Suppr超能文献

亲属对家系搜索效率和错误率的影响。

The influence of relatives on the efficiency and error rate of familial searching.

机构信息

Department of Integrative Biology, University of California, Berkeley, California, United States of America.

出版信息

PLoS One. 2013 Aug 14;8(8):e70495. doi: 10.1371/journal.pone.0070495. eCollection 2013.

Abstract

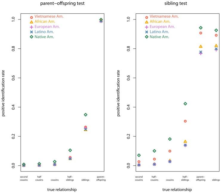
We investigate the consequences of adopting the criteria used by the state of California, as described by Myers et al. (2011), for conducting familial searches. We carried out a simulation study of randomly generated profiles of related and unrelated individuals with 13-locus CODIS genotypes and YFiler® Y-chromosome haplotypes, on which the Myers protocol for relative identification was carried out. For Y-chromosome sharing first degree relatives, the Myers protocol has a high probability (8099%) of identifying their relationship. For unrelated individuals, there is a low probability that an unrelated person in the database will be identified as a first-degree relative. For more distant Y-haplotype sharing relatives (half-siblings, first cousins, half-first cousins or second cousins) there is a substantial probability that the more distant relative will be incorrectly identified as a first-degree relative. For example, there is a 318% probability that a first cousin will be identified as a full sibling, with the probability depending on the population background. Although the California familial search policy is likely to identify a first degree relative if his profile is in the database, and it poses little risk of falsely identifying an unrelated individual in a database as a first-degree relative, there is a substantial risk of falsely identifying a more distant Y-haplotype sharing relative in the database as a first-degree relative, with the consequence that their immediate family may become the target for further investigation. This risk falls disproportionately on those ethnic groups that are currently overrepresented in state and federal databases.

摘要

我们调查了采用 Myers 等人(2011 年)所描述的加利福尼亚州标准进行家族搜索的后果。我们对具有 13 个 CODIS 基因座基因型和 YFiler® Y 染色体单倍型的相关和无关个体的随机生成的档案进行了模拟研究,并对 Myers 相对鉴定协议进行了相关研究。对于 Y 染色体共享一级亲属,Myers 协议有很高的可能性(80%99%)识别他们的关系。对于无关个体,数据库中无关个体被识别为一级亲属的可能性很低。对于更远的 Y 单倍型共享亲属(半同胞、表亲、半表亲或表亲),更遥远的亲属被错误识别为一级亲属的可能性很大。例如,表亲被识别为全同胞的可能性为 3%18%,具体概率取决于人口背景。虽然加利福尼亚州的家族搜索政策可能会识别数据库中一级亲属的档案,如果他的档案在数据库中,并且不太可能错误地将数据库中的无关个体识别为一级亲属,但将数据库中更远的 Y 单倍型共享亲属错误地识别为一级亲属的风险很大,其结果是他们的直系亲属可能成为进一步调查的目标。这种风险不成比例地落在那些目前在州和联邦数据库中比例过高的族裔群体身上。

https://cdn.ncbi.nlm.nih.gov/pmc/blobs/c5eb/3743829/adff1781e71a/pone.0070495.g001.jpg

文献AI研究员

20分钟写一篇综述,助力文献阅读效率提升50倍。

立即体验

用中文搜PubMed

大模型驱动的PubMed中文搜索引擎

马上搜索

文档翻译

学术文献翻译模型,支持多种主流文档格式。

立即体验