• 文献检索
  • 文档翻译
  • 深度研究
  • 学术资讯
  • Suppr Zotero 插件Zotero 插件
  • 邀请有礼
  • 套餐&价格
  • 历史记录
应用&插件
Suppr Zotero 插件Zotero 插件浏览器插件Mac 客户端Windows 客户端微信小程序
定价
高级版会员购买积分包购买API积分包
服务
文献检索文档翻译深度研究API 文档MCP 服务
关于我们
关于 Suppr公司介绍联系我们用户协议隐私条款
关注我们

Suppr 超能文献

核心技术专利:CN118964589B侵权必究
粤ICP备2023148730 号-1Suppr @ 2026

文献检索

告别复杂PubMed语法,用中文像聊天一样搜索,搜遍4000万医学文献。AI智能推荐,让科研检索更轻松。

立即免费搜索

文件翻译

保留排版,准确专业,支持PDF/Word/PPT等文件格式,支持 12+语言互译。

免费翻译文档

深度研究

AI帮你快速写综述,25分钟生成高质量综述,智能提取关键信息,辅助科研写作。

立即免费体验

伊朗伊斯兰共和国库尔德斯坦省居民非传染性风险因素的社会经济不平等

Socioeconomic Inequality of Non-Communicable Risk Factors among People Living in Kurdistan Province, Islamic Republic of Iran.

作者信息

Moradi Ghobad, Mohammad Kazem, Majdzadeh Reza, Ardakani Hossein Malekafzali, Naieni Kourosh Holakouie

机构信息

Epidemiology and Biostatistics Department, School of Public Health, Tehran University of Medical Sciences, Tehran, Iran.

出版信息

Int J Prev Med. 2013 Jun;4(6):671-83.

PMID:23930185
原文链接:https://pmc.ncbi.nlm.nih.gov/articles/PMC3733035/
Abstract

BACKGROUND

The most fundamental way to decrease the burden of noncommunicable diseases (NCDs) is to identify and control their related risk factors. The goal of this study is to determine socioeconomic inequalities in risk factors for NCDs using concentration index based on Non-Communicable Disease Surveillance Survey (NCDSS) data in Kurdistan province, Islamic Republic of Iran in 2005 and 2009.

METHODS

The required data for this study are taken from two NCDSSs in Kurdistan province in 2005 and 2009. A total of 2,494 persons in 2005 and 997 persons in 2009 were assessed. Concentration index was used to determine socioeconomic inequality. To assess the relationship between the prevalence of each risk factor and socioeconomic status (SES), logistic regression was used and odds ratio (OR) was calculated for each group, compared with the poorest group.

RESULTS

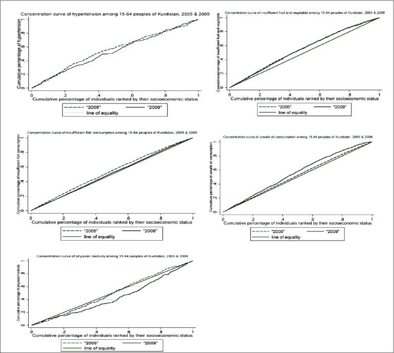
The concentration index for hypertension was -0.095 (-0.158, -0.032) in 2005 and -0.080 (-0.156, -0.003) in 2009. The concentration index for insufficient consumption of fruits and vegetables was -0.117 (-0.153, -0.082) in 2005 and -0.100 (-0.153, -0.082) in 2009. The concentration index for the consumption of unhealthy fat and oil was -0.034 (-0.049, -0.019) in 2005 and -0.108 (-0.165, -0.051) in 2009. The concentration index for insufficient consumption of fish was -0.070 (-0.096, -0.044) in 2005. The concentration index for physical inactivity was 0.008 (-0.057, 0.075) in 2005 and 0.139 (0.063, 0.215) in 2009. In all the cases, the OR of the richest group to the poorest group was significant.

CONCLUSION

Hypertension, insufficient consumption of fruits and vegetables, consumption of unhealthy fat and oil, and insufficient consumption of fish are more prevalent among poor groups. There was no significant socioeconomic inequality in the distribution of smoking, excess weight, and hypercholesterolemia. Physical inactivity was more prevalent among the rich groups of society in 2009. The reduction of socioeconomic inequalities must become a main goal in health-care policies.

摘要

背景

减轻非传染性疾病(NCDs)负担的最根本方法是识别并控制其相关风险因素。本研究的目的是利用基于伊朗伊斯兰共和国库尔德斯坦省2005年和2009年非传染性疾病监测调查(NCDSS)数据的浓度指数,确定非传染性疾病风险因素中的社会经济不平等情况。

方法

本研究所需数据取自库尔德斯坦省2005年和2009年的两次NCDSS。2005年共评估了2494人,2009年评估了997人。使用浓度指数来确定社会经济不平等情况。为评估每个风险因素的患病率与社会经济地位(SES)之间的关系,采用逻辑回归,并计算每组与最贫困组相比的优势比(OR)。

结果

2005年高血压的浓度指数为-0.095(-0.158,-0.032),2009年为-0.080(-0.156,-0.003)。2005年水果和蔬菜摄入不足的浓度指数为-0.117(-0.153,-0.082),2009年为-0.100(-0.153,-0.082)。2005年不健康脂肪和油类消费的浓度指数为-0.034(-0.049,-0.019),2009年为-0.108(-0.165,-0.051)。2005年鱼类摄入不足的浓度指数为-0.070(-0.096,-0.044)。2005年身体活动不足的浓度指数为0.008(-0.057,0.075),2009年为0.139(0.063,0.215)。在所有情况下,最富有组与最贫困组的OR均具有显著性。

结论

高血压、水果和蔬菜摄入不足、不健康脂肪和油类消费以及鱼类摄入不足在贫困群体中更为普遍。吸烟、超重和高胆固醇血症的分布不存在显著的社会经济不平等。2009年身体活动不足在社会富裕群体中更为普遍。减少社会经济不平等必须成为医疗保健政策的主要目标。

https://cdn.ncbi.nlm.nih.gov/pmc/blobs/3172/3733035/525ee26c16fd/IJPVM-4-671-g004.jpg
https://cdn.ncbi.nlm.nih.gov/pmc/blobs/3172/3733035/525ee26c16fd/IJPVM-4-671-g004.jpg
https://cdn.ncbi.nlm.nih.gov/pmc/blobs/3172/3733035/525ee26c16fd/IJPVM-4-671-g004.jpg

相似文献

1
Socioeconomic Inequality of Non-Communicable Risk Factors among People Living in Kurdistan Province, Islamic Republic of Iran.伊朗伊斯兰共和国库尔德斯坦省居民非传染性风险因素的社会经济不平等
Int J Prev Med. 2013 Jun;4(6):671-83.
2
Socioeconomic Inequalities in Nonuse of Seatbelts in Cars and Helmets on Motorcycles among People Living in Kurdistan Province, Iran.伊朗库尔德斯坦省居民在汽车中不使用安全带和骑摩托车时不戴头盔方面的社会经济不平等现象。
Iran J Public Health. 2014 Sep;43(9):1239-47.
3
Is the status of diabetes socioeconomic inequality changing in Kurdistan province, west of Iran? A comparison of two surveys.伊朗西部库尔德斯坦省糖尿病的社会经济不平等状况正在发生变化吗?两项调查的比较。
Med J Islam Repub Iran. 2016 May 24;30:375. eCollection 2016.
4
Socioeconomic inequalities in tobacco, alcohol and illicit drug use: evidence from Iranian Kurds.社会经济不平等与烟草、酒精和非法药物使用:来自伊朗库尔德人的证据。
East Mediterr Health J. 2020 Oct 13;26(10):1294-1302. doi: 10.26719/emhj.20.007.
5
Socioeconomic-related inequalities in self-rated health status in Kermanshah city, Islamic Republic of Iran: a decomposition analysis.伊朗伊斯兰共和国克尔曼沙赫市自评健康状况的社会经济相关不平等:分解分析。
East Mediterr Health J. 2020 Jul 23;26(7):820-827. doi: 10.26719/emhj.20.001.
6
Socioeconomic inequality in smoking and its determinants in the Islamic Republic of Iran.伊朗伊斯兰共和国吸烟行为及决定因素的社会经济不平等。
East Mediterr Health J. 2020 Jan 30;26(1):29-38. doi: 10.26719/2020.26.1.29.
7
Socioeconomic inequalities in hypertension in Kenya: a decomposition analysis of 2015 Kenya STEPwise survey on non-communicable diseases risk factors.肯尼亚高血压的社会经济不平等:2015 年肯尼亚非传染性疾病风险因素 STEP 式调查的分解分析。
Int J Equity Health. 2020 Dec 2;19(1):213. doi: 10.1186/s12939-020-01321-1.
8
Decomposition of Socioeconomic Inequality in Cardiovascular Disease Prevalence in the Adult Population: A Cohort-based Cross-sectional Study in Northwest Iran.社会经济不平等对伊朗西北部成年人心血管疾病患病率的分解:基于队列的横断面研究。
J Prev Med Public Health. 2022 May;55(3):297-306. doi: 10.3961/jpmph.22.051. Epub 2022 May 3.
9
Socioeconomic inequality in infant mortality in Iran and across its provinces.伊朗及其各省婴儿死亡率方面的社会经济不平等。
Bull World Health Organ. 2005 Nov;83(11):837-44. Epub 2005 Nov 10.
10
Socio-Economic Inequality of Chronic Non-Communicable Diseases in Bangladesh.孟加拉国慢性非传染性疾病的社会经济不平等状况
PLoS One. 2016 Nov 30;11(11):e0167140. doi: 10.1371/journal.pone.0167140. eCollection 2016.

引用本文的文献

1
Patterns, socioeconomic inequalities and determinants of healthy eating in Kenya: results from a national cross-sectional survey.肯尼亚健康饮食的模式、社会经济不平等及决定因素:一项全国横断面调查的结果
BMJ Open. 2025 Apr 14;15(4):e090698. doi: 10.1136/bmjopen-2024-090698.
2
Socioeconomic inequality in hypertension and its determinants in people over 60 years in Fasa, southern Iran: a Blinder-Oaxaca decomposition.伊朗南部法萨60岁以上人群高血压的社会经济不平等及其决定因素:布林德-奥瓦卡分解法
BMC Public Health. 2025 Jan 22;25(1):274. doi: 10.1186/s12889-025-21293-7.
3
Health disparities in the Middle East: Representative analysis of the region.

本文引用的文献

1
Association of smoking, physical activity, and dietary habits with socioeconomic variables: a cross-sectional study in adults on both sides of the Hungarian-Romanian border.吸烟、身体活动和饮食习惯与社会经济变量的关联:匈牙利-罗马尼亚边境两侧成年人的横断面研究。
BMC Public Health. 2012 Jan 20;12:60. doi: 10.1186/1471-2458-12-60.
2
A global view on the development of non communicable diseases.全球非传染性疾病的发展情况。
Prev Med. 2012 May;54 Suppl:S38-41. doi: 10.1016/j.ypmed.2011.11.012. Epub 2011 Dec 8.
3
Disparities in the frequency of fruit and vegetable consumption by socio-demographic and lifestyle characteristics in Canada.
中东地区的健康差异:该地区的代表性分析。
J Allergy Clin Immunol Glob. 2024 Oct 16;4(1):100350. doi: 10.1016/j.jacig.2024.100350. eCollection 2025 Feb.
4
Prevalence of insufficient physical activity among adult residents of Tehran: a cross-sectional report from Tehran Cohort Study (TeCS).德黑兰成年居民体力活动不足的流行率:来自德黑兰队列研究(TeCS)的横断面报告。
BMC Public Health. 2024 Jun 27;24(1):1722. doi: 10.1186/s12889-024-19201-6.
5
Investigating the role of the built environment, socio-economic status, and lifestyle factors in the prevalence of chronic diseases in Mashhad: PLS-SEM model.探讨马什哈德市慢性病流行中建筑环境、社会经济地位和生活方式因素的作用:PLS-SEM 模型。
Front Public Health. 2024 May 15;12:1358423. doi: 10.3389/fpubh.2024.1358423. eCollection 2024.
6
Socioeconomic Inequality in Screen Time, Phone, and Tablet Use among Iranian Adolescents: Results of A National Study.伊朗青少年在屏幕使用时间、手机和平板电脑使用方面的社会经济不平等:一项全国性研究的结果
Med J Islam Repub Iran. 2023 Sep 5;37:96. doi: 10.47176/mjiri.37.96. eCollection 2023.
7
Re-examining the reversal hypothesis: A nationwide population-based study of the association between socioeconomic status, and NCDs and risk factors in China.重新审视逆转假说:一项基于全国人口的中国社会经济地位与非传染性疾病及风险因素之间关联的研究。
SSM Popul Health. 2023 Jan 7;21:101335. doi: 10.1016/j.ssmph.2022.101335. eCollection 2023 Mar.
8
Inequalities in the prevalence, diagnosis awareness, treatment coverage and effective control of diabetes: a small area estimation analysis in Iran.伊朗糖尿病患病率、诊断知晓率、治疗覆盖率和有效控制率的不平等:小区域估计分析。
BMC Endocr Disord. 2023 Jan 18;23(1):17. doi: 10.1186/s12902-023-01271-z.
9
Socioeconomic disparities in the burden of hypertension among Indonesian adults - a multilevel analysis.印度尼西亚成年人高血压负担的社会经济差异——一项多层次分析。
Glob Health Action. 2022 Dec 31;15(1):2129131. doi: 10.1080/16549716.2022.2129131.
10
Socioeconomic inequalities in tobacco smoking in women aged 15-54 in Iran: a multilevel model.伊朗 15-54 岁女性吸烟的社会经济不平等:多层次模型。
J Prev Med Hyg. 2021 Jul 30;62(2):E555-E563. doi: 10.15167/2421-4248/jpmh2021.62.2.1604. eCollection 2021 Jun.
加拿大社会人口学和生活方式特征与果蔬消费频率的差异。
Nutr J. 2011 Oct 25;10:118. doi: 10.1186/1475-2891-10-118.
4
WHO maps noncommunicable disease trends in all countries: country profiles on noncommunicable disease trends in 193 countries.世界卫生组织绘制所有国家的非传染性疾病趋势:193个国家的非传染性疾病趋势国别概况。
Cent Eur J Public Health. 2011 Sep;19(3):130, 138.
5
Regional surveillance of social and geographic inequalities in smoking: the case of Montréal, Canada.地区监测吸烟的社会和地理不平等现象:以加拿大蒙特利尔为例。
Health Place. 2012 Mar;18(2):240-9. doi: 10.1016/j.healthplace.2011.09.013. Epub 2011 Oct 4.
6
National and subnational mortality effects of metabolic risk factors and smoking in Iran: a comparative risk assessment.伊朗代谢风险因素和吸烟的国家和次国家死亡率影响:一项比较风险评估。
Popul Health Metr. 2011 Oct 11;9(1):55. doi: 10.1186/1478-7954-9-55.
7
Socioeconomic position is positively associated with blood pressure dipping among African-American adults: the Jackson Heart Study.社会经济地位与非裔美国成年人的血压下降呈正相关:杰克逊心脏研究。
Am J Hypertens. 2011 Sep;24(9):1015-21. doi: 10.1038/ajh.2011.98. Epub 2011 Jun 9.
8
Associated factors to total cholesterol: school based study in southern Brazil.总胆固醇相关因素:巴西南部的一项基于学校的研究。
Arq Bras Cardiol. 2011 Jul;97(1):17-25. doi: 10.1590/s0066-782x2011005000065. Epub 2011 May 27.
9
The gap of visual impairment between economic groups in Shahroud, Iran: a Blinder-Oaxaca decomposition.伊朗沙赫鲁德经济群体间视力障碍差距:一个布伦德-奥克萨卡分解。
Am J Epidemiol. 2011 Jun 15;173(12):1463-7. doi: 10.1093/aje/kwr050. Epub 2011 May 3.
10
Age-related macular degeneration and the other double helix. The Cogan Lecture.年龄相关性黄斑变性与另一条双螺旋。科根讲座。
Invest Ophthalmol Vis Sci. 2011 Apr 6;52(5):2165-9. doi: 10.1167/iovs.11-7328. Print 2011 Apr.