Suppr超能文献

昼夜节律对夜班工作的适应会影响睡眠、表现、情绪和心脏的自主调节。

Circadian adaptation to night shift work influences sleep, performance, mood and the autonomic modulation of the heart.

机构信息

Centre for Study and Treatment of Circadian Rhythms, Douglas Mental Health University Institute, Department of Psychiatry, McGill University, Montreal, Quebec, Canada.

出版信息

PLoS One. 2013 Jul 26;8(7):e70813. doi: 10.1371/journal.pone.0070813. Print 2013.

Abstract

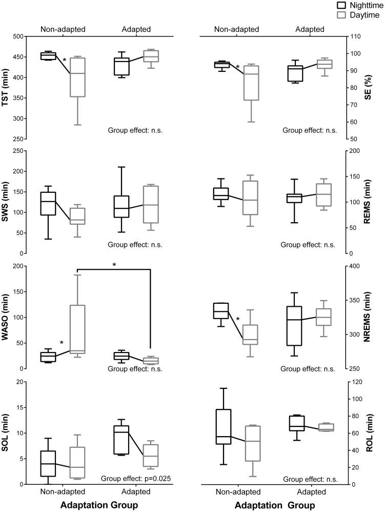
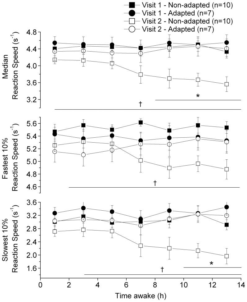
Our aim was to investigate how circadian adaptation to night shift work affects psychomotor performance, sleep, subjective alertness and mood, melatonin levels, and heart rate variability (HRV). Fifteen healthy police officers on patrol working rotating shifts participated to a bright light intervention study with 2 participants studied under two conditions. The participants entered the laboratory for 48 h before and after a series of 7 consecutive night shifts in the field. The nighttime and daytime sleep periods were scheduled during the first and second laboratory visit, respectively. The subjects were considered "adapted" to night shifts if their peak salivary melatonin occurred during their daytime sleep period during the second visit. The sleep duration and quality were comparable between laboratory visits in the adapted group, whereas they were reduced during visit 2 in the non-adapted group. Reaction speed was higher at the end of the waking period during the second laboratory visit in the adapted compared to the non-adapted group. Sleep onset latency (SOL) and subjective mood levels were significantly reduced and the LF∶HF ratio during daytime sleep was significantly increased in the non-adapted group compared to the adapted group. Circadian adaptation to night shift work led to better performance, alertness and mood levels, longer daytime sleep, and lower sympathetic dominance during daytime sleep. These results suggest that the degree of circadian adaptation to night shift work is associated to different health indices. Longitudinal studies are required to investigate long-term clinical implications of circadian misalignment to atypical work schedules.

摘要

我们的目的是研究生物钟适应夜班工作如何影响精神运动表现、睡眠、主观警觉性和情绪、褪黑素水平和心率变异性(HRV)。15 名从事轮班工作的健康警察参与了一项亮光干预研究,其中 2 名参与者在两种情况下进行了研究。参与者在野外连续 7 个夜班之前和之后的 48 小时内进入实验室。夜间和白天的睡眠时间分别在第一次和第二次实验室访问期间安排。如果参与者在第二次访问期间白天睡眠期间褪黑素峰值出现,则认为他们适应了夜班。适应组在实验室访问期间的睡眠持续时间和质量相当,而在未适应组中,第二次访问期间睡眠减少。与未适应组相比,适应组在第二次实验室访问期间的清醒期结束时反应速度更高。与适应组相比,未适应组的睡眠潜伏期(SOL)和主观情绪水平显著降低,白天睡眠期间的 LF∶HF 比值显著升高。生物钟适应夜班工作导致更好的表现、警觉性和情绪水平、白天睡眠时间更长以及白天睡眠期间交感神经优势降低。这些结果表明,生物钟适应夜班工作的程度与不同的健康指标相关。需要进行纵向研究,以调查生物钟与非典型工作时间表的不匹配对长期临床的影响。

https://cdn.ncbi.nlm.nih.gov/pmc/blobs/6edf/3724779/f03ebbe7ca89/pone.0070813.g001.jpg

文献AI研究员

20分钟写一篇综述,助力文献阅读效率提升50倍。

立即体验

用中文搜PubMed

大模型驱动的PubMed中文搜索引擎

马上搜索

文档翻译

学术文献翻译模型,支持多种主流文档格式。

立即体验