Department of Biology, Metabolomics Research Center, University of Puerto Rico, Rio Piedras Campus, San Juan, Puerto Rico, United States of America ; Department of Biology, Functional Genomics Research Core, University of Puerto Rico, Rio Piedras Campus, San Juan, Puerto Rico, United States of America.
PLoS One. 2013 Nov 5;8(11):e77845. doi: 10.1371/journal.pone.0077845. eCollection 2013.
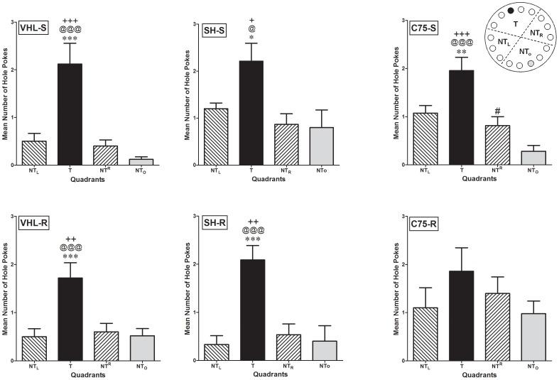
Voluntary running is a robust inducer of adult hippocampal neurogenesis. Given that fatty acid synthase (FASN), the key enzyme for de novo fatty acid biosynthesis, is critically involved in proliferation of embryonic and adult neural stem cells, we hypothesized that FASN could mediate both exercise-induced cell proliferation in the subgranular zone (SGZ) of the dentate gyrus (DG) and enhancement of spatial learning and memory. In 20 week-old male mice, voluntary running-induced hippocampal-specific upregulation of FASN was accompanied also by hippocampal-specific accumulation of palmitate and stearate saturated fatty acids. In experiments addressing the functional role of FASN in our experimental model, chronic intracerebroventricular (i.c.v.) microinfusions of C75, an irreversible FASN inhibitor, and significantly impaired exercise-mediated improvements in spatial learning and memory in the Barnes maze. Unlike the vehicle-injected mice, the C75 group adopted a non-spatial serial escape strategy and displayed delayed escape latencies during acquisition and memory tests. Furthermore, pharmacologic blockade of FASN function with C75 resulted in a significant reduction, compared to vehicle treated controls, of the number of proliferative cells in the DG of running mice as measured by immunoreactive to Ki-67 in the SGZ. Taken together, our data suggest that FASN plays an important role in exercise-mediated cognitive enhancement, which might be associated to its role in modulating exercise-induced stimulation of neurogenesis.
自愿跑步是成年海马神经发生的有力诱导剂。鉴于脂肪酸合酶(FASN)是从头合成脂肪酸的关键酶,对于胚胎和成年神经干细胞的增殖至关重要,我们假设 FASN 可以介导齿状回(DG)颗粒下区(SGZ)中的运动诱导细胞增殖和空间学习记忆的增强。在 20 周龄雄性小鼠中,自愿跑步诱导海马特异性 FASN 上调,同时也伴随着棕榈酸和硬脂酸饱和脂肪酸在海马中的特异性积累。在针对我们实验模型中 FASN 功能作用的实验中,慢性脑室内(i.c.v.)微输注 C75,一种不可逆的 FASN 抑制剂,显著损害了运动介导的巴恩斯迷宫空间学习和记忆的改善。与载体注射的小鼠不同,C75 组采用了非空间连续逃避策略,并在获得和记忆测试中显示出延迟的逃逸潜伏期。此外,用 C75 阻断 FASN 功能的药物治疗导致与对照组相比,跑步小鼠 DG 中的增殖细胞数量显著减少,SGZ 中的 Ki-67 免疫反应阳性细胞数量减少。总之,我们的数据表明,FASN 在运动介导的认知增强中起重要作用,这可能与其在调节运动诱导的神经发生刺激中的作用有关。