Suppr超能文献

头部计算机断层扫描测量作为低温治疗的缺氧缺血性脑损伤患者预后的早期预测指标。

Head Computed Tomographic measurement as an early predictor of outcome in hypoxic-ischemic brain damage patients treated with hypothermia therapy.

作者信息

Yamamura Hitoshi, Kaga Shinichiro, Kaneda Kazuhisa, Yamamoto Tomonori, Mizobata Yasumitsu

出版信息

Scand J Trauma Resusc Emerg Med. 2013 May 14;21:37. doi: 10.1186/1757-7241-21-37.

Abstract

BACKGROUND

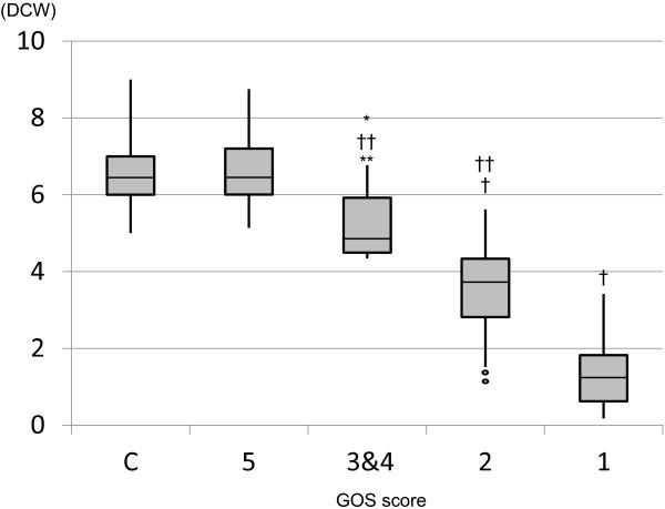
Neurological abnormalities are a key factor in the prognosis of patients with post-cardiac arrest syndrome. In this study, we evaluated whether differences in CT measurements expressed in Hounsfield units (HUs) of the cerebral cortex and white matter can be used as early predictors of neurological outcome in patients treated with hypothermia therapy after hypoxic-ischemic brain damage.

METHODS

We performed a retrospective study of 58 patients resuscitated after cardiac arrest between 2007 and 2010 who were treated with hypothermia therapy for the initial 24 hours post resuscitation. We divided the patients into 4 groups according to Glasgow Outcome Scale (GOS) score (GOS 1, GOS 2, GOS 3&4, and GOS 5) and assessed the correlations between GOS scores and HU differences between the cerebral cortex and white matter (DCW).

RESULTS

The HU values of the cerebral cortex gradually decreased in accordance with worsening of neurological outcome. There were no significant intergroup differences in the HUs of the white matter among the groups. The DCW values were higher in patients with good neurological outcomes. The cut-off value for DCW indicative of poor neurological outcome was less than 5.5 in the GOS 1&2 groups, with a sensitivity of 63% and a specificity of 100%.

CONCLUSIONS

This study showed that DCW values may be used for the prediction of neurological outcome of patients with post-cardiac arrest syndrome in the very early phase following the return of spontaneous circulation. Especially, a cut-off value for DCW of less than 5.5 may indicate poor neurological outcome.

摘要

背景

神经功能异常是心脏骤停后综合征患者预后的关键因素。在本研究中,我们评估了大脑皮质和白质以亨氏单位(HUs)表示的CT测量值差异是否可作为缺氧缺血性脑损伤后接受低温治疗患者神经功能结局的早期预测指标。

方法

我们对2007年至2010年间心脏骤停复苏后的58例患者进行了回顾性研究,这些患者在复苏后的最初24小时接受了低温治疗。我们根据格拉斯哥预后量表(GOS)评分将患者分为4组(GOS 1、GOS 2、GOS 3&4和GOS 5),并评估GOS评分与大脑皮质和白质之间的HU差异(DCW)的相关性。

结果

大脑皮质的HU值随着神经功能结局的恶化而逐渐降低。各组间白质的HU值无显著差异。神经功能结局良好的患者DCW值较高。在GOS 1&2组中,提示神经功能结局不良的DCW临界值小于5.5,敏感性为63%,特异性为100%。

结论

本研究表明,DCW值可用于预测心脏骤停后综合征患者自主循环恢复后极早期的神经功能结局。特别是,DCW临界值小于5.5可能表明神经功能结局不良。

https://cdn.ncbi.nlm.nih.gov/pmc/blobs/b284/3661338/23b836981300/1757-7241-21-37-1.jpg

文献检索

告别复杂PubMed语法,用中文像聊天一样搜索,搜遍4000万医学文献。AI智能推荐,让科研检索更轻松。

立即免费搜索

文件翻译

保留排版,准确专业,支持PDF/Word/PPT等文件格式,支持 12+语言互译。

免费翻译文档

深度研究

AI帮你快速写综述,25分钟生成高质量综述,智能提取关键信息,辅助科研写作。

立即免费体验