• 文献检索
  • 文档翻译
  • 深度研究
  • 学术资讯
  • Suppr Zotero 插件Zotero 插件
  • 邀请有礼
  • 套餐&价格
  • 历史记录
应用&插件
Suppr Zotero 插件Zotero 插件浏览器插件Mac 客户端Windows 客户端微信小程序
定价
高级版会员购买积分包购买API积分包
服务
文献检索文档翻译深度研究API 文档MCP 服务
关于我们
关于 Suppr公司介绍联系我们用户协议隐私条款
关注我们

Suppr 超能文献

核心技术专利:CN118964589B侵权必究
粤ICP备2023148730 号-1Suppr @ 2026

文献检索

告别复杂PubMed语法,用中文像聊天一样搜索,搜遍4000万医学文献。AI智能推荐,让科研检索更轻松。

立即免费搜索

文件翻译

保留排版,准确专业,支持PDF/Word/PPT等文件格式,支持 12+语言互译。

免费翻译文档

深度研究

AI帮你快速写综述,25分钟生成高质量综述,智能提取关键信息,辅助科研写作。

立即免费体验

TLR 诱导冠心病患者的 CD11b 和 L-选择素反应。

Toll-Like Receptor induced CD11b and L-selectin response in patients with coronary artery disease.

机构信息

Laboratory of Experimental Cardiology, University Medical Centre Utrecht, Utrecht, The Netherlands.

出版信息

PLoS One. 2013;8(4):e60467. doi: 10.1371/journal.pone.0060467. Epub 2013 Apr 3.

DOI:10.1371/journal.pone.0060467
PMID:23573259
原文链接:https://pmc.ncbi.nlm.nih.gov/articles/PMC3616095/
Abstract

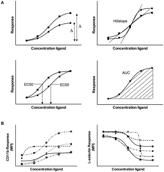
Toll-Like Receptor (TLR) -2 and -4 expression and TLR-induced cytokine response of inflammatory cells are related to atherogenesis and atherosclerotic plaque progression. We examined whether immediate TLR induced changes in CD11b and L-selectin (CD62L) expression are able to discriminate the presence and severity of atherosclerotic disease by exploring single dose whole blood TLR stimulation and detailed dose-response curves. Blood samples were obtained from 125 coronary artery disease (CAD) patients and 28 controls. CD11b and L-selectin expression on CD14+ monocytes was measured after whole blood stimulation with multiple concentrations of the TLR4 ligand LPS (0.01-10 ng/ml) and the TLR2 ligand P3C (0.5-500 ng/ml). Subsequently, dose-response curves were created and the following parameters were calculated: hillslope, EC50, area under the curve (AUC) and delta. These parameters provide information about the maximum response following activation, as well as the minimum trigger required to induce activation and the intensity of the response. CAD patients showed a significantly higher L-selectin, but not CD11b response to TLR ligation than controls after single dose stimulations as well as significant differences in the hillslope and EC50 of the dose-response curves. Within the CAD patient group, dose-response curves of L-selectin showed significant differences in the presence of hypertension, dyslipidemia, coronary occlusion and degree of stenosis, whereas CD11b expression had the strongest discriminating power after single dose stimulation. In conclusion, single dose stimulations and dose-response curves of CD11b and L-selectin expression after TLR stimulation provide diverse but limited information about atherosclerotic disease severity in stable angina patients. However, both single dose stimulation and dose-response curves of LPS-induced L-selectin expression can discriminate between controls and CAD patients.

摘要

Toll 样受体 (TLR)-2 和 -4 的表达以及 TLR 诱导的炎症细胞细胞因子反应与动脉粥样硬化形成和动脉粥样硬化斑块进展有关。我们通过研究单次全血 TLR 刺激和详细的剂量反应曲线,来检测 TLR 诱导的 CD11b 和 L-选择素(CD62L)表达的即时变化是否能够通过探索单一剂量全血 TLR 刺激和详细的剂量反应曲线来区分动脉粥样硬化疾病的存在和严重程度。从 125 名冠心病 (CAD) 患者和 28 名对照者中采集血样。用不同浓度的 TLR4 配体 LPS(0.01-10ng/ml)和 TLR2 配体 P3C(0.5-500ng/ml)刺激全血后,测量 CD14+单核细胞上的 CD11b 和 L-选择素表达。随后,创建剂量反应曲线,并计算以下参数:坡度、EC50、曲线下面积 (AUC) 和 delta。这些参数提供了关于激活后最大反应以及激活所需的最小触发和反应强度的信息。与单次刺激后对照组相比,CAD 患者在 TLR 连接后显示出更高的 L-选择素但不是 CD11b 反应,并且在剂量反应曲线的坡度和 EC50 方面也存在显著差异。在 CAD 患者组中,L-选择素的剂量反应曲线在高血压、血脂异常、冠状动脉阻塞和狭窄程度存在差异,而 CD11b 表达在单次刺激后具有最强的区分能力。总之,TLR 刺激后 CD11b 和 L-选择素表达的单次剂量刺激和剂量反应曲线为稳定型心绞痛患者提供了关于动脉粥样硬化严重程度的多样化但有限的信息。然而,LPS 诱导的 L-选择素表达的单次剂量刺激和剂量反应曲线都可以区分对照组和 CAD 患者。

https://cdn.ncbi.nlm.nih.gov/pmc/blobs/8c73/3616095/72f80ab5a8c9/pone.0060467.g004.jpg
https://cdn.ncbi.nlm.nih.gov/pmc/blobs/8c73/3616095/e056424e66e3/pone.0060467.g001.jpg
https://cdn.ncbi.nlm.nih.gov/pmc/blobs/8c73/3616095/d6281dcaa494/pone.0060467.g002.jpg
https://cdn.ncbi.nlm.nih.gov/pmc/blobs/8c73/3616095/b78155445fd4/pone.0060467.g003.jpg
https://cdn.ncbi.nlm.nih.gov/pmc/blobs/8c73/3616095/72f80ab5a8c9/pone.0060467.g004.jpg
https://cdn.ncbi.nlm.nih.gov/pmc/blobs/8c73/3616095/e056424e66e3/pone.0060467.g001.jpg
https://cdn.ncbi.nlm.nih.gov/pmc/blobs/8c73/3616095/d6281dcaa494/pone.0060467.g002.jpg
https://cdn.ncbi.nlm.nih.gov/pmc/blobs/8c73/3616095/b78155445fd4/pone.0060467.g003.jpg
https://cdn.ncbi.nlm.nih.gov/pmc/blobs/8c73/3616095/72f80ab5a8c9/pone.0060467.g004.jpg

相似文献

1
Toll-Like Receptor induced CD11b and L-selectin response in patients with coronary artery disease.TLR 诱导冠心病患者的 CD11b 和 L-选择素反应。
PLoS One. 2013;8(4):e60467. doi: 10.1371/journal.pone.0060467. Epub 2013 Apr 3.
2
Increased cytokine response after toll-like receptor stimulation in patients with stable coronary artery disease.稳定型冠状动脉疾病患者 Toll 样受体刺激后细胞因子反应增强。
Atherosclerosis. 2013 Dec;231(2):346-51. doi: 10.1016/j.atherosclerosis.2013.09.036. Epub 2013 Oct 10.
3
Fractional flow reserve is not associated with inflammatory markers in patients with stable coronary artery disease.在稳定性冠心病患者中,血流储备分数与炎症标志物无关。
PLoS One. 2012;7(10):e46356. doi: 10.1371/journal.pone.0046356. Epub 2012 Oct 16.
4
Toll-like receptor 2 and 4 stimulation elicits an enhanced inflammatory response in human obese patients with atherosclerosis.Toll 样受体 2 和 4 的刺激会在人类肥胖合并动脉粥样硬化患者中引发增强的炎症反应。
Clin Sci (Lond). 2011 Sep;121(5):205-14. doi: 10.1042/CS20100601.
5
Toll-like receptor (TLR)2 and TLR4 in human peripheral blood granulocytes: a critical role for monocytes in leukocyte lipopolysaccharide responses.人外周血粒细胞中的Toll样受体(TLR)2和TLR4:单核细胞在白细胞脂多糖反应中的关键作用。
J Immunol. 2002 May 1;168(9):4701-10. doi: 10.4049/jimmunol.168.9.4701.
6
Monocyte toll-like receptor 2 and 4 responses and expression following percutaneous coronary intervention: association with lesion stenosis and fractional flow reserve.经皮冠状动脉介入治疗后单核细胞Toll样受体2和4的反应及表达:与病变狭窄和血流储备分数的关系
Heart. 2008 Jun;94(6):770-6. doi: 10.1136/hrt.2007.117259. Epub 2007 Aug 8.
7
Inducible cardiac ischaemia is related to a decrease in the whole-blood Toll-like receptor 2 and 4 response.可诱导性心肌缺血与全血 Toll 样受体 2 和 4 反应的下降有关。
Clin Sci (Lond). 2012 Jun;122(11):527-33. doi: 10.1042/CS20110323.
8
Toll-like receptor (TLR) 2 agonists ameliorate indomethacin-induced murine ileitis by suppressing the TLR4 signaling.Toll样受体(TLR)2激动剂通过抑制TLR4信号传导改善吲哚美辛诱导的小鼠回肠炎。
J Gastroenterol Hepatol. 2015 Nov;30(11):1610-7. doi: 10.1111/jgh.12980.
9
Role of angiotensin II type 1 receptor in the regulation of cellular adhesion molecules in atherosclerosis.血管紧张素II 1型受体在动脉粥样硬化中对细胞黏附分子的调节作用。
Am Heart J. 2001 Aug;142(2):248-53. doi: 10.1067/mhj.2001.116699.
10
Low dose LPS does not increase TLR4 expression on monocytes in a human in vivo model.低剂量 LPS 在人体体内模型中不会增加单核细胞上 TLR4 的表达。
Cytokine. 2013 Jul;63(1):74-80. doi: 10.1016/j.cyto.2013.04.014. Epub 2013 May 11.

引用本文的文献

1
Serum sSelectin-L is an early specific indicator of radiation injury.血清s选择素-L是辐射损伤的早期特异性指标。
Heliyon. 2024 May 8;10(10):e30527. doi: 10.1016/j.heliyon.2024.e30527. eCollection 2024 May 30.

本文引用的文献

1
Inducible cardiac ischaemia is related to a decrease in the whole-blood Toll-like receptor 2 and 4 response.可诱导性心肌缺血与全血 Toll 样受体 2 和 4 反应的下降有关。
Clin Sci (Lond). 2012 Jun;122(11):527-33. doi: 10.1042/CS20110323.
2
L-selectin--a dynamic regulator of leukocyte migration.L-选择素——白细胞迁移的动态调节剂。
Eur J Cell Biol. 2012 Apr;91(4):257-64. doi: 10.1016/j.ejcb.2011.02.007. Epub 2011 May 4.
3
The association of L-selectin polymorphisms with L-selectin serum levels and risk of ischemic stroke.
L-选择素多态性与 L-选择素血清水平及缺血性卒中风险的关联。
J Thromb Thrombolysis. 2011 Jul;32(1):110-5. doi: 10.1007/s11239-011-0587-4.
4
Toll-like receptor 2 and 4 stimulation elicits an enhanced inflammatory response in human obese patients with atherosclerosis.Toll 样受体 2 和 4 的刺激会在人类肥胖合并动脉粥样硬化患者中引发增强的炎症反应。
Clin Sci (Lond). 2011 Sep;121(5):205-14. doi: 10.1042/CS20100601.
5
Lipopolysaccharide-induced expression of cell surface receptors and cell activation of neutrophils and monocytes in whole human blood.脂多糖诱导全人血中中性粒细胞和单核细胞表面受体表达和细胞激活。
Braz J Med Biol Res. 2010 Sep;43(9):853-8. doi: 10.1590/s0100-879x2010007500078. Epub 2010 Aug 16.
6
Toll-like receptor 2 and 4 response and expression on monocytes decrease rapidly in patients undergoing arterial surgery and are related to preoperative smoking.在接受动脉手术的患者中,单核细胞上的Toll样受体2和4反应及表达迅速降低,且与术前吸烟有关。
Shock. 2009 Jan;31(1):21-7. doi: 10.1097/SHK.0b013e31817d43bf.
7
Local expression of Toll-like receptor 4 at the site of ruptured plaques in patients with acute myocardial infarction.急性心肌梗死患者破裂斑块部位Toll样受体4的局部表达。
Clin Sci (Lond). 2008 Aug;115(4):133-40. doi: 10.1042/CS20070379.
8
Monocyte toll-like receptor 2 and 4 responses and expression following percutaneous coronary intervention: association with lesion stenosis and fractional flow reserve.经皮冠状动脉介入治疗后单核细胞Toll样受体2和4的反应及表达:与病变狭窄和血流储备分数的关系
Heart. 2008 Jun;94(6):770-6. doi: 10.1136/hrt.2007.117259. Epub 2007 Aug 8.
9
Expansion of circulating Toll-like receptor 4-positive monocytes in patients with acute coronary syndrome.急性冠状动脉综合征患者循环中Toll样受体4阳性单核细胞的扩增。
Circulation. 2005 May 24;111(20):2654-61. doi: 10.1161/CIRCULATIONAHA.104.498865. Epub 2005 May 9.
10
Characterization of the expression of TLR2 (toll-like receptor 2) and TLR4 on circulating monocytes in coronary artery disease.冠状动脉疾病中循环单核细胞上TLR2(Toll样受体2)和TLR4表达的特征分析
J Atheroscler Thromb. 2005;12(1):53-60. doi: 10.5551/jat.12.53.