Suppr超能文献

前瞻性评估双侧胸腔镜内脏神经切断术治疗慢性胰腺炎患者的疼痛控制和生活质量。

Prospective evaluation of pain control and quality of life in patients with chronic pancreatitis following bilateral thoracoscopic splanchnicectomy.

机构信息

Department of Anesthesiology and Intensive Care, Medical Center for Postgraduate Education, Ul. Czerniakowska 231, 00-416, Warsaw, Poland,

出版信息

Surg Endosc. 2013 Oct;27(10):3639-45. doi: 10.1007/s00464-013-2937-0. Epub 2013 Apr 10.

Abstract

BACKGROUND

Abdominal pain in chronic pancreatitis (CP) is the most common symptom with a highly unfavorable impact on the quality of life. It has been shown that bilateral thoracoscopic splanchnicectomy (BTS) may produce marked pain relief for the majority of patients. The aim of this study was to evaluate the effectiveness of BTS in pain control and quality-of-life improvement in patients with a severe form of CP.

METHODS

Between April 2000 and April 2009, a total of 30 patients qualified for BTS due to CP-related pain. Their age ranged from 28 to 60 years. A 12-month follow-up period was planned for all the patients enrolled. To evaluate effectiveness of BTS, an 11-point Numeric Rating Scale (NRS) and the Quality of Life Questionnaire C-30 (QLQ-C30) in its basic form, developed by European Organization for Research and Treatment of Cancer, were used. An NRS value between 0 and 3 was considered a positive postoperative pain control result.

RESULTS

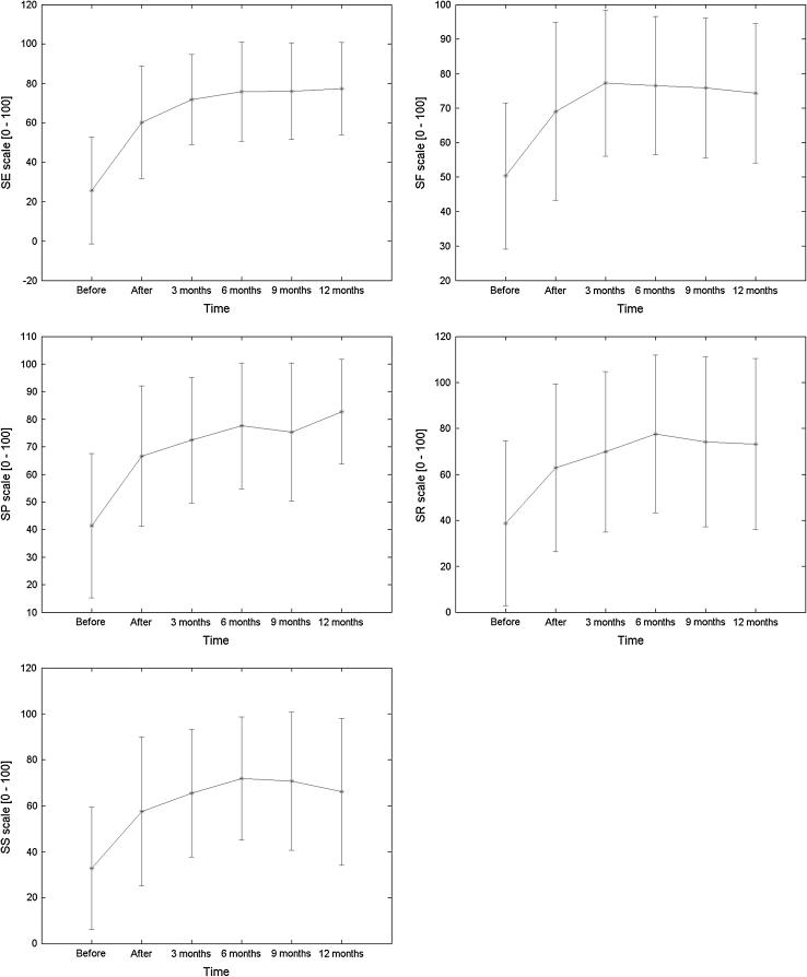
The bilateral splanchnicectomy procedure was performed successfully in 27 of 30 qualified patients. A positive effect based on decreased pain (p < 0.05) at 12 months was achieved in 24 patients (80 %). The initial change in quality of life was not significant but it gradually improved with time (preop vs. 12 months QLQ-C30 score, p < 0.001).

CONCLUSIONS

This study showed that BTS is safe and efficacious for pain alleviation in patients with severe CP. It may significantly increase the chances of a long-lasting, life-changing improvement in the quality of life.

摘要

背景

慢性胰腺炎(CP)的腹痛是最常见的症状,对生活质量有很大的不利影响。已经证明双侧胸腔镜内脏神经切断术(BTS)可能使大多数患者产生明显的疼痛缓解。本研究的目的是评估 BTS 在控制疼痛和改善严重 CP 患者生活质量方面的有效性。

方法

2000 年 4 月至 2009 年 4 月期间,共有 30 名患者因 CP 相关疼痛符合 BTS 条件。他们的年龄在 28 至 60 岁之间。所有入组患者均计划进行为期 12 个月的随访。为了评估 BTS 的有效性,使用了 11 点数字评分量表(NRS)和欧洲癌症研究与治疗组织开发的基本形式的生活质量问卷 C-30(QLQ-C30)。NRS 值在 0 到 3 之间被认为是术后疼痛控制的阳性结果。

结果

27 名符合条件的患者成功完成了双侧内脏神经切断术。24 名患者(80%)在 12 个月时达到了疼痛减轻的阳性效果(p<0.05)。初始生活质量的变化并不显著,但随着时间的推移逐渐改善(术前与 12 个月 QLQ-C30 评分,p<0.001)。

结论

本研究表明,BTS 对严重 CP 患者的疼痛缓解是安全有效的。它可能显著增加生活质量长期、改变生活的改善机会。

https://cdn.ncbi.nlm.nih.gov/pmc/blobs/10c1/3771415/1114a70e08b0/464_2013_2937_Fig1_HTML.jpg

文献AI研究员

20分钟写一篇综述,助力文献阅读效率提升50倍。

立即体验

用中文搜PubMed

大模型驱动的PubMed中文搜索引擎

马上搜索

文档翻译

学术文献翻译模型,支持多种主流文档格式。

立即体验