-1 和血管生成素-2 作为严重脓毒症发病率和死亡率的有临床意义的预后生物标志物。
Crit Care Med. 2011 Apr;39(4):702-10. doi: 10.1097/CCM.0b013e318206d285.
9
Pathogenesis of myocardial ischemia-reperfusion injury and rationale for therapy.心肌缺血-再灌注损伤的发病机制及治疗原理。
Am J Cardiol. 2010 Aug 1;106(3):360-8. doi: 10.1016/j.amjcard.2010.03.032.
10
Promoter variant of angiopoietin-2 and plasma angiopoietin-2 are associated with risk of stroke recurrence in lacunar infarct patients.血管生成素-2 启动子变异体和血浆血管生成素-2 与腔隙性梗死患者卒中复发风险相关。
Biochem Biophys Res Commun. 2010 Jul 23;398(2):212-6. doi: 10.1016/j.bbrc.2010.06.062. Epub 2010 Jun 18.