• 文献检索
  • 文档翻译
  • 深度研究
  • 学术资讯
  • Suppr Zotero 插件Zotero 插件
  • 邀请有礼
  • 套餐&价格
  • 历史记录
应用&插件
Suppr Zotero 插件Zotero 插件浏览器插件Mac 客户端Windows 客户端微信小程序
定价
高级版会员购买积分包购买API积分包
服务
文献检索文档翻译深度研究API 文档MCP 服务
关于我们
关于 Suppr公司介绍联系我们用户协议隐私条款
关注我们

Suppr 超能文献

核心技术专利:CN118964589B侵权必究
粤ICP备2023148730 号-1Suppr @ 2026

文献检索

告别复杂PubMed语法,用中文像聊天一样搜索,搜遍4000万医学文献。AI智能推荐,让科研检索更轻松。

立即免费搜索

文件翻译

保留排版,准确专业,支持PDF/Word/PPT等文件格式,支持 12+语言互译。

免费翻译文档

深度研究

AI帮你快速写综述,25分钟生成高质量综述,智能提取关键信息,辅助科研写作。

立即免费体验

小儿白内障手术后的眼压升高:基线特征和第一年报告。

Ocular hypertension after pediatric cataract surgery: baseline characteristics and first-year report.

机构信息

State Key Laboratory of Ophthalmology, Zhongshan Ophthalmic Center, Sun Yat-sen University, Guangzhou, China.

出版信息

PLoS One. 2013 Jul 29;8(7):e69867. doi: 10.1371/journal.pone.0069867. Print 2013.

DOI:10.1371/journal.pone.0069867
PMID:23922832
原文链接:https://pmc.ncbi.nlm.nih.gov/articles/PMC3726742/
Abstract

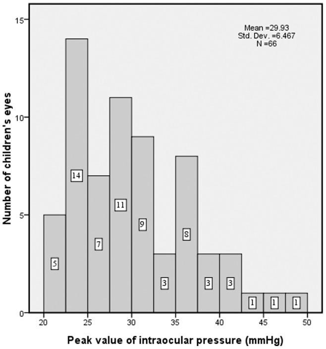
Monitoring intraocular pressure (IOP) is essential for pediatric cataract treatment but always difficult due to lack of cooperation in young children. We present the baseline characteristics and the first-year results of a long-term prospective cohort study, which are aimed to determine the relationship of the incidence of ocular hypertension (OH) in children after cataract surgery during the first-year period and the risk of developing late-onset glaucoma. Children were included with the following criteria: they were ≤10 years old and scheduled to undergo cataract surgery with/without intraocular lens implantation; they were compliant with our follow-up protocol, which included monitoring IOP using a Tono-Pen under sedation or anesthesia. Incidence of OH, peak OH value, OH onset time and OH duration within a 12-month period following surgery were measured. In brief, 206 patients (379 eyes) were included and OH developed in 66 of 379 (17.4%) eyes. The mean follow-up period was 14.0±3.2 months (median, 12 months; range, 10-16 months). Moreover, 33 of 196 (16.8%) aphakic eyes and 33 of 183 (18.0%) IOL eyes were diagnosed with OH. The peak OH onset times were at 1-week (34/66, 51.5%) and 1-month (14/66, 21.2%) appointments postsurgery. The peak IOP value in the OH eyes was 29.9±7.5 mmHg (median, 29 mmHg; range, 21-48 mmHg). The duration of OH was 30.9±31.2 days (median, 30 days; range, 3-150 days). OH recurred in 13 eyes with a history of OH diagnosed within 1 month postsurgery (13/54, 24.1%), which needed temporary or long term use of antiglaucoma medications. In conclusion, the incidence of OH in children after cataract surgery was 17.4% during the first-year period. Children who have suffered elevated IOP in the first year after cataract surgery should be followed closely to determine if there is an increased risk of developing late-onset glaucoma.

摘要

监测眼内压(IOP)对于小儿白内障治疗至关重要,但由于幼儿合作性差,监测一直很困难。我们介绍了一项长期前瞻性队列研究的基线特征和第一年结果,旨在确定白内障手术后第一年儿童发生高眼压(OH)的发生率与迟发性青光眼发病风险的关系。纳入标准为:年龄≤10 岁,拟行白内障手术合并/不合并人工晶状体植入术;患儿能配合我们的随访方案,即通过镇静或麻醉下的 Tono-Pen 监测 IOP。测量术后 12 个月内 OH 的发生率、OH 的峰值眼压、OH 发病时间和 OH 持续时间。本研究共纳入 206 例(379 只眼)患儿,其中 66 只眼(17.4%)发生 OH。平均随访时间为 14.0±3.2 个月(中位数为 12 个月,范围为 10-16 个月)。此外,196 例无晶状体眼中有 33 只(16.8%)和 183 例人工晶状体眼中有 33 只(18.0%)诊断为 OH。OH 的峰值眼压发生时间为术后 1 周(34/66,51.5%)和 1 个月(14/66,21.2%)。OH 眼的峰值眼压为 29.9±7.5mmHg(中位数为 29mmHg,范围为 21-48mmHg)。OH 的持续时间为 30.9±31.2 天(中位数为 30 天,范围为 3-150 天)。在术后 1 个月内已诊断出 OH 的 13 只眼(13/54,24.1%)中,有 13 只眼再次发生 OH,需要临时或长期使用抗青光眼药物。综上所述,白内障术后儿童在第一年期间发生 OH 的比例为 17.4%。白内障术后 1 年内眼压升高的患儿应密切随访,以确定是否有发生迟发性青光眼的风险增加。

https://cdn.ncbi.nlm.nih.gov/pmc/blobs/fc4e/3726742/f1732c7bf0a7/pone.0069867.g004.jpg
https://cdn.ncbi.nlm.nih.gov/pmc/blobs/fc4e/3726742/99fc647bf22e/pone.0069867.g001.jpg
https://cdn.ncbi.nlm.nih.gov/pmc/blobs/fc4e/3726742/61af561ae5a8/pone.0069867.g002.jpg
https://cdn.ncbi.nlm.nih.gov/pmc/blobs/fc4e/3726742/4f943df2a0c5/pone.0069867.g003.jpg
https://cdn.ncbi.nlm.nih.gov/pmc/blobs/fc4e/3726742/f1732c7bf0a7/pone.0069867.g004.jpg
https://cdn.ncbi.nlm.nih.gov/pmc/blobs/fc4e/3726742/99fc647bf22e/pone.0069867.g001.jpg
https://cdn.ncbi.nlm.nih.gov/pmc/blobs/fc4e/3726742/61af561ae5a8/pone.0069867.g002.jpg
https://cdn.ncbi.nlm.nih.gov/pmc/blobs/fc4e/3726742/4f943df2a0c5/pone.0069867.g003.jpg
https://cdn.ncbi.nlm.nih.gov/pmc/blobs/fc4e/3726742/f1732c7bf0a7/pone.0069867.g004.jpg

相似文献

1
Ocular hypertension after pediatric cataract surgery: baseline characteristics and first-year report.小儿白内障手术后的眼压升高:基线特征和第一年报告。
PLoS One. 2013 Jul 29;8(7):e69867. doi: 10.1371/journal.pone.0069867. Print 2013.
2
Aphakic glaucoma after congenital cataract surgery with and without intraocular lens implantation.先天性白内障手术后有无人工晶状体植入的无晶状体性青光眼
Klin Oczna. 2010;112(4-6):105-7.
3
Reasons for early ocular hypertension after uneventful cataract surgery.白内障手术顺利后早期眼压升高的原因。
Eur J Ophthalmol. 2014 Sep-Oct;24(5):712-7. doi: 10.5301/ejo.5000441. Epub 2014 Feb 14.
4
Incidence of and Risk Factors for Suspected Glaucoma and Glaucoma After Congenital and Infantile Cataract Surgery: A Longitudinal Study in China.先天性和婴儿期白内障手术后疑似青光眼和青光眼的发生率及危险因素:中国的一项纵向研究。
J Glaucoma. 2020 Jan;29(1):46-52. doi: 10.1097/IJG.0000000000001398.
5
Incidence and Management of Glaucoma or Glaucoma Suspect in the First Year After Pediatric Lensectomy.儿童晶状体切除术后第一年青光眼或疑似青光眼的发病情况和处理。
JAMA Ophthalmol. 2020 Jan 1;138(1):71-75. doi: 10.1001/jamaophthalmol.2019.4571.
6
Intraocular lens implantation as an isolated risk factor for secondary glaucoma in pediatric patients.晶状体植入术作为小儿患者继发性青光眼的孤立危险因素。
Can J Ophthalmol. 2019 Oct;54(5):621-625. doi: 10.1016/j.jcjo.2019.01.003. Epub 2019 Feb 16.
7
Incidence and Risk Factors of Glaucoma Following Pediatric Cataract Surgery With Primary Implantation.小儿白内障初次植入手术后青光眼的发病率及危险因素
Am J Ophthalmol. 2021 Apr;224:1-6. doi: 10.1016/j.ajo.2020.09.025. Epub 2020 Sep 18.
8
Incidence and risk factors for glaucoma after pediatric cataract surgery with and without intraocular lens implantation.小儿白内障手术伴或不伴人工晶状体植入术后青光眼的发病率及危险因素。
J AAPOS. 2006 Apr;10(2):117-23. doi: 10.1016/j.jaapos.2006.01.003.
9
Glaucoma-Related Adverse Events in the First 5 Years After Unilateral Cataract Removal in the Infant Aphakia Treatment Study.婴儿无晶状体治疗研究中单侧白内障摘除术后前5年与青光眼相关的不良事件
JAMA Ophthalmol. 2015 Aug;133(8):907-14. doi: 10.1001/jamaophthalmol.2015.1329.
10
Effect of Topical Hypotensive Medications for Preventing Intraocular Pressure Increase after Cataract Surgery in Eyes with Glaucoma.局部降眼压药物对青光眼术后眼内压升高的预防作用。
Am J Ophthalmol. 2019 Sep;205:91-98. doi: 10.1016/j.ajo.2019.03.012. Epub 2019 Mar 20.

引用本文的文献

1
Glaucoma and risk factors three years after congenital cataract surgery.先天性白内障术后 3 年的青光眼及相关危险因素
BMC Ophthalmol. 2022 Mar 12;22(1):118. doi: 10.1186/s12886-022-02343-9.
2
Angle Surgery in Pediatric Glaucoma Following Cataract Surgery.白内障手术后小儿青光眼的前房角手术
Vision (Basel). 2021 Feb 5;5(1):9. doi: 10.3390/vision5010009.
3
The impact of late-treated pediatric cataract on intraocular pressure.儿童白内障延迟治疗对眼内压的影响。

本文引用的文献

1
Effectiveness of a short message reminder in increasing compliance with pediatric cataract treatment: a randomized trial.短信提醒对提高小儿白内障治疗依从性的效果:一项随机试验。
Ophthalmology. 2012 Dec;119(12):2463-70. doi: 10.1016/j.ophtha.2012.06.046. Epub 2012 Aug 24.
2
Toxic anterior segment syndrome after pediatric cataract surgery.小儿白内障手术后的毒性前段综合征
J AAPOS. 2010 Oct;14(5):444-6. doi: 10.1016/j.jaapos.2010.06.011.
3
Intracameral triamcinolone acetonide after pediatric cataract surgery.儿童白内障手术后前房内曲安奈德。
Int Ophthalmol. 2021 Apr;41(4):1531-1539. doi: 10.1007/s10792-021-01727-y. Epub 2021 Jan 20.
4
Impairments of Visual Function and Ocular Structure in Patients With Unilateral Posterior Lens Opacity.单侧后囊膜混浊患者的视觉功能和眼部结构损害
Transl Vis Sci Technol. 2018 Jul 24;7(4):9. doi: 10.1167/tvst.7.4.9. eCollection 2018 Jul.
5
Clinical characteristics of young adult cataract patients: a 10-year retrospective study of the Zhongshan Ophthalmic Center.青年成人白内障患者的临床特征:中山大学中山眼科中心十年回顾性研究
BMJ Open. 2018 Jul 23;8(7):e020234. doi: 10.1136/bmjopen-2017-020234.
6
Timing and approaches in congenital cataract surgery: a four-year, two-layer randomized controlled trial.先天性白内障手术的时机与方法:一项为期四年的双层随机对照试验
Int J Ophthalmol. 2017 Dec 18;10(12):1835-1843. doi: 10.18240/ijo.2017.12.08. eCollection 2017.
7
Construction and implications of structural equation modeling network for pediatric cataract: a data mining research of rare diseases.小儿白内障结构方程建模网络的构建及其意义:一项罕见病数据挖掘研究
BMC Ophthalmol. 2017 May 19;17(1):74. doi: 10.1186/s12886-017-0468-5.
8
Interocular anatomical and visual functional differences in pediatric patients with unilateral cataracts.单侧白内障患儿的眼间解剖结构和视觉功能差异
BMC Ophthalmol. 2016 Nov 3;16(1):192. doi: 10.1186/s12886-016-0371-5.
9
Capsular Outcomes After Pediatric Cataract Surgery Without Intraocular Lens Implantation: Qualitative Classification and Quantitative Measurement.小儿白内障手术无人工晶状体植入后的囊膜结局:定性分类与定量测量
Medicine (Baltimore). 2016 Mar;95(10):e2993. doi: 10.1097/MD.0000000000002993.
10
Capsular Outcomes Differ with Capsulorhexis Sizes after Pediatric Cataract Surgery: A Randomized Controlled Trial.儿童白内障手术后囊膜撕囊大小与囊膜结局的差异:一项随机对照试验
Sci Rep. 2015 Nov 5;5:16227. doi: 10.1038/srep16227.
J Cataract Refract Surg. 2010 Oct;36(10):1676-81. doi: 10.1016/j.jcrs.2010.04.038.
4
Outcomes of cataract surgery and intraocular lens implantation with and without intracameral triamcinolone in pediatric eyes.儿童眼内曲安奈德在白内障手术和人工晶状体植入术中的应用效果。
J Cataract Refract Surg. 2010 Sep;36(9):1494-8. doi: 10.1016/j.jcrs.2010.03.040.
5
Steroid-induced glaucoma in children with acute lymphoblastic leukemia: a possible complication.儿童急性淋巴细胞白血病的皮质类固醇性青光眼:一种可能的并发症。
J Glaucoma. 2010 Mar;19(3):188-90. doi: 10.1097/IJG.0b013e3181af321d.
6
Long-term incidence and timing of intraocular hypertension after intravitreal triamcinolone acetonide injection.玻璃体内注射曲安奈德后眼内高压的长期发生率及发生时间
Ophthalmology. 2009 Mar;116(3):455-60. doi: 10.1016/j.ophtha.2008.10.002. Epub 2009 Jan 20.
7
Secondary ocular hypertension after intravitreal injection of 4 mg of triamcinolone acetonide: incidence and risk factors.玻璃体内注射4毫克曲安奈德后继发性眼压升高:发生率及危险因素
Retina. 2008 Apr;28(4):573-80. doi: 10.1097/IAE.0b013e31816079e8.
8
Fluctuation of intraocular pressure and glaucoma progression in the early manifest glaucoma trial.早期显性青光眼试验中眼压波动与青光眼进展情况
Ophthalmology. 2007 Feb;114(2):205-9. doi: 10.1016/j.ophtha.2006.07.060. Epub 2006 Nov 13.
9
Risk factors for the development of aphakic glaucoma after congenital cataract surgery.先天性白内障手术后无晶状体性青光眼发生的危险因素。
J Pediatr Ophthalmol Strabismus. 2006 Sep-Oct;43(5):274-80; quiz 306-7. doi: 10.3928/01913913-20060901-01.
10
Long-term outcome of pediatric aphakic glaucoma.儿童无晶状体性青光眼的长期预后
J AAPOS. 2006 Jun;10(3):243-8. doi: 10.1016/j.jaapos.2006.01.005.