• 文献检索
  • 文档翻译
  • 深度研究
  • 学术资讯
  • Suppr Zotero 插件Zotero 插件
  • 邀请有礼
  • 套餐&价格
  • 历史记录
应用&插件
Suppr Zotero 插件Zotero 插件浏览器插件Mac 客户端Windows 客户端微信小程序
定价
高级版会员购买积分包购买API积分包
服务
文献检索文档翻译深度研究API 文档MCP 服务
关于我们
关于 Suppr公司介绍联系我们用户协议隐私条款
关注我们

Suppr 超能文献

核心技术专利:CN118964589B侵权必究
粤ICP备2023148730 号-1Suppr @ 2026

文献检索

告别复杂PubMed语法,用中文像聊天一样搜索,搜遍4000万医学文献。AI智能推荐,让科研检索更轻松。

立即免费搜索

文件翻译

保留排版,准确专业,支持PDF/Word/PPT等文件格式,支持 12+语言互译。

免费翻译文档

深度研究

AI帮你快速写综述,25分钟生成高质量综述,智能提取关键信息,辅助科研写作。

立即免费体验

你能弯多低、弯多久?体姿对家犬胸腰椎间盘突出症风险的影响。

How long and low can you go? Effect of conformation on the risk of thoracolumbar intervertebral disc extrusion in domestic dogs.

机构信息

Department of Production and Population Health, Royal Veterinary College, University of London, Hertfordshire, United Kingdom.

出版信息

PLoS One. 2013 Jul 24;8(7):e69650. doi: 10.1371/journal.pone.0069650. Print 2013.

DOI:10.1371/journal.pone.0069650
PMID:23894518
原文链接:https://pmc.ncbi.nlm.nih.gov/articles/PMC3722130/
Abstract

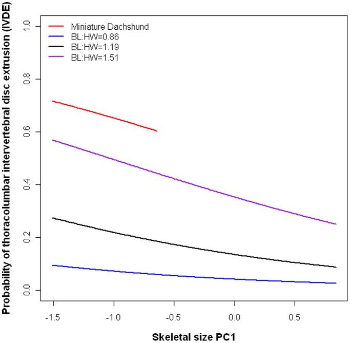
Intervertebral disc extrusion (IVDE) is a common neurological disorder in certain dog breeds, resulting in spinal cord compression and injury that can cause pain and neurological deficits. Most disc extrusions are reported in chondrodystrophic breeds (e.g. Dachshunds, Basset Hounds, Pekingese), where selection for 'long and low' morphologies is linked with intervertebral discs abnormalities that predispose dogs to IVDE. The aim of this study was to quantify the relationship between relative thoracolumbar vertebral column length and IVDE risk in diverse breeds. A 14 month cross-sectional study of dogs entering a UK small animal referral hospital for diverse disorders including IVDE was carried out. Dogs were measured on breed-defining morphometrics, including back length (BL) and height at the withers (HW). Of 700 dogs recruited from this referral population, measured and clinically examined, 79 were diagnosed with thoracolumbar IVDE following diagnostic imaging ± surgery. The BL:HW ratio was positively associated with IVDE risk, indicating that relatively longer dogs were at increased risk, e.g. the probability of IVDE was 0.30 for Miniature Dachshunds when BL:HW ratio equalled 1.1, compared to 0.68 when BL:HW ratio equalled 1.5. Additionally, both being overweight and skeletally smaller significantly increased IVDE risk. Therefore, selection for longer backs and miniaturisation should be discouraged in high-risk breeds to reduce IVDE risk. In higher risk individuals, maintaining a lean body shape is particularly important to reduce the risk of IVDE. Results are reported as probabilities to aid decision-making regarding breed standards and screening programmes reflecting the degree of risk acceptable to stakeholders.

摘要

椎间盘突出症(IVDE)是某些犬种常见的神经疾病,导致脊髓受压和损伤,可引起疼痛和神经功能缺损。大多数椎间盘突出症发生在软骨发育不良的品种(例如达克斯猎犬、巴塞特猎犬、北京犬)中,这些品种的选择是为了“长而低”的形态,与椎间盘异常有关,使犬易患 IVDE。本研究的目的是量化不同品种中胸腰椎柱长度与 IVDE 风险之间的关系。对进入英国小型动物转诊医院治疗包括 IVDE 在内的各种疾病的犬进行了为期 14 个月的横断面研究。对犬进行了品种定义的形态学测量,包括背长(BL)和肩高(HW)。在从该转诊人群中招募的 700 只犬中,有 79 只在经过诊断性成像检查±手术诊断为胸腰椎 IVDE。BL:HW 比值与 IVDE 风险呈正相关,表明相对较长的犬患该病的风险增加,例如当 BL:HW 比值等于 1.1 时,迷你达克斯猎犬发生 IVDE 的概率为 0.30,而当 BL:HW 比值等于 1.5 时,其概率为 0.68。此外,超重和骨骼较小都会显著增加 IVDE 风险。因此,应避免在高风险品种中选择较长的背部和微型化,以降低 IVDE 风险。在高风险个体中,保持瘦身体型尤为重要,以降低 IVDE 的风险。结果以概率表示,有助于就品种标准和筛选计划做出决策,反映利益相关者可接受的风险程度。

https://cdn.ncbi.nlm.nih.gov/pmc/blobs/c9c4/3722130/712a5082fb68/pone.0069650.g003.jpg
https://cdn.ncbi.nlm.nih.gov/pmc/blobs/c9c4/3722130/c65077c403e8/pone.0069650.g001.jpg
https://cdn.ncbi.nlm.nih.gov/pmc/blobs/c9c4/3722130/994599f5f151/pone.0069650.g002.jpg
https://cdn.ncbi.nlm.nih.gov/pmc/blobs/c9c4/3722130/712a5082fb68/pone.0069650.g003.jpg
https://cdn.ncbi.nlm.nih.gov/pmc/blobs/c9c4/3722130/c65077c403e8/pone.0069650.g001.jpg
https://cdn.ncbi.nlm.nih.gov/pmc/blobs/c9c4/3722130/994599f5f151/pone.0069650.g002.jpg
https://cdn.ncbi.nlm.nih.gov/pmc/blobs/c9c4/3722130/712a5082fb68/pone.0069650.g003.jpg

相似文献

1
How long and low can you go? Effect of conformation on the risk of thoracolumbar intervertebral disc extrusion in domestic dogs.你能弯多低、弯多久?体姿对家犬胸腰椎间盘突出症风险的影响。
PLoS One. 2013 Jul 24;8(7):e69650. doi: 10.1371/journal.pone.0069650. Print 2013.
2
Incidence and clinical characterisation of thoracolumbar intervertebral disc extrusions in Basset Hounds compared with Dachshunds.比格犬与达克斯猎犬胸腰椎间盘突出症的发病率及临床特征比较。
Vet Rec. 2024 Jan 6;194(1):e3212. doi: 10.1002/vetr.3212. Epub 2023 Jul 16.
3
Thoracic to lumbar vertebral column length and length ratios in miniature dachshunds with and without thoracolumbar intervertebral disc extrusion.胸腰椎柱长度和长度比在有无胸腰椎间盘突出的迷你腊肠犬中的变化。
Vet Rec. 2023 Sep 20;193(6):e3057. doi: 10.1002/vetr.3057. Epub 2023 Jun 3.
4
Thoracolumbar hydrated nucleus pulposus extrusion and intervertebral disc extrusion in dogs: Comparison of clinical presentation and magnetic resonance imaging findings.犬的胸腰椎含水髓核突出和椎间盘突出:临床表现和磁共振成像表现的比较。
Vet J. 2024 Aug;306:106178. doi: 10.1016/j.tvjl.2024.106178. Epub 2024 Jun 19.
5
Characteristics of and risk factors for intervertebral disk extrusions in Pekingese.北京犬椎间盘突出的特征及危险因素
J Am Vet Med Assoc. 2018 Apr 1;252(7):846-851. doi: 10.2460/javma.252.7.846.
6
A comparison of thoracolumbar intervertebral disc extrusion in French Bulldogs and Dachshunds and association with congenital vertebral anomalies.法国斗牛犬和腊肠犬胸腰椎椎间盘突出症的比较及其与先天性椎体异常的关联
Vet Surg. 2014 Mar;43(3):301-7. doi: 10.1111/j.1532-950X.2014.12102.x. Epub 2014 Jan 16.
7
Agreement of surgeon's perception of the effectiveness of spinal cord decompression with findings on postoperative magnetic resonance imaging for dogs surgically treated for intervertebral disk extrusion.外科医生对脊髓减压效果的认知与接受椎间盘突出手术治疗的犬只术后磁共振成像结果的一致性。
J Am Vet Med Assoc. 2020 Jan 15;256(2):210-219. doi: 10.2460/javma.256.2.210.
8
Clinical characterization of thoracolumbar and lumbar intervertebral disk extrusions in English Cocker Spaniels.英国可卡犬胸腰椎和腰椎椎间盘突出症的临床特征
J Am Vet Med Assoc. 2016 Feb 15;248(4):405-12. doi: 10.2460/javma.248.4.405.
9
Risk factors associated with progressive myelomalacia in dogs with complete sensorimotor loss following intervertebral disc extrusion: a retrospective case-control study.与椎间盘突出后完全感觉运动丧失的犬进行性骨髓软化症相关的风险因素:回顾性病例对照研究。
BMC Vet Res. 2019 Dec 3;15(1):433. doi: 10.1186/s12917-019-2186-0.
10
Recurrent thoracolumbar intervertebral disc extrusion after hemilaminectomy and concomitant prophylactic fenestration in 662 chondrodystrophic dogs.662只软骨发育不良犬在半椎板切除术及同期预防性开窗术后复发性胸腰椎椎间盘突出症
Vet Surg. 2012 Apr;41(3):381-90. doi: 10.1111/j.1532-950X.2012.00970.x. Epub 2012 Mar 1.

引用本文的文献

1
Post-operative complications following cervical ventral slot in dogs: a retrospective review of the influence of prophylactic fenestration and chondrodystrophy in 593 cases.犬颈椎前路开槽术后并发症:对593例预防性开窗和软骨发育不良影响的回顾性研究
Front Vet Sci. 2025 Jul 29;12:1616461. doi: 10.3389/fvets.2025.1616461. eCollection 2025.
2
Evaluation of Attenuation of Lumbar Epaxial Musculature in Dogs with Spinal Pathology.患有脊柱疾病犬的腰背部轴上肌肉衰减评估
Animals (Basel). 2025 May 19;15(10):1468. doi: 10.3390/ani15101468.
3
Comparison of Clinical Features of Intervertebral Disc Extrusions in English Cocker Spaniels, French Bulldogs and Dachshunds.

本文引用的文献

1
Intervertebral disc degeneration in the dog. Part 2: chondrodystrophic and non-chondrodystrophic breeds.犬的椎间盘退行性变。第 2 部分:软骨发育不良和非软骨发育不良品种。
Vet J. 2013 Mar;195(3):292-9. doi: 10.1016/j.tvjl.2012.10.011. Epub 2012 Nov 12.
2
Intervertebral disc disease in dogs - part 2: comparison of clinical, magnetic resonance imaging, and histological findings in 74 surgically treated dogs.犬椎间盘疾病 - 第 2 部分:74 只手术治疗犬的临床、磁共振成像和组织学检查结果比较。
Vet J. 2013 Feb;195(2):164-71. doi: 10.1016/j.tvjl.2012.06.001. Epub 2012 Jul 12.
3
Intervertebral disc disease in dogs - part 1: a new histological grading scheme for classification of intervertebral disc degeneration in dogs.
英国可卡犬、法国斗牛犬和腊肠犬椎间盘突出临床特征的比较。
Animals (Basel). 2025 Feb 19;15(4):602. doi: 10.3390/ani15040602.
4
Clinical presentation, magnetic resonance imaging findings, and outcome of 80 Dachshunds with cervical intervertebral disc extrusion.80只患有颈椎间盘突出症的腊肠犬的临床表现、磁共振成像结果及预后
Front Vet Sci. 2024 Aug 29;11:1438300. doi: 10.3389/fvets.2024.1438300. eCollection 2024.
5
Prioritization of Appearance over Health and Temperament Is Detrimental to the Welfare of Purebred Dogs and Cats.将外貌置于健康和性情之上对纯种犬猫的福利有害。
Animals (Basel). 2024 Mar 25;14(7):1003. doi: 10.3390/ani14071003.
6
Ethical Concerns about Fashionable Dog Breeding.对时尚犬种繁育的伦理考量。
Animals (Basel). 2024 Feb 28;14(5):756. doi: 10.3390/ani14050756.
7
Cervical intervertebral disc disease in 60 Yorkshire terriers.60只约克夏梗犬的颈椎间盘疾病
Front Vet Sci. 2023 May 12;10:1148802. doi: 10.3389/fvets.2023.1148802. eCollection 2023.
8
Recurrence of signs consistent with cervical intervertebral disc extrusion in dogs.犬颈椎间盘突出症复发的症状。
J Small Anim Pract. 2022 Jun;63(6):454-459. doi: 10.1111/jsap.13480. Epub 2022 Feb 10.
9
Evaluation of the Radial Procurvatum Using the Center of Rotation of Angulation Methodology in Chondrodystrophic Dogs.使用成角旋转中心方法评估软骨发育不良犬的桡骨前弯
Front Vet Sci. 2022 Jan 3;8:774993. doi: 10.3389/fvets.2021.774993. eCollection 2021.
10
French Bulldogs differ to other dogs in the UK in propensity for many common disorders: a VetCompass study.一项VetCompass研究表明,法国斗牛犬在英国与其他犬种相比,患许多常见疾病的倾向有所不同。
Canine Med Genet. 2021 Dec 16;8(1):13. doi: 10.1186/s40575-021-00112-3.
犬椎间盘疾病——第 1 部分:犬椎间盘退变的一种新的组织学分级方案。
Vet J. 2013 Feb;195(2):156-63. doi: 10.1016/j.tvjl.2012.05.027. Epub 2012 Jul 11.
4
Incidence of intervertebral disk degeneration-related diseases and associated mortality rates in dogs.犬椎间盘退变相关疾病的发病率及相关死亡率
J Am Vet Med Assoc. 2012 Jun 1;240(11):1300-9. doi: 10.2460/javma.240.11.1300.
5
Residual herniated disc material following hemilaminectomy in chondrodystrophic dogs with thoracolumbar intervertebral disc disease.患有胸腰椎椎间盘疾病的软骨发育不良犬行半椎板切除术后残留的椎间盘突出物。
Vet Comp Orthop Traumatol. 2012;25(2):109-15. doi: 10.3415/VCOT-11-05-0075. Epub 2012 Jan 27.
6
Genome-wide association study in Dachshund: identification of a major locus affecting intervertebral disc calcification.全基因组关联研究在达克斯猎犬中:鉴定影响椎间盘钙化的主要位点。
J Hered. 2011 Sep-Oct;102 Suppl 1:S81-6. doi: 10.1093/jhered/esr021.
7
Comparison of the effect of single-site and multiple-site disk fenestration on the rate of recurrence of thoracolumbar intervertebral disk herniation in dogs.单部位与多部位椎间盘开窗术对犬胸腰椎椎间盘突出症复发率影响的比较。
J Am Vet Med Assoc. 2011 Jun 15;238(12):1593-600. doi: 10.2460/javma.238.12.1593.
8
The dog as an animal model for intervertebral disc degeneration?犬作为椎间盘退变的动物模型?
Spine (Phila Pa 1976). 2012 Mar 1;37(5):351-8. doi: 10.1097/BRS.0b013e31821e5665.
9
Clinical, pathologic, and magnetic resonance imaging characteristics of canine disc extrusion accompanied by epidural hemorrhage or inflammation.犬椎间盘突出伴硬膜外出血或炎症的临床、病理及磁共振成像特征
Vet Radiol Ultrasound. 2011 Jan-Feb;52(1):17-24.
10
Microfenestration using the CUSA Excel ultrasonic aspiration system in chondrodystrophic dogs with thoracolumbar disk extrusion: a descriptive cadaveric and clinical study.在患有胸腰椎椎间盘突出的软骨发育不良犬中使用CUSA Excel超声吸引系统进行微开窗术:一项描述性尸体解剖和临床研究。
Vet Surg. 2011 Jan;40(1):34-9. doi: 10.1111/j.1532-950X.2010.00780.x. Epub 2010 Dec 23.