Suppr超能文献

性激素调节循环抗氧化酶:雌激素疗法的影响。

Sex hormones modulate circulating antioxidant enzymes: impact of estrogen therapy.

作者信息

Bellanti Francesco, Matteo Maria, Rollo Tiziana, De Rosario Filomena, Greco Pantaleo, Vendemiale Gianluigi, Serviddio Gaetano

机构信息

Department of Medical and Surgical Sciences, Institute of Internal Medicine, University of Foggia, Italy.

出版信息

Redox Biol. 2013 Jun 19;1(1):340-6. doi: 10.1016/j.redox.2013.05.003. eCollection 2013.

Abstract

OBJECTIVE

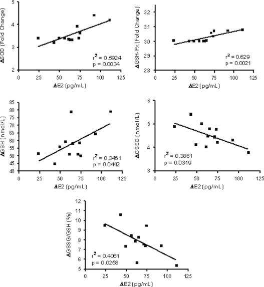
Ovarian senescence affects many tissues and produces a variety of symptoms and signs. We hypothesized that estrogens may also influence circulating redox balance by regulating activity of the cellular antioxidative enzyme system. We aimed to explore the impact of surgical estrogen deprivation and replacement (ERT) on the glutathione balance and antioxidant enzymes expression in fertile women.

STUDY DESIGN

Nineteen healthy premenopausal women who underwent total hysterectomy with bilateral salpingo-oophorectomy were evaluated at baseline, 30 days after surgery without ERT and 30 days after ERT. Redox balance was determined by measuring blood reduced (GSH) and oxidized (GSSG) glutathione, as well as the GSSG/GSH ratio. Antioxidant status was evaluated by measuring serum estrogen (E2) levels and mRNA expression of superoxide dismutase (SOD), catalase (CAT), glutathione peroxidase (GSH-Px) and glutathione S-transferase (GST) in peripheral blood mononuclear cells.

RESULTS

Serum E2 significantly lowered after surgery, and increased in 12 out of 19 patients after 30 days of ERT (Responders). In such patients, an increase in oxidative stress was observed after surgery that resolved after ERT. Oxidative stress was sustained by reduction in the mRNA expression of both SOD and GSH-Px, that recovered after 30 days of therapy in responders. CAT and GST mRNA expression were not modified by surgery and replacement therapy.

CONCLUSIONS

Menopause is associated with significant change in antioxidant gene expression that in turn affects circulating redox state. Estrogens replacement therapy is able to prevent and counteract such modifications by acting as regulators of key antioxidant gene expression. These findings suggest that antioxidant genes are, almost in part, under the control of sex hormones, and that pathophysiology of the difference in gender disease may depend on the redox biology.

摘要

目的

卵巢衰老会影响许多组织,并产生各种症状和体征。我们推测雌激素可能还通过调节细胞抗氧化酶系统的活性来影响循环中的氧化还原平衡。我们旨在探讨手术去势及雌激素替代疗法(ERT)对育龄妇女谷胱甘肽平衡和抗氧化酶表达的影响。

研究设计

对19名接受全子宫切除加双侧输卵管卵巢切除术的健康绝经前妇女在基线、术后30天未接受ERT时以及ERT后30天进行评估。通过测量血液中还原型(GSH)和氧化型(GSSG)谷胱甘肽以及GSSG/GSH比值来确定氧化还原平衡。通过测量外周血单个核细胞中血清雌激素(E2)水平以及超氧化物歧化酶(SOD)、过氧化氢酶(CAT)、谷胱甘肽过氧化物酶(GSH-Px)和谷胱甘肽S-转移酶(GST)的mRNA表达来评估抗氧化状态。

结果

术后血清E2显著降低,19名患者中有12名在ERT 30天后升高(反应者)。在这些患者中,术后观察到氧化应激增加,ERT后恢复。氧化应激通过SOD和GSH-Px mRNA表达的降低得以维持,在反应者中治疗30天后恢复。CAT和GST mRNA表达未因手术和替代疗法而改变。

结论

绝经与抗氧化基因表达的显著变化相关,进而影响循环中的氧化还原状态。雌激素替代疗法能够通过作为关键抗氧化基因表达的调节剂来预防和抵消此类改变。这些发现表明抗氧化基因几乎部分受性激素控制,并且性别疾病差异的病理生理学可能取决于氧化还原生物学。

https://cdn.ncbi.nlm.nih.gov/pmc/blobs/67a6/3757703/cb7d3d075f34/fx1.jpg

文献AI研究员

20分钟写一篇综述,助力文献阅读效率提升50倍。

立即体验

用中文搜PubMed

大模型驱动的PubMed中文搜索引擎

马上搜索

文档翻译

学术文献翻译模型,支持多种主流文档格式。

立即体验